SCIEPublish

Review of Cyprinodontiform Fishes in the Upper Congo Drainage with Descriptions of Four New Species of Seasonal Nothobranchius (Nothobranchiidae) and a New Species of ‘Lacustricola’ Lampeye (Procatopodidae) in South-Eastern DR Congo

Article Open Access

Review of Cyprinodontiform Fishes in the Upper Congo Drainage with Descriptions of Four New Species of Seasonal Nothobranchius (Nothobranchiidae) and a New Species of ‘Lacustricola’ Lampeye (Procatopodidae) in South-Eastern DR Congo

Author Information
Independent Researcher, 15, voie de la Liberté, 77870 Vulaines-sur-Seine, France
*
Authors to whom correspondence should be addressed.

Received: 05 June 2025 Revised: 17 June 2025 Accepted: 24 June 2025 Published: 30 June 2025

Creative Commons

© 2025 The authors. This is an open access article under the Creative Commons Attribution 4.0 International License (https://creativecommons.org/licenses/by/4.0/).

Views:16075
Downloads:819
Ecol. Divers. 2025, 2(2), 10006; DOI: 10.70322/ecoldivers.2025.10006
ABSTRACT: The cyprinodontiform fish fauna of the Bangweulu–Mweru and Upper Lualaba freshwater ecoregions, situated in the uppermost Congo River drainage, has been reviewed. This study introduces four newly described species of seasonal Nothobranchius killifish and a novel species of lampeye belonging to the genus ‘Lacustricola’. Nothobranchius iridescens, new species, from the Kafila system in the Lufira drainage, is characterized in male colouration by anal fin with irregular red-brown spots and stripes, creating two irregular submedial and medial bands and with broad yellow subdistal band; and a caudal fin with a slender light blue subdistal band, densely marked with irregular red spots, and narrow dark brown distinct distal margin. Nothobranchius katemomandai, new species, from the Kay system in the upper Lualaba drainage, is characterized in male colouration by an anal fin with narrow brown submedial band, followed by a slender yellow band, a slender red-brown band and a slender dark brown distal band; and a caudal fin with brown spots proximally and medially, and with slender white to light blue subdistal band and a narrow dark grey distal band. Nothobranchius marmoreus, new species, from the Lufukwe system in the Lake Mweru basin, is characterized in male colouration by a body with irregular red-brown patches and stripes, forming a marble-like mottled pattern; and anal and caudal fins with slender yellow to amber subdistal band and broad dark brown distal band. Nothobranchius dubieensis, new species, from the Lubule system in the Luvua drainage, is characterized in male colouration by an anal fin with narrow dark brown submedial band, narrow yellow and orange medial bands, narrow white subdistal band, and slender dark brown distal band; and a caudal fin with irregular red-brown spots and stripes proximally and medially, followed by an irregular narrow red-brown subdistal band and slender white distal band, and with interrupted red-brown fin tips. ‘Lacustricolagemma, new species, from the Kay system in the upper Lualaba drainage, is characterized by a pattern of iridescent, diamond-shaped, light blue spots in scale centres below mid-longitudinal series on posteroventral portion of flank; median fins yellow to hyaline, with dark grey stripes perpendicular to fin rays; dorsal fin with light blue distinct margin; anal fin with dark grey margin. Analysis of mitochondrial COI gene sequences revealed that the five new species represent phylogenetically distinct lineages. These findings not only underscore their genetic uniqueness but also confirm their placement within the Nothobranchius brieni species group and the genus ‘Lacustricola’. Species of the genus Nothobranchius complete their seasonal life cycle in ephemeral natural habitats within freshwater wetlands, while ‘Lacustricola’ species migrate to breed in flooded areas of shallow, typically seasonal wetland habitats at the onset of the rainy season. These wetlands are highly vulnerable to a variety of human-induced stressors and threats, including agricultural cultivation, water extraction, urban expansion resulting in land-use pressure, and increased pollution, particularly from industrial activities such as mining. Therefore, it is essential to protect the integrity of these unique aquatic habitats throughout all the seasons of the year to maintain healthy wetland ecosystems and safeguard the distinctive seasonal freshwater biodiversity they support.
Keywords: Bangweulu–Mweru freshwater ecoregion; Barcoding; Conservation; Killifish; Upper Lualaba freshwater ecoregion

Graphical Abstract

1. Introduction

The study focuses on the southeasternmost part of the vast Congo River basin, specifically the uppermost section of the drainage system located in south-eastern Democratic Republic of the Congo and north-western Zambia. This region encompasses the Bangweulu–Mweru freshwater ecoregion (n°544 in [1].) and the Upper Lualaba freshwater ecoregion (n°545). The ichthyofauna includes representatives of two cyprinodontiform fish families: Nothobranchiidae and Procatopodidae. 1.1. Nothobranchiidae Within the family, species of the seasonal killifish genus Nothobranchius [2], are found in the uppermost part of the Congo drainage (Table 1).

Table 1. Members of the Nothobranchius brieni species group, and their distribution according to drainage systems and freshwater ecoregions. Numbering of freshwater ecoregions according to [1].

Nothobranchius Species River Freshwater Ecoregion Region of Occurrence
System Subdrainage Drainage
N. capriviensis [3] upper Zambezi Zambezi Upper Zambezi floodplains (556) north-eastern Namibia
N. kafuensis [4] upper and middle Zambezi Upper Zambezi floodplains (556);
Kafue (557)
south-eastern and southern Zambia
N. boklundi [5] Luangwa Middle Zambezi–Luangwa (558) eastern Zambia
N. symoensi [6] upper Luapula Luapula upper Congo Bangweulu–Mweru (544) northern Zambia
N. rosenstocki [7]
N. cooperi [8] middle Luapula
N. sainthousei [9]
N. chochamandai [10] south-eastern DR Congo
N. spec. from upper Lubi,
putative species, description in review [11]
lower Luapula
N. malaissei [6]
N. marmoreus, new species Lake Mweru
N. ditte [12]
N. milvertzi [13] northern Zambia
N. oestergaardi [14] Lake Mweru Wantipa
N. dubieensis, new species Lubule Luvua south-eastern DR Congo
N. hassoni [15] middle Lufira Lufira Upper Lualaba (545)
N. iridescens, new species
N. polli [6] upper Lufira
N. flagrans [16] lower Lufira
N. brieni [17] upper Lualaba Lualaba
N. katemomandai, new species

The genus overall currently comprises 97 valid species, occurring mainly in ephemeral wetlands of river drainages situated in the north-eastern, eastern, and south-eastern parts of Africa [18]. They are recognised as seasonal fishes, with all known species having an ‘annual’ life cycle [19,20], a key adaptation to live in the seasonally arid savannah biome characterised by periodic drying out of their natural habitats [21,22,23,24]. The life-cycle periodicity is determined by the rainfall pattern of the wetlands in which they occur. As such, each year, before these wetlands dry out, spawning takes place, and the eggs survive the dry season buried in the substrate mud. When the ensuing rainy season arrives, the rivers overflow their banks, inundate the floodplains again, and the buried eggs hatch [18,23,24,25]. Nothobranchius species are highly sexually dichromatic. The typically colourful and robust males are in contrast to the uniformly-coloured and slightly smaller females (e.g., [26,27,28]). The distinctive colour pattern of the males provides important diagnostic characters (e.g., [12,26,27,28,29,30]). They are small fishes, with most species reaching 30–70 mm in standard length (SL) with only a few species reaching 100 mm SL or more [28]. The genus has gained particular interest as it includes N. furzeri [31], the vertebrate species with the shortest lifespan recorded in captivity (less than 12 weeks), and which has emerged as a model organism for biological and molecular studies of ageing (e.g., [32]). Another member of the genus, N. rachovii [33], possesses a low diploid number (2n = 16) of rather large chromosomes, leading to its emergence as an excellent vertebrate model organism for laboratory chromosome studies (e.g., [34,35]). Within the genus Nothobranchius, seven subgenera are recognised [36]. Zononothobranchius [37] is the largest subgenus with 46 valid species, occurring in wetland habitats on the inland plateaus of north-eastern, eastern, and south-eastern Africa. Its constituting species are organised into five well-identified species groups, namely: the subject group of the present paper, the N. brieni species group (n = 16 valid species) (sensu [12]), as well as the N. neumanni group (n = 5) (sensu [38]); the N. rubroreticulatus group (n = 4) (sensu [36]); the N. taeniopygus group (n = 7) (sensu [29]); and the N. ugandensis group (n = 12) (sensu [30]). All currently known Nothobranchius species from the upper Congo drainage belong to the N. brieni species group [12]. Thirteen species of the species group have been known to occur in the upper Congo drainage, namely nine in the Bangweulu–Mweru freshwater ecoregion and four in the upper Lualaba freshwater ecoregion (see Table 1). The additional three members of the species group are known in the adjacent Zambezi drainage, from the upper Zambezi floodplains (n°556), Kafue (n°557), and middle Zambezi–Luangwa (n°558) freshwater ecoregions. The species of the N. brieni species group are the only representatives of the genus in the above-listed freshwater ecoregions in south-central Africa and represent the south-western limit of the range of the genus [3,18,23,39] 1.2. Procatopodidae Species within the family Procatopodidae are endemic to Africa, primarily inhabiting continental freshwater environments, with a few species found in coastal brackish waters [40,41]. These fishes, commonly known as lampeyes, are named for the reflective pigments in their eyes that create a striking iridescent spot above the iris. Lampeyes are widely distributed from the western Sahel to southern Africa [27,42]. This family represents an ecologically diverse group, with species occupying various habitats such as small streams, swamps, ponds, lakes, and brackish water estuaries [42,43,44]. Currently, the family is divided into 14 genera encompassing approximately 80 valid species [41]. Procatopodidae species exhibit significant morphological diversity, with most being small fish that rarely exceed 30-40 mm in standard length (SL), although some have extremely reduced body sizes, and one species is known to exceed 100 mm SL [45]. Phylogenetic analysis performed by Bragança & Costa (2019) [41], aimed at assessing the internal relationships among the little known African lampeye genera, revealed polyphyly or paraphyly of some of its genera. Their findings suggest that the current taxonomic classifications may not accurately reflect the evolutionary history of these species. Specifically, a group of species constitutes a southern African clade of lampeyes, commonly referred to as the genus ‘Lacustricola’. This is an undescribed genus with the highest diversity in southern Africa, from coastal river systems in north-eastern South Africa to the northern tributaries of the Congo. There are three main species groups within the southern clade, namely the ‘L.’ hutereaui [46] group, the ‘L.’ johnstoni [47] group, and the ‘L.’ katangae [48] group. These groups have broadly similar distribution patterns, with some species occurring sympatrically [49,50,51]. Within the uppermost Congo drainage, eight valid species were known (Table 2). One species of the genus Lacustricola [52], is present in the upper Lualaba freshwater ecoregion, namely Lacustricola lualabaensis [17]. Six species belong to the southern African clade ‘Lacustricola’. Further, a species showing affinities to ‘Hypsopanchaxjubbi [53], is also present in the target study area. Procatopodid species in the target region of arid savannah are typically found forming schools near the surface of large bodies of water, such as rivers and lakes. However, with the onset of the rainy season, they move for breeding into flooded areas of shallow water, typically seasonal wetland habitats. They have a non-seasonal mode of reproduction, and eggs are deposited among floating or hanging vegetation. Parents and many of the juveniles are often found trapped in the progressively drying seasonal water bodies.

Table 2. Species of Procatopodidae found in the upper Congo drainage. Numbering of freshwater ecoregions according to [1].

Procatopodid Species River Freshwater Ecoregion in Congo Drainage Region of Occurrence (Includes:)
System Subdrainages in
DR Congo
Hypsopanchaxjubbi [53] upper Lualaba Lualaba Upper Lualaba (545) SE DR Congo; Zambia
Lacustricola’ gemma,
new species
Kay Lualaba Upper Lualaba (545) SE DR Congo
‘Lacustricola’ hutereaui [46] several systems widespread overall Bangweulu–Mweru (544); Upper Lualaba (545) SE DR Congo; Zambia
Lacustricolajohnstoni [47] several systems widespread overall Bangweulu–Mweru (544); Upper Lualaba (545) SE DR Congo; Zambia
Lacustricolakatangae [48] several systems widespread overall Bangweulu–Mweru (544); Upper Lualaba (545) SE DR Congo; Zambia
Lacustricola lualabaensis [17] several smaller systems Lualaba Upper Lualaba (545) SE DR Congo
Lacustricola’ moeruensis [54] several systems Luapula, Lualaba Bangweulu–Mweru (544); Upper Lualaba (545) SE DR Congo; Zambia
Lacustricola’ nitidus [55] Lufupa Lualaba Upper Lualaba (545) SE DR Congo
Lacustricolapetnehazyi [56] Lake Tschangalele Lufira Upper Lualaba (545) SE DR Congo

SE stands for south-eastern.

1.3. Objective of the Study During recent field surveys aimed at documenting the cyprinodontiform species diversity in the upper Congo drainage, several new populations, considered potential new species, were collected by the author and colleagues from the University of Lubumbashi between April 2016 and April 2023. Examination of these specimens, along with analyses of combined morphometric and molecular data, revealed that some represent new species to science. Four new species belonging to the seasonal cyprinodont genus Nothobranchius in the family Nothobranchiidae, and one new species of lampeye genus ‘Lacustricola’ in the family Procatopodidae are identified and described herein. Furthermore, Nothobranchius species typically inhabit small, ephemeral wetland habitats, while lampeyes often migrate to these biotopes for breeding during the rainy season. This ecological adaptation makes them highly vulnerable, as the ephemeral wetland habitats frequently face degradation due to various human-induced stressors and threats. The significance of these discoveries from a conservation perspective is underscored by the numerous and increasing anthropogenic impacts documented in the region. These findings highlight the urgent need for active protection and conservation of the freshwater wetland habitats where these species occur.

2. Materials and Methods

The type series and comparative specimens are deposited in the following collections: RMCA, Royal Museum for Central Africa, Tervuren, Belgium (also referred to as MRAC in the past); MSNG, Museo Civico di Storia Naturale Giacomo Doria, Genova, Italy; and SAIAB, South African Institute for Aquatic Biodiversity, Grahamstown, South Africa. All locality data have been translated into English. 2.1. Morphological Analysis Measurements and counts were taken as described in Nagy (2014a, 2018) [12,13]. Terminology of the cephalic sensory system and descriptions of colour markings follow Nagy (2018) [12]. Species of the genus Nothobranchius exhibit pronounced sexual dichromatism and dimorphism, therefore, descriptions of comparative colour pattern elements are based on mature males. In order to compare measurements between species, multivariate biostatistical analyses of morphometric and meristic variables were performed using Minitab 16.2.1 [57]. Due to sexual dimorphism, statistical analyses are performed on male specimens that typically show interspecific variation, and not involving the generally uniform females. Proportions of measurements in the form of percentages were calculated in order to remove size effects from variation in body shape. Scatterplot graphs of morphometric variables against standard length or head length were accomplished to examine allometric growth effects individually. Meristic data were square-root transformed, whereas morphometric data were log-transformed with base 10 log before the statistical tests were carried out in order to meet standards for statistical and hypothesis testing and to ensure homogeneity of variables for subsequent multivariate analyses [58,59,60,61,62] The best subset regression method was employed to identify the smallest subset of the most distinctive predictors of morphometric variables for each species among the specimens of the most closely related comparative species. R-squared values have been compared for models of the same size, whereas the adjusted R-squared coefficient was used to compare models with different numbers of predictors [63]. Following Baur and Leuenberger (2011) [64], shape principal component analysis (PCA) was applied using ratios from the best subsets of morphometric variables. This multivariate technique, supported by the ratio spectrum, highlights shape differences in morphometric characters between species. PCA is used as a distribution-free ordination method to graphically display uncorrelated linear combinations of the original variables in a multivariate dataset [62,65]. The correlation matrix was selected to standardise variables to a zero mean [65,66]. The multivariate technique of principal component analysis (PCA) was employed on the correlation matrix of the best subsets of morphometric variables in order to visualise differences in morphometric characters between species. The principal component analysis is used as a distribution-free ordination method to graphically display uncorrelated linear combinations of the original variables in a multivariate dataset [62,65]. The correlation matrix was selected to standardise variables to a zero mean and ignore differences between different scales and units [65,66]. 2.2. Molecular COI Barcoding Analyses Total genomic DNA of 21 specimens were isolated from ethanol-fixed tissue samples using a NucleoSpin Tissue Kit (Macherey-Nagel, Düren, Germany) by GenoScreen, Lille, France. 10 ng of each sample was subsequently amplified with universal LCO/HCO barcoding COI primers [67] under the following conditions: MgCl2 1.5 mM, dNTPs 0.24 mM, FastStart Taq DNA polymerase (Roche, Basel, Switzerland) 1 U in a final volume of 25 µL—PCR program 95 °C 5min, 45 cycles of 95 °C 30 s, 45 °C 30 s, 72 °C 1 min, final elongation 72 °C 7 min. After QIAxcel (Qiagen, Hilden, Germany) migration to check efficiency and specificity, all validated PCR products were purified and sequenced in both directions on ABI 3730XL. Sequences were deposited in the GenBank database with accession numbers PV794613 to PV794633 (Table 3 and Table 4). Phylogenetic trees were constructed for the purpose of molecular data interpretation for the N. brieni species group and for the procatopodid species of the upper Congo drainage. The phylogenetic hypotheses were based on the analysis of the mitochondrial gene Cytochrome oxidase subunit I (COI), known for being strongly discriminative in species resolution [36,49,68,69]. The new Nothobranchius populations were compared with all other known congeners from the N. brieni species group, which group also includes all the known Nothobranchius species in the studied ecoregions. The new procatopodid populations were compared to the species known in the studied ecoregions, as well as ‘Lacustricolachobensis [70] and ‘Hypsopanchaxjubbi from the neighbouring Zambezi drainage, to understand better the relationships of the species in the upper Congo drainage. Further, Lacustricola pumilus [71], the type species of the genus Lacustricola sensu stricto from the Lake Tanganyika basin, was added to investigate the relationship between the clades of Lacustricola and ‘Lacustricola’. Sequences of previously analysed taxa were taken from GenBank, as published in [8,29] and [36] for the genus Nothobranchius (Table 3), whereas in [41] and [49] for the procatopodid genera (Table 4). Sequences were cleaned and trimmed to equal lengths of 698 bp and 680 bp, respectively, using BioEdit [72]. Sequence alignment was performed with Clustal Omega [73]. Nothobranchius neumanni [74] and Aliteranodon stuhlmanni [75] were selected as outgroups, being representative of sister clades to the N. brieni species group, and to the Procatopodidae, respectively [36,41]. Phylogenetic analyses of the datasets were performed using Bayesian inference (BI) in MrBayes 3.2.7 [76] and maximum likelihood (ML) analyses in IQ-TREE 2.3.6 [77]. The BI analyses were set to Markov chain Monte Carlo simulation (mcmc) with default heating conditions. The evolutionary model for the GTR substitution model was set with gamma-distributed rate variation across sites and a proportion of invariable sites (GTR + I + I’), searching the tree space for 1 million generations starting with random trees and a sampling frequency of each 1000 generations. Tree files were imported into Figtree 1.4.4. [78] for final tree drawings. For comparison of tree topologies and representing alternative visual displays, additional phylogenetic analyses were performed using maximum likelihood (ML) analyses. The most likely trees were generated, and the phylogenetic analyses were rooted on the outgroup taxa Nothobranchius neumanni or Aliteranodon stuhlmanni.

Table 3. List of Nothobranchius species for which relevant mitochondrial DNA (COI) analytical data were used to examine the phylogenetic structure of the N. brieni species group, with population field code (if known), general locality, drainage system, and GenBank accession number.

Species Field Code Location System and Drainage GenBank No.
N. boklundi ZAM 09-2 Kapani, Zambia Luangwa, Zambezi MN099866
N. brieni 1 CD 13-4 Bukama, DR Congo Lualaba MF069550
N. brieni 2 - Mabwe, DR Congo Katenga, Lualaba PV794613
N. capriviensis NA 07-1 Salambama, Namibia Chobe, Zambezi MN099867
N. chochamandai 1 CD 13-11 Kasomeno, DR Congo Kinikabwimba, Luapula MF069553
N. chochamandai 2 CD 13-11 Kasomeno, DR Congo Kinikabwimba, Luapula MF069554
N. cooperi 1 ZAM 07-8 Mansa, Zambia Mansa, Luapula MN099868
N. cooperi 2 ZAM 07-8 Mansa, Zambia Mansa, Luapula MF069524
N. cooperi 3 ZAM 07-8 Mansa, Zambia Mansa, Luapula MF069565
N. ditte 1 CD 16-13 Kilwa, DR Congo Katate, Lake Mweru MT991138
N. ditte 2 CD 16-13 Kilwa, DR Congo Katate, Lake Mweru MT991139
N. ditte 3 CD 23-6 Kilangela, DR Congo Kabera, Lake Mweru PV794614
N. dubieensis 1 CD 23-29 Dubie, DR Congo Lubule, Luvua PV794615
N. dubieensis 2 CD 23-29 Dubie, DR Congo Lubule, Luvua PV794616
N. flagrans 1 CD 13-7 Pande, DR Congo Mufufya, Lufira MF069552
N. flagrans 2 CD 13-7 Pande, DR Congo Mufufya, Lufira PV794617
N. hassoni 1 DRCH 2008-09 Bunkeya, DR Congo Bunkeya, Lufira MN105989
N. hassoni 2 CD 13-8 Bunkeya, DR Congo Bunkeya, Lufira MF069551
N. iridescens 1 CD 23-21 Lutandula, DR Congo Kafila, Lufira PV794618
N. iridescens 2 CD 23-30 Lutandula, DR Congo Kafila, Lufira PV794619
N. kafuensis 1 ZAM 07-1 Kayuni, Zambia Kafue, Zambezi MN099871
N. kafuensis 2 - Kayuni, Zambia Kafue, Zambezi MK784244
N. katemomandai 1 CD 23-26 Lubule, DR Congo Kay, Lualaba PV794620
N. katemomandai 2 - Kay, DR Congo Kay, Lualaba PV794621
N. malaissei 1 CD 16-18 Kabiasha, DR Congo Luizi, Luapula MT991161
N. malaissei 2 CD 16-18 Kabiasha, DR Congo Luizi, Luapula MT991159
N. malaissei 3 CD 23-12 Kabiasha, DR Congo Luizi, Luapula PQ784103
N. marmoreus 1 CD 16-12 Mukobe, DR Congo Lufukwe, Lake Mweru MT991167
N. marmoreus 2 CD 16-12 Mukobe, DR Congo Lufukwe, Lake Mweru MT991137
N. marmoreus 3 CD 23-9 Mukobe, DR Congo Lufukwe, Lake Mweru PV794622
N. milvertzi 1 ZM 12-20 Chienge, Zambia Lushiba, Lake Mweru MF069556
N. milvertzi 2 ZM 12-20 Chienge, Zambia Lushiba, Lake Mweru MF069555
N. neumanni TNT 2014-02 Kintinku, Tanzania Bahi Swamp MN099877
N. oestergaardi ZAM 10-4 Kalaba, Zambia Lake Mweru Wantipa PV794623
N. polli 1 CD 16-10 Kyembe, DR Congo Tshipokokolo, Lufira MF069547
N. polli 2 CD 13-9 Kyembe, DR Congo Tshipokokolo, Lufira PV794624
N. rosenstocki 1 ZAM 07-3 Chongola, Zambia upper Luapula MF069563
N. rosenstocki 2 ZAM 07-7 Kasanka, Zambia upper Luapula MF069564
N. sainthousei 1 ZM 12-19 Mweshi, Zambia Chimbembe, Luapula MF069559
N. sainthousei 2 ZM 12-19 Mweshi, Zambia Chimbembe, Luapula MF069558
N. symoensi ZAM 07-4 Kapalala, Zambia upper Luapula MF069569
N. spec. CD 23-23 Brakia, DR Congo upper Lubi, Luapula PQ784104
N. spec. CD 23-25 Brakia, DR Congo upper Lubi, Luapula PQ784105
N. spec. DRCP 2013-6 Brakia, DR Congo upper Lubi, Luapula MF069557

Table 4. List of Procatopodid species for which relevant mitochondrial DNA (COI) analytical data were used to examine the phylogenetic structure of the family in the upper Congo drainage, with population field code (if known), country, drainage system and general locality, and GenBank accession number.

Species Field Code Country Drainage GenBank No.
Aliteranodon stuhlmanni KEN 10-10 Kenya Kipungani Creek MF497414
‘Hypsopanchax’ jubbi 1 - Zambia Zambezi ZAFW071-12
‘Hypsopanchax’ jubbi 2 - Zambia Zambezi ZAFW150-13
‘Hypsopanchax’ jubbi 3 - DR Congo Lualaba MG869984
‘Lacustricola’ chobensis 1 - Namibia Okavango MT075881
‘Lacustricola’ chobensis 2 - Malawi Shire AY356594
‘Lacustricola’ chobensis 3 - Namibia Zambezi MT075878
‘Lacustricola’ gemma 1 CD 23-26 DR Congo Lualaba PV794625
‘Lacustricola’ gemma 2 CD 23-26 DR Congo Lualaba PV794626
‘Lacustricola’ gemma 3 - DR Congo Lualaba PV794627
‘Lacustricola’ hutereaui Zambia Luapula MG869977
‘Lacustricola’ johnstoni 1 - Mozambique Zambezi MT075901
‘Lacustricola’ johnstoni 2 - Zambia Luapula MG869983
‘Lacustricola’ johnstoni 3 - Malawi Shire MT075900
‘Lacustricola’ katangae 1 - DR Congo Lualaba MG869978
‘Lacustricola’ katangae 2 - Zambia Zambezi MT075889
‘Lacustricola’ moeruensis 1 CD 16-14 DR Congo Lake Mweru MG869981
‘Lacustricola’ moeruensis 2 CD 16-14 DR Congo Lake Mweru PV794628
‘Lacustricola’ moeruensis 3 CD 23-25 DR Congo Lake Mweru PV794629
‘Lacustricola’ nitida CD 16-2 DR Congo Lualaba PV794630
‘Lacustricola’ petnehazyi 1 CD 23-16 DR Congo Lufira PV794631
‘Lacustricola’ petnehazyi 2 CD 23-16 DR Congo Lufira PV794632
‘Lacustricola’ petnehazyi 3 CD 23-14 DR Congo Lufira PV794633
Lacustricola lualabaensis - DR Congo Lualaba MG869967
Lacustricola pumilus - DR Congo Lake Tanganyika MG869967

2.3. Species Concept Following Watters et al. (2019) [29] and Nagy et al. (2020) [30], lineages within cyprinodotiform fish families are recognized herein as distinct species under the Evolutionary Species Concept (ESC) of Wiley (1978) [79], operationalized by the Phylogenetic Species Concept (PSC) and additionally the Recognition Species Concept (RSC), following Mayden (1999, 2002) [80,81]. This consilient approach evaluates complementary datasets and integrates multiple independent lines of evidence.

3. Results

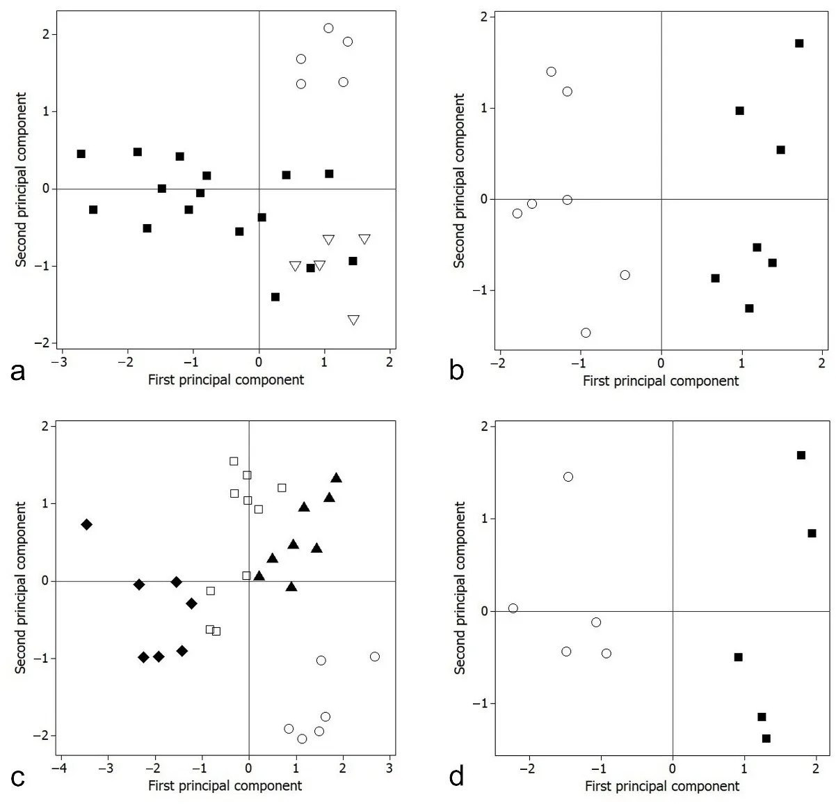
Within the cyprinodotiform fish families in the Bangweulu–Mweru and the upper Lualaba freshwater ecoregions in the upper Congo drainage, 20 species and one putative species of the family Nothobranchiidae are recovered, all belonging to the Nothobranchius brieni species group within the genus Nothobranchius (Table 1). All species can be identified based on the colour pattern of males, morphometrics, and molecular analysis. There are nine species of the family Procatopodidae known in the uppermost Congo drainage, one belonging to the genus Lacustricola and eight species belonging to the undescribed genus ‘Lacustricola’, including one species currently referred to as ‘Hypsopanchax’ (Table 2). These species can be identified based on the colour pattern of males, meristics, morphometrics, and molecular analysis 3.1. Morphological Analysis 3.1.1. Nothobranchiidae Divergence of morphological characters between males of species belonging to the N. brieni species group was found. Populations of the new species show diagnostic, non-overlapping morphometric characters from the most closely related species. In order to highlight the biometric differences, the PCA technique was employed on the correlation matrices of the most distinctive morphometric characters, in order to corroborate the hypotheses of species delimitation. The best subsets regression resulted in distinctive subsets of the most significant predictors that are shown in Table 5, Table 6, Table 7 and Table 8. The first two principal components were retained for each analysis, supported by the eigenvalue-one criterion and proportion of the components in total variance. The proportion of variance explained by the retained principal components and factor loadings of each variable is also shown in Table 5, Table 6, Table 7 and Table 8. The series of analyses showed that the new members of the N. brieni species group cluster separately from other most similar and closely related species in the space of the first and second principal components (Figure 1a–d). Nothobranchius iridescens was discriminated from N. hassoni and N. polli on the axis of the second principal component [PC2] (Figure 1a), shown by differences mainly associated with caudal peduncle length and anal-fin base length (Table 5). Nothobranchius katemomandai was distinguished from N. brieni on PC1 (Figure 1b), reflecting differences mainly in postorbital length and dorsal-fin base length (Table 6). Nothobranchius marmoreus was differentiated from N. ditte, N. malaissei, and N. milvertzi on PC2 (Figure 1c); associated with differences mainly in head width; whereas also on PC1 from N. ditte and N. malaissei, associated with caudal peduncle length, predorsal length in % of preanal length, and head length (Table 7). Nothobranchius dubieensis was discriminated from N. oestergaardi on PC1 (Figure 1d), representing mainly morphometric differences in snout length and caudal peduncle length in % of its depth (Table 8). The non-overlapping clusters of specimens recovered by the PCA support the hypothesis that the new species of the N. brieni species group can also be separated by morphological characters.
Figure 1. Comparative morphometry in males of the <em>Nothobranchius brieni </em>species group. Score plots of principal component analysis on best subsets of distinctive morphometric characters, first component <em>vs.</em> second component: (<strong>a</strong>). <em>N. iridescens</em> (○) <em>vs.</em> <em>N. hassoni</em> (■) and <em>N. polli</em> (▽); (<strong>b</strong>). <em>N. katemomandai</em> (○) <em>vs.</em> <em>N. brieni</em> (■); (<strong>c</strong>). <em>N. marmoreus</em> (○) vs <em>N. ditte</em> (□), <em>N. malaissei</em> (♦) and <em>N. milvertzi</em> (▲); and (<strong>d</strong>). <em>N. dubiensis</em> (○) <em>vs.</em> <em>N. oestergaardi</em> (■).

Table 5. Factor loadings and proportions of variance explained by the selected first two principal components (PC1 and PC2) of a principal component analysis (PCA) carried out on the log-transformed data of most distinctive combination of four measurement characters, identified by best subset regression for Nothobranchius iridescens and the comparative material. The most important loading values are in bold.

Variables and Eigenanalysis PC1 PC2
Morphometric characters
Caudal peduncle length in % of its depth 0.187 0.881
Caudal-fin length 0.683 0.023
Postorbital length −0.522 −0.078
Anal-fin base length 0.475 −0.466
Eigenanalysis of the correlation matrix
Eigenvalue 1.7158 1.0259
Explained variance (% of total variance) 42.9 25.6
Cumulative variance (%) 68.5

Table 6. Factor loadings and proportions of variance explained by the selected first two principal components (PC1 and PC2) of a principal component analysis (PCA) carried out on the log-transformed data of most distinctive combination of three measurement characters, identified by best subset regression for Nothobranchius katemomandai and the comparative material. The most important loading values are in bold.

Variables and Eigenanalysis PC1 PC2
Morphometric characters
Caudal peduncle depth 0.088 0.974
Postorbital length 0.711 0.084
Dorsal-fin base length −0.698 0.208
Eigenanalysis of the correlation matrix
Eigenvalue 1.7309 1.0282
Explained variance (% of total variance) 57.7 34.3
Cumulative variance (%) 92.0

Table 7. Factor loadings and proportions of variance explained by the selected first two principal components (PC1 and PC2) of a principal component analysis (PCA) carried out on the log-transformed data of most distinctive combination of four measurement characters, identified by best subset regression for Nothobranchius marmoreus and the comparative material. The most important loading values are in bold.

Variables and Eigenanalysis PC1 PC2
Morphometric characters
Head width 0.141 0.915
Caudal peduncle length in % of its depth 0.589 −0.235
Predorsal length in % of preanal length 0.570 −0.221
Head length −0.555 −0.244
Eigenanalysis of the correlation matrix
Eigenvalue 2.0847 1.0663
Explained variance (% of total variance) 52.1 26.7
Cumulative variance (%) 78.8

Table 8. Factor loadings and proportions of variance explained by the selected first two principal components (PC1 and PC2) of a principal component analysis (PCA) carried out on the log-transformed data of the most distinctive combination of four measurement characters, identified by best subset regression for Nothobranchius dubieensis and the comparative material. The most important loading values are in bold.

Variables and Eigenanalysis PC1 PC2
Morphometric characters
Preanal length −0.348 −0.779
Snout length 0.606 0.173
Caudal peduncle length in % of its depth 0.560 −0.228
Body depth at pelvic-fin origin −0.445 0.558
Eigenanalysis of the correlation matrix
Eigenvalue 2.4876 1.0613
Explained variance (% of total variance) 62.2 26.5
Cumulative variance (%) 88.7

3.1.2. Procatopodidae Divergence of morphological characters between populations of the new species and the most similar and closely related species have been found, showing diagnostic, non-overlapping morphometric characters. The PCA reveals that the new population, here identified as a new species and named ‘Lacustricolagemma, groups separately on score plots for PC1 vs. PC2 (Figure 2a,b) from ‘L.’ chobensis and ‘L.’ hutereaui. For meristic characters (Figure 2a), the first principal component is mostly associated with the scales in the circumpeduncular series, whereas the second component accounts for the scales in the transverse series and dorsal-fin rays (Table 9). For the morphometric characters (Figure 2b), the first principal component explains much of the variation among specimens in Head width in % of its depth and caudal fin length, whereas the second principal component is associated mainly with head width and body depth (Table 10).
Figure 2. Comparative meristics and morphometry in males of ‘<em>Lacustricola</em>’ <em>gemma</em> (○), ‘<em>L</em>.’ <em>chobensis</em> (♦) and ‘<em>L</em>.’ <em>hutereaui</em> (▼). Score plot of principal component analysis on first component <em>vs.</em> second component: (<strong>a</strong>). six meristic characters; (<strong>b</strong>). best subset of four distinctive morphometric characters.

Table 9. Factor loadings and proportions of variance explained by the selected first two principal components (PC1 and PC2) of a principal component analysis (PCA) carried out on the square-root transformed data of meristic characters for ‘Lacustricola gemma and the comparative material. The most important loading values are in bold.

Variables and Eigenanalysis PC1 PC2
Meristic characters
Scales transverse 0.268 −0.792
Dorsal-fin rays −0.140 0.657
Scales circumpeduncular 0.558 0.021
Anal-fin rays 0.460 0.527
Scales mid-longitudinal series 0.472 −0.250
Dorsal fin to anal fin relative position 0.428 0.178
Eigenanalysis of the correlation matrix
Eigenvalue 2.4876 1.0613
Explained variance (% of total variance) 62.2 26.5
Cumulative variance (%) 88.7

Table 10. Factor loadings and proportions of variance explained by the selected first two principal components (PC1 and PC2) of a principal component analysis (PCA) carried out on the log-transformed data of the most distinctive combination of four measurement characters, identified by best subset regression for ‘Lacustricola gemma and the comparative material. The most important loading values are in bold.

Variables and Eigenanalysis PC1 PC2
Morphometric characters
Head width in % of its depth 0.377 0.822
Caudal peduncle length in % of its depth 0.565 −0.148
Body depth at pelvic-fin origin −0.562 −0.058
Caudal-fin length −0.473 0.547
Eigenanalysis of the correlation matrix
Eigenvalue 2.9202 1.0050
Explained variance (% of total variance) 73.0 20.1
Cumulative variance (%) 93.1

3.2. Molecular Analysis DNA sequence data from the mitochondrial COI genes were generated and utilized for all taxa, complementing the sequences available from previous analyses. The BI and ML analyses recovered similar topologies. For Nothobranchiids, a full BI phylogeny including all analysed taxa is presented in Figure 3, while a simplified ML phylogeny, with one terminal per species and accompanying specimen images to illustrate species diversity, is shown in Figure 4. For Procatopodids, the corresponding BI and simplified ML phylogenies are presented in Figure 5 and Figure 6, respectively.
Figure 3. Phylogenetic tree of the <em>Nothobranchius brieni</em> species group, based on analysis of the mitochondrial molecular marker Cytochrome oxidase subunit I (COI), using Bayesian inference. Support values at nodes represent Bayesian posterior probability. Relevant data regarding specimens analysed for this tree are presented in Table 3.
Figure 4. Colour images of representative male specimens of all members of the <em>Nothobranchius brieni</em> species group, plotted on a phylogenetic tree based on maximum likelihood analysis of the mitochondrial molecular marker Cytochrome Oxidase Subunit I (COI), and associated drainage system distribution information. Photographs by B. Nagy, except <em>N. kafuensis</em> by Cs. Nagy, <em>N. oestergaardi</em> by S. Valdesalici and <em>N. dubieensis</em> by A. Kalumba.
Figure 5. Phylogenetic tree of the Procatopodid species to examine the phylogenetic structure of the family in the upper Congo drainage, based on analysis of the mitochondrial molecular marker Cytochrome oxidase subunit I (COI), using Bayesian inference. Support values at nodes represent Bayesian posterior probability. Relevant data regarding specimens analysed for this tree are presented in Table 4.
Figure 6. Colour images of representative male specimens of the Procatopodid species in the upper Congo drainage, plotted on phylogenetic tree based on maximum likelihood analysis of the mitochondrial molecular marker Cytochrome Oxidase Subunit I (COI). Photographs by B. Nagy, except ‘<em>H</em>.’ <em>jubbi</em> by SAIAB, <em>L. lualabaensis</em> by B. Katemo Manda, and ‘<em>L</em>.’ <em>johnstoni</em> by B. Watters.
3.2.1. Nothobranchiidae The BI phylogeny (Figure 3) retrieved the N. brieni species group in four, geographically segregated clades: Nothobranchius brieni and N. katemomandai from the upper Lualaba drainage in a basal position; the species from lower Luapula drainage and Lake Mweru basin (referred to as Lake Mweru complex in [36]) as well as containing N. oestergaardi from Lake Mweru Wantipa and N. dubieensis from nearby Luvua system in a clade; the species from the upper and middle Lufira drainage in a clade; and the species from the middle and upper Luapula drainage and the Zambezi drainage were retrieved in a clade. The ML phylogeny retrieved a similar topology, except that N. brieni and N. katemomandai were in a sister position to N. flagrans. The phylogeny based on ML reveals strong geographic segregation, with clades organized by the host river drainages. The ML phylogeny, including one terminal per species, and illustrated with colour pictures of each taxon, is represented in Figure 4. In both analyses, the four new species of the N. brieni species group are retrieved as phylogenetically distinct lineages. The results of molecular analyses of COI gene sequences support the genetic distinction of the four new species and confirm their position, together with all known members in the N. brieni species group. 3.2.2. Procatopodidae The BI phylogeny (Figure 5) retrieved the family in the upper Congo drainage in the following clades: Lacustricola lualabaensis from the upper Congo forms a clade with L. pumilus from the Lake Tanganyika basin; followed by clades likely belonging to the undescribed genus ‘Lacustricola’, generally recognized as the ‘L.’ johnstoni group, the ‘L.’ katangae group, and the ‘L.’ hutereaui group. The new populations were found to belong to the latter group. The ML phylogeny retrieved a similar topology. The phylogeny based on ML, including one terminal per species from the target study area, and illustrated with colour pictures of each taxon, is represented in Figure 6. The new populations are retrieved as a phylogenetically distinct lineage, and the analyses confirm the position within the ‘Lacustricola’ genus. 3.3. Taxonomy 3.3.1. Nothobranchius iridescens, New Species http://zoobank.org/urn:lsid:zoobank.org:act: 2CDB599E-DAFC-4FF6-BDEA-D9D4760E9049 Nothobranchius spec. ‘Lutandula’: Nagy 2024b: 73 [82]. Holotype. BE_RMCA_VERT.2025.008.P.0003, male, 41.8 mm SL; DR Congo: Kafila system: Lufira drainage: shallow remnant pools in seasonal floodplain, 8 km northwest of Lutandula village, 10°49′44″ S, 27°48′09″ E, 1062 m alt.; B. Nagy, A. Chocha Manda & A. Kalumba, 19 April 2023 (field code: CD 23-21). Paratypes. BE_RMCA_VERT.2025.008.P.0004, male, 43.0 mm SL; collected with the holotype. — BE_RMCA_VERT.2025.008.P.0005–0010, 3 males, 29.2–36.2 mm SL & 3 females, 27.0–29.9 mm SL; DR Congo: Kafila system: Lufira drainage: shallow remnant pools in seasonal floodplain, 11 km northwest of Lutandula village, 10°48′36″ S, 27°47′19″ E; A. Kalumba, 28 May 2023 (field code: CD 23-30). Diagnosis. Nothobranchius iridescens is distinguished from all other species of the genus by the unique combination in male colouration of having anal fin with irregular red-brown spots and stripes, creating two irregular submedial and medial bands and with broad yellow subdistal band; and caudal fin with a slender light blue subdistal band, densely marked with irregular red spots, and narrow dark brown distinct distal margin. Further, N. iridescens is distinguished from the most closely related N. polli by greater caudal peduncle length (153–161 in % of its depth vs. 133–139); and greater eye diameter (31–34% HL vs. 23–26); and from N. hassoni by smaller predorsal length (52.4–55.6% SL vs. 55.7–59.5); and greater caudal peduncle length (153–161 in % of its depth vs. 133–143). Description. General body features are illustrated in Figure 7. Morphometric and meristic characters of the holotype and paratypes are summarised in Table 11. A medium sized Nothobranchius species (maximum observed size: 43.0 mm SL in males and 29.9 mm SL in females). Males: General body shape is robust, laterally compressed, and deep. Greatest body depth at vertical in front of pelvic-fin origin. Greatest body width at pectoral-fin base, with body progressively narrowing towards caudal-fin base. Dorsal profile straight from tip of snout to nape and convex to base of last dorsal-fin ray, straight to slightly concave on caudal peduncle. Ventral profile convex from lower jaw to base of last anal-fin ray, straight to slightly concave on caudal peduncle. Caudal peduncle shallow, length 1.5–1.6 times of its depth. Anus situated directly in front of anal-fin origin. Head short, laterally compressed, deeper than wide. Snout slightly pointed, smaller than eye diameter. Mouth supraterminal, slightly oblique in profile. Jaws subequal, lower jaw longer than upper, posterior end of rictus at same level or slightly ventral to centre of eye. Premaxilla and dentary with many irregularly distributed conical, slightly curved teeth in the outer row of lower and upper jaws. Orbit large, in the anterior half of the head, in the dorsal portion of the head side. The branchiostegal membrane projects posteriorly from the operculum. Dorsal-fin origin anterior to anal-fin origin, with both fins originating posterior to mid-length of the body. Overall distal part of dorsal and anal fins rounded, with small contact organs in form of papillae on fin rays and distal margin with short filamentous rays. Posterior tip/margin of dorsal fin reaching caudal-fin base. Pectoral fin subtriangular, insertion at about vertical or slightly posterior to margin of opercular opening, base slightly oblique, with 17–18 rays, upper fin rays placed slightly anteriorly to lower fin rays, tip reaching or slightly overlapping base of pelvic fin. Pelvic fin subabdominal, origin at about mid-length of body, short, bases medially separated, tip reaching urogenital papilla. Caudal fin rounded, with 17–18 branched rays, plus 2 to 3 unbranched, smaller rays at dorsal and ventral origins. Scales cycloid. Body and head entirely scaled, except for the ventral surface of the head.
Figure 7. <i>Nothobranchius iridescens</i>: (<b>a</b>). BE_RMCA_VERT.2025.008.P.0003, holotype, preserved male, 41.8 mm SL; (<b>b</b>). holotype live; (<b>c</b>). BE_RMCA_VERT.2025.008.P.0004, paratype, live male, 43.0 mm SL; (<b>d</b>). type locality; DR Congo: Kafila system: Lufira drainage: shallow remnant pools in seasonal floodplain, 8 km northwest of Lutandula village, 10°49′44″ S, 27°48′09″ E, 1062 m alt.; B. Nagy, A. Chocha Manda & A. Kalumba, 19 April 2023 (field code: CD 23-21). Photographed by B. Nagy (<b>a</b>–<b>c</b>) and A. Kalumba (<b>d</b>).
Cephalic squamation pattern variable. Anterior nostril at the anterior tip of the snout, tubular opening lateral to the upper lip. Posterior nostril in front of the orbit, with oblique oval aperture. Frontal neuromasts are in a shallow groove. Cephalic sensory system at supraorbital level in a continuous, curved shallow groove, with two exposed neuromasts in the anterior part and four exposed neuromasts in the posterior part, whereas at supratemporal level in a curved groove, with four exposed neuromasts (Figure 8a). Preorbital canal in shallow groove with two exposed neuromasts; postorbital canal in shallow groove with one exposed neuromast; infraorbital series with about eight neuromasts at ventral margin of eye. Mandibular canal is in a shallow groove with a series of small neuromasts, curved to the lateral midline in front. One neuromast is on each scale along the trunk mid-longitudinal series. Females: Smaller than males. Body generally similar but less laterally compressed and slightly more slender than in males (body depth at pelvic fin origin 27.4–28.1% SL vs. 29.1–32.3; head width in % of its depth greater than in males 77–82 vs. 64–72). Anal fin subtriangular, tip rounded, central rays longer and more rigid (vs. anal fin rounded in males). Anal, dorsal and pelvic fins positioned more posteriorly than in males (61.5–63.5% SL vs. 56.1–59.6; 57.5–58.0% SL vs. 52.4–55.6; 49.5–50.7% SL vs. 44.5–47.8, respectively). Anal-fin and dorsal-fin base lengths are smaller than in males (23.1–25.9% SL vs. 26.1–29.0; 17.7–18.1% SL vs. 22.3–23.5, respectively). Caudal peduncle is more slender than in males (161–164 in % of its depth vs. 153–161). Branchiostegal membrane not projecting distally (vs. projecting distally in males). No papillae or epidermal tissue present on dorsal and anal fins (vs. both present in males).
Figure 8. Diagrammatic representation of cephalic structure, dorsal view of head in: (<strong>a</strong>). <em>Nothobranchius iridescens</em>; (<strong>b</strong>). <em>N. katemomandai</em>; (<strong>c</strong>). <em>N. marmoreus</em>; and (<strong>d</strong>). <em>N. dubieensis</em>. Key to label abbreviations: an, anterior nostril; pn, posterior nostril; f, frontal neuromast; so, supraorbital canal; st, supratemporal canal.
Colouration. Live colouration of males (Figure 7b,c): scales on head and trunk light blue to green-blue with irregular red-brown posterior margin, forming irregular vertical, chevron-formed striped pattern on body. Snout, frontal and dorsal portion of head red-brown, throat light blue. Posterior scale margins on post-orbital portion of the operculum create three to four red-brown, anteriorly lowering, oblique bars. Exposed part of the branchiostegal membrane is light blue. Iris light yellow, with dark grey-black spots, especially on upper and lower-most parts, creating a dark vertical bar through the centre of the eye. Dorsal fin yellow to light blue with irregular red-brown stripes, perpendicular to fin rays proximally, parallel to fin rays medially and distally, fin tips light blue. Anal fin light blue, with irregular red-brown spots and stripes, creating two irregular submedial and medial bands, with broad yellow subdistal band, with irregular red-brown spots and narrow dark brown distal margin. Caudal fin yellow to light blue, with irregular red-brown spots and stripes parallel to fin rays proximally and medially, followed by an irregular narrow red-brown band and a slender light blue subdistal band, with irregular red spots, depending on the density, creating a red-brown band, and a narrow dark brown distinct distal margin. Pelvic fin light blue, with narrow red-brown medial band and yellow distal band. Pectoral fin hyaline with blue posterior distal margin. Live colouration of females: scales on trunk and head light brown with narrow dark brown posterior margin, forming a slightly visible reticulated pattern on body. Overall light brown colour of scales, darker on dorsum and lighter to silvery on venter. Blue iridescence on the opercular region and anterior midlateral half of the trunk. Iris yellow. All fins are hyaline.

Table 11. Morphometric and meristic data of holotype and paratypes of Nothobranchius iridescens. Holotype values included in ranges, mean and standard deviation of males. H, holotype; SD, standard deviation.

Morphometric and Meristic Characters Males Females
(n = 5) (n = 3)
H Range Mean SD Range Mean SD
Standard length 41.8 29.2–43.0 27.0–29.9
Percent of standard length
Total length 123.0 123.0–125.7 124.7 1.1 125.4–127.8 126.4 1.2
Body depth at pelvic-fin origin 32.3 29.1–32.3 30.8 1.3 27.4–28.1 27.8 0.4
Head length 30.6 27.6–31.9 29.8 1.7 31.4–33.3 32.3 1.0
Preanal length 59.6 56.1–59.6 57.1 1.4 61.5–63.5 62.2 1.2
Predorsal length 54.8 52.4–55.6 54.1 1.3 57.5–58.0 57.8 0.2
Prepelvic length 47.8 44.5–47.8 46.4 1.4 49.5–50.7 50.1 0.6
Prepectoral length 30.9 28.8–31.9 30.4 1.4 31.8–33.7 32.7 1.0
Caudal peduncle length 21.5 19.8–22.1 21.0 0.9 20.0–20.8 20.4 0.4
Caudal peduncle depth 13.4 12.8–14.1 13.4 0.5 12.2–12.7 12.6 0.3
Dorsal-fin base length 26.1 26.1–29.0 27.5 1.2 23.1–25.9 24.2 1.5
Anal-fin base length 23.0 22.3–23.5 22.8 0.5 17.7–18.1 18.0 0.3
Caudal-fin length 23.0 23.0–25.7 24.7 1.1 25.4–29.3 26.9 2.0
Percent of head length
Head width 50 53–59 56.8 2.5 55–59 56.3 1.9
Head depth 87 82–87 84.7 2.6 69–72 70.9 1.5
Interorbital width 39 36–40 38.3 1.9 36–39 37.1 1.5
Postorbital length 50 50–55 51.7 2.0 48–52 50.2 2.2
Suborbital depth 24 19–24 21.0 2.0 17–21 18.5 2.4
Eye diameter 31 31–34 31.7 1.2 34–37 35.3 1.8
Snout to eye end length 50 45–50 48.3 2.0 48–52 49.8 2.2
Snout length 20 17–20 18.6 1.7 17–19 17.8 1.2
Other morphometric ratios
Head width in % of its depth 68 64–72 67.1 3.1 77–82 79.5 2.6
Caudal peduncle length in % of its depth 161 153–161 156.4 2.7 161–164 162.7 1.9
Predorsal length in % of preanal length 92 92–98 94.8 2.8 91–94 92.9 2.1
Meristics range mode range mode
Dorsal-fin rays 16 16–17 16 16–17 16
Anal-fin rays 17 17–18 17 17–18 17
Scales mid-longitudinal series 29 28–30 29 28–29 29
Scales transverse 10 10 10 10 10
Scales circumpeduncular 12 12 12 12 12

Distribution. Nothobranchius iridescens is endemic to seasonal freshwater habitats of the upper Congo drainage in south-eastern DR Congo. It is currently known from ephemeral pools and marshes on floodplains associated with the Kafila river in the Lufira system (Figure 9). The Kafila is a major right bank affluent entering the middle Lufira just below the Mwadingusha Falls, which isolates the middle from the upper Lufira.
Figure 9. Localities of new species described in present paper: <em>Nothobranchius iridescens</em> (red star), <em>N. katemomandai</em> and ‘<em>Lacustricola</em>’ <em>gemma</em> (blue star), <em>N. marmoreus</em> (orange star), and <em>N. dubieensis</em> (green star). Individual symbols may represent more than one locality or population. Map prepared by B. Nagy.
Ecology and biology. The climate of the ecoregion is tropical and moist, with a mean annual rainfall of around 1000 mm [83]. The rivers in the Lufira system flood seasonally in response to the rains. The waters are the highest during the rainy season and, from February to April and driest between September and January [83,84]. At the type locality, Nothobranchius iridescens was the only species of the genus observed. The accompanying fish fauna consisted of non-annual species belonging to the families Cichlidae and Cyprinidae. The type locality on 19 April 2023 was an ephemeral pool formed in the floodplain of the Kafila River (Figure 7d). The pool was about 50 cm deep at its deepest point, the water was turbid, and it covered an area that was partly overgrown with grass. The habitat principally belongs to category 1.2 as defined by Watters (2015a) [85], representing a pool and a flooded grassy area on a floodplain. However, the anthropogenic impact is evident, as the local population altered the natural habitat by placing fences and fish traps into the biotope. Aquarium maintenance of selected specimens was undertaken in the facilities of the University of Lubumbashi for observation of breeding behaviour and biology. Nothobranchius iridescens has a mode of reproduction that is common for all known annual congeners under aquarium conditions. Conservation status. Nothobranchius iridescens is recommended to be assessed as Endangered. The species is currently known only from the area of the type locality, two sites situated in a limited section of the Kafila system of the Lufira drainage. It might exist at some other sites within the drainage system of the Kafila, but its distribution will remain restricted, and any potential additional subpopulations are expected to be fragmented and not in contact or having limited contact with each other. The species is expected to be restricted to ephemeral wetlands within the Kafila drainage system. The section of the drainage in the Kafila system where the species is currently known is 67 km2, whereas the estimated maximum extent of occurrence (EOO) would be less than 1000 km2, the area of occupancy (AOO) with a maximum estimate of less than 100 km2 and expected maximum of five threat-based locations. Currently known sites, including the type locality, are close to human populations. Phases in the seasonal life cycle of this species underscore the vulnerabilities of the ecological processes in the ephemeral habitats, as the survival of the species is dependent on suitable conditions during both dry and wet seasons. The author observed the expansion of agriculture in the area and, consequently, increasing anthropogenic pressures on the land and water use. The resultant habitat changes are likely to modify the habitats in ways that render them unsuitable and thus degraded when considering their support of the seasonal life cycle of the species, and thus represent an important extinction risk. Additionally, the natural habitat at the type locality has been altered by the local population through the installation of fences and the placement of fish traps within the biotope. Using IUCN (2012) principles [86], N. iridescens meets the criteria B1ab(iii)+2ab(iii) for Endangered, considering upper estimates of the EOO, AOO, and number of locations, as well as the risk of continuous decline of the known wetland habitats in which it is known to live. Nevertheless, at present, no conservation/protection measures are in place for this species. Further, not a single protected area covers at least part of its presently known distribution. As such, there is a need for habitat protection at the type locality and a second close-by site, currently the only sites from which the species has been recorded to date. Further field surveys targeting additional suitable habitats should be conducted in the floodplains of the drainage system, in order better to document the full geographic distribution of this species and thus better envision how to elaborate on appropriate conservation measures. Etymology. The specific epithet iridescens is a Latin participial adjective deriving from the ancient Greek word iris (ἶρις), rainbow, referring to the colourful appearance of the males, containing different colours of the rainbow, such as yellow and red in the fins, reflective blue on the body slightly shifting hue depending on the angle of light. 3.3.2. Nothobranchius katemomandai, New Species http://zoobank.org/urn:lsid:zoobank.org:act: 22C69DA3-5C13-4C51-BEAF-F10BC311AB27 Nothobranchius spec. CD 23-26: Nagy 2024a: 2 [87]. Nothobranchius spec. ‘Manono’: Nagy 2024b: 72 [82]; Watters & Nagy 2025: 426 [88]. Holotype. BE_RMCA_VERT.2025.008.P.0011, male, 31.1 mm SL; DR Congo: Kay system: upper Lualaba drainage: shallow remnant pool in small seasonal riverbed, 0.5 km west of Lubule village, 07°31′47″ S, 27°13′24″ E, 634 m alt.; B. Katemo Manda, 17 April 2023 [field code: CD 23-26]. Paratypes. BE_RMCA_VERT.2025.008.P.0012–0020, 6 males, 30.3–43.2 mm SL & 3 females, 27.0–28.8 mm SL; collected with the holotype. Diagnosis. Nothobranchius katemomandai is distinguished from all other species of the genus by the unique combination in male colouration of having anal fin with narrow brown submedial band, followed by a slender yellow band, a slender red-brown band and a slender dark brown distal band; and caudal fin with brown spots proximally and medially, and with slender white to light blue subdistal band and a narrow dark grey distal band. Further, N. katemomandai is distinguished from most closely related N. brieni by greater dorsal-fin base length (25.7–28.0% SL vs. 24.1–25.4); smaller postorbital length (49–51% HL vs. 53–58); and smaller head width (68–74 in % of its depth vs. 76–83). Description. General body features are illustrated in Figure 10. Morphometric and meristic characters of holotype and paratypes are summarised in Table 12. A medium sized Nothobranchius species (maximum observed size: 43.2 mm SL in males and 28.8 mm SL in females). Males: General body shape is robust, laterally compressed, and deep. Greatest body depth at vertical in front of pelvic-fin origin. Greatest body width at pectoral-fin base, with body progressively narrowing towards caudal-fin base. Dorsal profile slightly concave to straight from tip of snout to nape and convex to base of last dorsal-fin ray, straight to slightly concave on caudal peduncle. Ventral profile convex from lower jaw to base of last anal-fin ray, straight to slightly concave on caudal peduncle. Caudal peduncle moderately shallow, length 1.3–1.4 times of its depth. Anus situated directly in front of anal-fin origin. Head short, laterally compressed, deeper than wide. Snout slightly pointed, smaller than eye diameter. Mouth supraterminal, slightly oblique in profile. Jaws subequal, lower jaw longer than upper, posterior end of rictus at same level or slightly ventral to centre of eye. Premaxilla and dentary with many irregularly distributed conical, slightly curved teeth at the outer row of lower and upper jaws. Orbit large, almost entirely in the anterior half of the head, in the dorsal portion of the head side. Branchiostegal membrane projects posteriorly from the operculum. Dorsal-fin origin anterior to anal-fin origin, with both fins originating posterior to mid-length of the body. Overall distal part of dorsal and anal fins rounded, with small contact organs in form of papillae on fin rays and distal margin with short filamentous rays. Posterior tip/margin of dorsal fin reaching caudal-fin base. Pectoral fin subtriangular, insertion at about vertical or slightly posterior to margin of opercular opening, base slightly oblique, with 15–16 rays, upper fin rays placed slightly anteriorly to lower fin rays, tip reaching or slightly overlapping base of pelvic fin. Pelvic fin subabdominal, origin at about mid-length of body, short, bases medially separated, tip reaching urogenital papilla. Caudal fin rounded, with 16–17 branched rays, plus 3 to 4 unbranched, smaller rays at dorsal and ventral origins. Scales cycloid. Body and head entirely scaled, except for the ventral surface of the head. Cephalic squamation pattern variable. Anterior nostril at the anterior tip of the snout, tubular opening lateral to the upper lip. Posterior nostril in front of the orbit, with oblique oval aperture. Frontal neuromast in shallow groove. Cephalic sensory system at supraorbital level in a continuous, slightly curved shallow groove, with five exposed neuromasts, whereas at supratemporal level in a curved groove, with four exposed neuromasts (Figure 8b). Preorbital canal in shallow groove with two exposed neuromasts; postorbital canal in shallow groove with one exposed neuromast; infraorbital series with about twelve small buttons at ventral margin of eye. Mandibular canal is in a shallow groove with a series of small neuromasts, curved to the lateral midline in front. One neuromast is on each scale along the trunk mid-longitudinal series. Females: Smaller than males. Body generally similar but less laterally compressed and slightly more slender than in males (body depth at pelvic fin origin 27.1–28.6% SL vs. 29.0–35.6; head depth 77–82% of its depth vs. 68–74). Anal fin subtriangular, tip rounded, central rays longer and more rigid (vs. anal fin rounded in males). Anal fin positioned more posteriorly than in males (62.3–65.6% SL vs. 57.9–60.5). Dorsal-fin base length smaller than in males (22.2–23.8% SL vs. 25.7–28.0). Branchiostegal membrane not projecting distally (vs. projecting distally in males). No papillae or epidermal tissue present on dorsal and anal fins (vs. both present in males).

Table 12. Morphometric and meristic data of holotype and paratypes of Nothobranchius katemomandai. Holotype values included in ranges, mean and standard deviation of males. H, holotype; SD, standard deviation.

Morphometric and Meristic Characters Males Females
(n = 7) (n = 3)
H Range Mean SD Range Mean SD
Standard length 31.1 30.3–43.2 27–28.8
Percent of standard length
Total length 125.7 121.5–125.7 124.5 1.4 122.6–127.1 124.7 2.3
Body depth at pelvic-fin origin 31.5 29.0–35.6 31.1 2.2 27.1–28.6 27.7 0.8
Head length 32.2 28.9–32.2 30.6 1.3 29.6–32.2 30.6 1.4
Preanal length 59.5 57.9–60.5 59.7 0.9 62.3–65.6 63.9 1.6
Predorsal length 57.6 56.2–59.0 57.6 1.0 58.9–59.7 59.2 0.5
Prepelvic length 47.9 43.5–48.8 46.5 1.8 50.4–51.0 50.7 0.3
Prepectoral length 33.1 29.2–33.1 31.5 1.3 29.6–32.6 31.4 1.6
Caudal peduncle length 20.3 18.3–20.6 19.5 0.8 17.4–20.1 18.7 1.4
Caudal peduncle depth 15.1 13.4–15.1 14.3 0.6 12.6–14.2 13.5 0.8
Dorsal-fin base length 28.0 25.7–28.0 27 0.8 22.2–23.8 23.2 0.9
Anal-fin base length 21.9 21.0–22.9 21.8 0.6 17.7–21.5 19.4 1.9
Caudal-fin length 25.7 21.5–25.7 24.5 1.4 22.6–27.1 24.7 2.3
Percent of head length
Head width 58 58–63 59.6 1.5 58–61 59.5 1.6
Head depth 84 80–88 84.7 2.6 75–76 75.6 0.6
Interorbital width 43 40–46 42.8 1.9 40–44 41.4 2.1
Postorbital length 51 49–51 50.0 1.0 49–52 50.7 1.8
Suborbital depth 22 17–22 18.9 1.9 14–16 15.0 1.3
Eye diameter 31 31–40 35.2 2.7 35–36 35.8 0.5
Snout to eye end length 49 49–52 50.0 1.0 48–51 49.3 1.8
Snout length 19 15–19 18.0 1.8 17–21 18.6 2.3
Other morphometric ratios
Head width in % of its depth 69 68–74 70.4 2.5 77–82 78.7 2.6
Caudal peduncle length in % of its depth 134 131–139 136.3 2.7 138–142 139.2 2.0
Predorsal length in % of preanal length 97 96–98 96.5 0.8 90–95 92.7 2.5
Meristics range mode range mode
Dorsal-fin rays 16 15–17 16 16–18 16
Anal-fin rays 17 15–17 17 16–18 18
Scales mid-longitudinal series 27 26–29 27 27–28 27
Scales transverse 10 10 10 10 10
Scales circumpeduncular 12 12 12 12 12

Figure 10. <em>Nothobranchius katemomandai</em>: (<strong>a</strong>). BE_RMCA_VERT.2025.008.P.0011, holotype, preserved male, 31.1 mm SL; (<strong>b</strong>). live wild-caught male; (<strong>c</strong>). live wild-caught female; (<strong>d</strong>). type locality; DR Congo: Kay system: upper Lualaba drainage: shallow remnant pool in small seasonal riverbed, 0.5 km west of Lubule village, 07°31′47″ S, 27°13′24″ E, 634 m alt.; B. Katemo Manda, 17 April 2023 (field code: CD 23-26). Photographed by B. Nagy (<strong>a</strong>–<strong>c</strong>) and B. Katemo Manda (<strong>d</strong>).
Colouration. Live colouration of males (Figure 10b–c): scales on head and trunk light blue with irregular red-brown posterior margin, forming irregular reticulation and oblique barred pattern on body. Snout, frontal and dorsal portion of head light grey, throat light blue to silver. Posterior scale margins on post-orbital portion of operculum forming two to three red-brown, anteriorly lowering, oblique bars. Exposed part of branchiostegal membrane white. Iris light yellow, with dark grey-black spots, creating a dark ring around the centre of the eye. Dorsal fin yellow to light blue with brown spots, forming in part irregular stipes perpendicular to fin rays, fin tips dark grey. Anal fin base light blue to yellow-blue, occasionally with irregular brown spots proximally, with narrow brown submedial band, followed by a slender yellow band, a slender red-brown band and a slender dark brown distal band. Caudal fin light blue, densely marked with brown spots proximally and medially, with slender white to light blue subdistal band and a narrow dark grey distal band. Pelvic fin transparent brown with yellow and light blue bands medially and distally, and with red-brown dots. Pectoral fin hyaline with blue posterior distal margin. Live colouration of females: scales on trunk and head light brown with narrow dark brown posterior margin, forming reticulated pattern on body. Overall light brown colour of scales, darker on dorsum and lighter to silvery on venter. Blue iridescence on the opercular region and anterior midlateral half of the trunk. Iris yellow. All fins are hyaline. Distribution. Nothobranchius katemomandai is endemic to seasonal freshwater habitats of the upper Congo drainage in south-eastern DR Congo. It is currently known from remnant pools in small ephemeral riverbeds associated with the Kay system in the upper Lualaba drainage (Figure 9). The Kay is a major right bank affluent entering the upper Lualaba below Lake Upemba. Ecology and biology. The area of the upper Lualaba experiences a mean annual rainfall of around 1000 mm, with December the wettest month. In the Upemba System, the waters of the Lualaba are high from February-April and low from August to October [83]. The dry season lasts for around 160 days. At the type locality, N. katemomandai was the only Nothobranchius species observed. The accompanying fish fauna consisted of the non-annual ‘Lacustricola’. The type locality on 17 April 2023 was a remnant pool formed in the riverbed of the seasonal Lubule River (Figure 10d). The habitat was 10–15 m in diameter, about 1 m deep at its deepest point, and connected to the 1–2 m large shallow seasonal riverbed. The edges of both the pool and the ephemeral riverbed were overgrown by grass. The water was turbid. The water temperature around noon was 27.3 °C, the pH was 7.2, and it contained 120 ppm of total dissolved solids. The habitat belongs to category 1.4.1 as defined by Watters (2015a), representing a remnant pool in a seasonal stream system on a floodplain. Water parameters, measured by B. Katemo Manda at five different sites in the Kay system, where the existence of N. katemomandai has been proven, showed average values of: temperature of 28 °C; pH of 6.4; total dissolved solids of 36 ppm. Aquarium maintenance of selected specimens was undertaken for observation of breeding behaviour and biology. Nothobranchius katemomandai has an annual mode of reproduction, the same as all of its known congeners. Under captive conditions, peat moss was used successfully as an artificial spawning substrate. A plastic container with the substrate was placed in the aquarium and removed after a period of two weeks, and dried to a slightly moist state. An embryonic development period of four to five months was observed at about 22–24 °C. Eggs are slightly oval, measuring 1.21 mm long and 1.13 mm wide on average (n = 10), with short adhesive filaments of up to 40 µm on the chorion, slightly attaching the eggs to the substrate. Conservation status. Nothobranchius katemomandai is recommended to be assessed as Vulnerable. The species is currently known only from the area of the type locality, several sites in the Kay system of the Lualaba drainage. It might exist at some other sites within the drainage system of the upper Lualaba River, but its distribution will remain restricted, and any potential additional subpopulations are expected to be fragmented and not necessarily in contact with each other. The entire drainage area of the Kay system has an extent of 1142 km2, and the species is expected to be found from a maximum of ten threat-based locations. Some of the known sites at present, including the type locality, are directly adjacent to human populations. There is an expansion of agriculture in seasonal wetland habitats of the known distribution area and, consequently, an increase in anthropogenic pressures on land and water use. Using IUCN (2012) principles [86], N. katemomandai meets the criteria B1ab(iii) for Vulnerable, considering the drainage area as maximum EOO and the number of estimated maximum threat-based locations, as well as the risk of continuous decline of the known wetland habitats in which it is known to live. There are currently no conservation or protection measures in place for this species. Additionally, it is unknown whether any protected areas would partially encompass its known distribution. Therefore, habitat protection is needed at the type locality and other sites within the Kay system where the species has been recorded. Further field surveys should target additional suitable habitats within the drainage area to document the full geographic range of the species more accurately. This would help in developing appropriate conservation strategies. Etymology. The specific epithet is given in honour of friend Bauchet Katemo Manda, professor at the University of Lubumbashi, the discoverer of this species, for his dedication to the research of the ichthyofauna of the Democratic Republic of Congo. The exciting adventures and numerous challenges faced during joint research expeditions will always remain vivid memories. 3.3.3. Nothobranchius marmoreus, New Species http://zoobank.org/urn:lsid:zoobank.org:act: AE267C54-9106-4BCA-A793-3D205C5ECF42 Nothobranchius spec. ‘Mokobe’: van der Merwe et al. 2021: 10 [36]. Nothobranchius spec. ‘Mukobe’: Nagy 2024b: 75 [82]. Holotype. BE_RMCA_VERT.2025.008.P.0021, male, 36.3 mm SL; DR Congo: Lake Mweru basin: Lufukwe system: ephemeral pool in the floodplain of the seasonal river, 1.5 km west of Mukobe village, 09°41′32.9″ S, 28°12′42.5″ E, 962 m alt.; B. Nagy, A. Chocha Manda & A. Kalumba, 12 April 2023 [field code: CD 23-9]. Paratypes. BE_RMCA_VERT.2025.008.P.0022–0027, 3 males, 34.2–41.2 mm SL & 3 females, 31.4–33.9 mm SL; collected with the holotype. — BE_RMCA_VERT.2025.008.P.0028–0030, 2 males, 35.1–36.7 mm SL & 1 female, 31.7 mm SL; same locality; B. Nagy, A. Chocha Manda & G. Petneházy, 10 April 2016 [field code: CD 16-12]. Diagnosis. Nothobranchius marmoreus is distinguished from all other species of the genus by the unique combination in male colouration of having a body with irregular red-brown patches and stripes, forming a marble-like mottled pattern; and anal and caudal fins with slender yellow to amber subdistal band and broad dark brown distal band. Further, N. marmoreus is distinguished from most closely related N. ditte by smaller head depth (80–84% HL vs. 87–94); and greater caudal peduncle length (152–159 in % of its depth vs. 130–140); from N. malaissei by smaller head length (25.5–30.9% SL vs. 32.7–35.4); and greater caudal peduncle length (152–159 in % of its depth vs. 124–131); and from N. milvertzi by smaller prepelvic length (45.5–46.7% SL vs. 46.9–50.8); and smaller head width (65.5–72.9 in % of its depth vs. 73.5–82.6). Description. General body features are illustrated in Figure 11. Morphometric and meristic characters of holotype and paratypes are summarised in Table 13. A medium sized Nothobranchius species (maximum observed size: 41.2 mm SL in males and 33.9 mm SL in females). Males: General body shape is robust, laterally compressed, and deep. Greatest body depth at vertical in front of pelvic-fin origin. Greatest body width at pectoral-fin base, with body progressively narrowing towards caudal-fin base. Dorsal profile slightly concave to straight from tip of snout to nape and convex to base of last dorsal-fin ray, straight to slightly concave on caudal peduncle. Ventral profile convex from lower jaw to base of last anal-fin ray, straight to slightly concave on caudal peduncle. Caudal peduncle shallow, length 1.5–1.6 times its depth. Anus situated directly in front of anal-fin origin.
Figure 11. <em>Nothobranchius marmoreus</em>: (<strong>a</strong>). BE_RMCA_VERT.2025.008.P.0021, holotype, preserved male, 36.3 mm SL; (<strong>b</strong>). live wild-caught male; (<strong>c</strong>). live wild-caught female; (<strong>d</strong>). type locality; DR Congo: Lake Mweru basin: Lufukwe system: ephemeral pool in the floodplain of the seasonal river, 1.5 km west of Mukobe village, 09°41′32.9″ S, 28°12′42.5″ E, 962 m alt.; B. Nagy, A. Chocha Manda &amp; A. Kalumba, 12 April 2023 [field code: CD 23-9]. Photographed by B. Nagy.

Table 13. Morphometric and meristic data of holotype and paratypes of Nothobranchius marmoreus. Holotype values included in ranges, mean and standard deviation of males. H, holotype; SD, standard deviation.

Morphometric and Meristic Characters Males Females
(n = 6) (n = 4)
H Range Mean SD Range Mean SD
Standard length 36.3 32.6–41.2 31.4–33.9
Percent of standard length
Total length 125.6 120.2–125.6 123.2 1.8 119.2–124.5 122.4 2.4
Body depth at pelvic–fin origin 30.0 26.7–32.0 28.3 2.2 24.5–27.4 25.5 1.3
Head length 30.9 25.5–30.9 29.4 2.0 28.7–32.5 31.0 1.6
Preanal length 56.5 56.1–59.1 57.3 1.0 59.6–64.4 62.1 2.0
Predorsal length 55.9 54.2–58.2 56.2 1.4 56.7–61.9 59.0 2.2
Prepelvic length 45.5 45.5–46.7 46.1 0.5 44.2–50.2 47.3 2.7
Prepectoral length 31.1 25.7–31.1 29.7 2.1 28.7–33.7 31.8 2.2
Caudal peduncle length 19.3 19.3–20.9 20.0 0.6 19.8–22.3 20.7 1.2
Caudal peduncle depth 12.1 12.1–13.6 12.8 0.5 10.3–11.8 11.0 0.6
Dorsal–fin base length 26.4 23.9–29.9 26.5 2.5 21.7–23.9 23.1 1.0
Anal–fin base length 22.9 21.6–24.0 22.7 1.0 18.5–19.5 19.0 0.4
Caudal–fin length 25.6 20.2–25.6 23.2 1.8 19.2–24.5 22.4 2.4
Percent of head length
Head width 56 55–59 56.4 1.5 53–58 54.7 2.2
Head depth 83 80–84 82.2 1.3 68–72 70.2 1.8
Interorbital width 42 41–45 43.4 1.9 40–47 42.5 2.9
Postorbital length 49 49–56 51.5 2.7 51–56 53.5 2.7
Suborbital depth 14 14–17 15.8 1.3 12–17 14.4 2.2
Eye diameter 38 33–38 35.0 2.0 31–33 32.2 0.6
Snout to eye end length 51 44–51 48.5 2.7 44–49 46.5 2.7
Snout length 17 15–20 17.4 1.9 13–19 16.3 2.6
Other morphometric ratios
Head width in % of its depth 68 66–73 68.7 2.7 76–81 78.0 2.7
Caudal peduncle length in % of its depth 159 152–159 155.5 2.8 185–191 188.7 2.5
Predorsal length in % of preanal length 99 97–100 98.1 1.3 94–96 95.0 0.9
Meristics range mode range mode
Dorsal–fin rays 17 15–17 17 16–17 17
Anal–fin rays 17 16–19 17 17–19 17
Scales mid–longitudinal series 29 28–30 29 28–29 28
Scales transverse 11 10–11 11 10–11 10
Scales circumpeduncular 12 12–14 12 10 10

Head short, laterally compressed, deeper than wide. Snout slightly pointed, smaller than eye diameter. Mouth supraterminal, slightly oblique in profile. Jaws subequal, lower jaw longer than upper, posterior end of rictus at same level or slightly ventral to centre of eye. Premaxilla and dentary with many irregularly distributed conical, slightly curved teeth in the outer row of lower and upper jaws. Orbit large, almost entirely in the anterior half of the head, in the dorsal portion of the head side. Branchiostegal membrane projects posteriorly from the operculum. Dorsal-fin origin anterior to anal-fin origin, with both fins originating posterior to mid-length of body. Overall distal part of dorsal and anal fins rounded, with small contact organs in form of papillae on fin rays and distal margin with short filamentous rays. Posterior tip/margin of dorsal fin reaching caudal-fin base. Pectoral fin subtriangular, insertion at about vertical or slightly posterior to margin of opercular opening, base slightly oblique, with 18–19 rays, upper fin rays placed slightly anteriorly to lower fin rays, tip reaching or slightly overlapping base of pelvic fin. Pelvic fin subabdominal, origin at about mid-length of body, short, bases medially separated, tip reaching urogenital papilla. Caudal fin rounded, with 17–18 branched rays, plus 3 to 4 unbranched smaller rays at dorsal and ventral origins. Scales cycloid. Body and head entirely scaled, except for the ventral surface of the head. Cephalic squamation pattern variable. Anterior nostril at the anterior tip of the snout, tubular opening lateral to the upper lip. Posterior nostril in front of the orbit, with oblique oval aperture. Frontal neuromast in shallow groove. Cephalic sensory system at supraorbital level in a shallow groove fragmented into two portions, with two and three exposed neuromasts, respectively, whereas at the supratemporal level, it is in a curved groove, with four exposed neuromasts (Figure 8c). Preorbital canal in shallow groove with three to four exposed neuromasts; postorbital canal in shallow groove with one exposed neuromast; infraorbital series with about twelve small buttons at ventral margin of eye. Mandibular canal is in a shallow groove with a series of small neuromasts, curved to the lateral midline in front. One neuromast is located on each scale along the mid-longitudinal series of the trunk. Females: Smaller than males. Body generally similar but somewhat less laterally compressed and slightly more slender than in males: head width greater (76–81% of its depth vs. 66–73), caudal peduncle more slender 185–191% of its depth vs. 152–159. Anal fin subtriangular, tip rounded, central rays longer and more rigid (vs. anal fin rounded in males). Dorsal-fin and anal-fin base lengths are smaller than in males (21.7–23.9% SL vs. 24.0–29.9, 18.5–19.5% SL vs. 21.6–24.0, respectively). Branchiostegal membrane not projecting distally (vs. projecting distally in males). No papillae or epidermal tissue present on dorsal and anal fins (vs. both present in males). Colouration. Live colouration of males (Figure 11b): scales on head and trunk light green-blue to silver with irregular red-brown posterior margin, forming irregular marble-like patches and striped pattern on body. Snout, frontal and dorsal portion of head red-brown, throat light green-blue to silver. Posterior scale margins on post-orbital portion of operculum creating three red-brown, oblique, and vertical bars. Exposed part of branchiostegal membrane silver. Iris light yellow, with dark grey-black spots, especially on upper and lower-most parts, creating a dark vertical bar through the centre of the eye. Dorsal fin yellow to light green-blue with irregular red-brown stripes, perpendicular to fin rays proximally, parallel to fin rays medially and distally, fin tips with narrow dark brown distal band. Anal fin yellow to light green-blue, with irregular red-brown spots proximally, followed by a slender red-brown submedial band, a yellow to amber medial band and a broad dark brown distal band. Caudal fin base yellow to light green-blue, with irregular red-brown spots proximally, merging into a broad red-brown band medially, followed by an irregular narrow yellow to amber subdistal band and a broad dark brown distal band. Pelvic fin yellow to light green-blue, with red-brown proximal band and dark brown distal band. Pectoral fin hyaline with blue posterior distal margin. Live colouration of females (Figure 11c): scales on trunk and head light brown with narrow dark grey posterior margin, forming a slightly visible reticulated pattern on body. Overall light brown colour of scales darker on dorsum and lighter to silvery on venter. Blue iridescence on the opercular region and on the trunk. Iris yellow. All fins are hyaline. Distribution. Nothobranchius marmoreus is endemic to seasonal freshwater habitats of the upper Congo drainage in south-eastern DR Congo. It is currently known only from the type locality, a remnant pool associated with the Lufukwe system in the Lake Mweru basin (Figure 9). The Lufukwe is an affluent entering the lake from a south-western direction. Ecology and biology. The area of the southern Lake Mweru basin experiences a mean annual rainfall of 1020–1120 mm [83]. The waters are the highest during the rainy season and, from March to May and driest between September and January [83,84]. At the type locality, N. marmoreus was the only Nothobranchius species observed. The type locality on 12 April 2023 was a large ephemeral pool formed in the floodplain of the seasonal Lufukwe River (Figure 11d). The habitat was 25–30 m in diameter, about 1.5 m deep at its deepest point. Shallower parts and edges of the pool were overgrown by grass. The water was turbid. The water temperature late morning was 24.0 °C, the pH was 7.4, and it contained 35 ppm of total dissolved solids. Water parameters, measured at the same location during the previous visit of 10 April 2016, showed the following values of: temperature of 27.8 °C in mid-afternoon; pH of 7.36; total dissolved solids of 42 ppm. The habitat primarily belongs to category 1.2 as defined by Watters (2015a) [85], representing a pool and flooded grassy area on a floodplain. However, the habitat also shows the influence of human activity: the pool lies where the road crosses the seasonal floodplain, and the natural pool has been excavated to make it larger and prevent flooding on the road. Therefore, the habitat falls into the secondary category of 2.1, modified by human activities related to road construction. Aquarium maintenance of selected specimens was undertaken for observation of breeding behaviour and biology. Nothobranchius marmoreus has an annual mode of reproduction, the same as all of its known congeners. Under captive conditions, peat moss has been successfully used as an artificial spawning substrate. A plastic container with the substrate was placed in the aquarium and removed after a period of two weeks. It was then dried to a slightly moist state. An embryonic development period of three to four months was observed at about 22–24 °C. Eggs are slightly oval, measuring 1.26 mm long and 1.21 mm wide on average (n = 10), with short adhesive filaments of 40–90 µm on chorion, slightly attaching the eggs to the substrate. Conservation status. Nothobranchius marmoreus is recommended to be assessed as Endangered. The species is currently known only from the type locality, a site situated in the Lufukwe system in the Lake Mweru basin. It might exist at some other sites within the drainage system of the Lufukwe, but its distribution will remain restricted, and any potential additional subpopulations are expected to be fragmented and have little or no contact with each other. The species is expected to be confined to ephemeral wetlands within the Lufukwe system, which has a drainage area of 559 km2, representing the maximum estimated extent of occurrence. Its area of occupancy is estimated to be less than 100 km2, with a likely maximum of five threat-based locations. The type locality, currently the only known site for the species, is located in close proximity to a human population. Phases in the seasonal life cycle of this species underscore the vulnerabilities of the ecological processes in the ephemeral habitats, as the survival of the species is dependent on suitable conditions during both dry and wet seasons. The author observed the expansion of agriculture in the general area and, consequently, increasing anthropogenic pressures on the land and water use. The resultant habitat changes are likely to modify the habitats in ways that render them unsuitable and thus degraded when considering their support of the seasonal life cycle of the species, and thus represent an important extinction risk. Further, the natural habitat at the type locality has been altered by the local human population through excavation to retain water for longer periods. This modification affects the natural rhythm and duration of the dry and wet seasons in the biotope. Additionally, specimens collected from the type locality during a first visit in 2016 have exhibited clinical signs, such as lesions suggestive of infection with Aphanomyces spp, and the fish were in a generally weak condition, with mortality within a few hours after capture. Using IUCN (2012) principles [86], N. marmoreus meets the criteria B1ab(iii)+2ab(iii) for Endangered, considering upper estimates of the EOO, AOO, and number of locations, as well as the risk of continuous decline of the known wetland habitats in which it is known to live. There is currently no conservation or protection measure in place for this species. Additionally, its only known locality is not part of any protected area. Therefore, habitat protection is needed at the type locality. Further field surveys should target additional suitable habitats within the drainage area to document the full geographic range of the species more accurately. This would help in developing appropriate conservation strategies. Etymology. The specific epithet marmoreus is a Latin adjective deriving from the ancient Greek word marmaros (μάρμαρος) in the meaning of resembling marble, marblelike, and in reference to the irregularly mottled marbled colour pattern on the body of the males. 3.3.4. Nothobranchius dubieensis, New Species http://zoobank.org/urn:lsid:zoobank.org:act: DF33ED09-C5E6-499B-A478-7BEFC2732115 Holotype. BE_RMCA_VERT.2025.008.P.0031, male, 40.6 mm SL; DR Congo: Tambe stream: Lubule system: Luvua drainage: shallow remnant pool in small seasonal riverbed, 5.5 km west of Dubie village, 08°35′31″ S, 28°28′51″ E, 987 m alt.; A. Kalumba, 20 May 2023 (field code: CD 23-29). Paratypes. BE_RMCA_VERT.2025.008.P.0032–0038, 4 males, 35.2–41.4 mm SL & 3 females, 29.5–37.2 mm SL; collected with the holotype. Diagnosis. Nothobranchius dubieensis is distinguished from all other species of the genus by the unique combination in male colouration of having anal fin with narrow dark brown submedial band, narrow yellow and orange medial bands, narrow white subdistal band, and slender dark brown distal band; and caudal fin with irregular red-brown spots and stripes proximally and medially, followed by irregular narrow red-brown subdistal band and slender white distal band, with interrupted red-brown fin tips. Further, N. dubieensis is distinguished from the most closely related N. oestergaardi by greater body depth (31.9–35.5% SL vs. 28.0–31.5); smaller snout length (14–16% HL 21–31); and smaller caudal peduncle length (119–125 in % of its depth vs. 125–140). Description. General body features are illustrated in Figure 12. Morphometric and meristic characters of holotype and paratypes are summarised in Table 14. A medium sized Nothobranchius species (maximum observed size: 41.4 mm SL in males and 37.2 mm SL in females).
Figure 12. <em>Nothobranchius dubieensis</em>: (<strong>a</strong>). BE_RMCA_VERT.2025.008.P.0031, holotype, preserved male, 36.3 mm SL; (<strong>b</strong>,<strong>c</strong>). wild male photographed after capture; (<strong>d</strong>). type locality; DR Congo: Tambe stream: Lubule system: Luvua drainage: shallow remnant pool in small seasonal riverbed, 5.5 km west of Dubie village, 08°35′31″ S, 28°28′51″ E, 987 m alt.; A. Kalumba, 20 May 2023 (field code: CD 23-29). Photographed by B. Nagy (<strong>a</strong>) and A. Kalumba (<strong>b</strong>–<strong>d</strong>).
Males: General body shape is robust, laterally compressed, and deep. Greatest body depth at vertical in front of pelvic-fin origin. Greatest body width at pectoral-fin base, with body progressively narrowing towards caudal-fin base. Dorsal profile slightly concave to straight from tip of snout to nape and convex to base of last dorsal-fin ray, straight to slightly concave on caudal peduncle. Ventral profile convex from lower jaw to base of last anal-fin ray, straight to slightly concave on caudal peduncle. Caudal peduncle shallow, length 1.2–1.3 times its depth. Anus situated directly in front of anal-fin origin. Head short, laterally compressed, deeper than wide. Snout slightly pointed, smaller than eye diameter. Mouth supraterminal, slightly oblique in profile. Jaws subequal, lower jaw longer than upper, posterior end of rictus at same level or slightly ventral to centre of eye. Premaxilla and dentary with many irregularly distributed conical, slightly curved teeth in the outer row of lower and upper jaws. Orbit large, in the anterior half of the head, in the dorsal portion of the head side. Branchiostegal membrane projects posteriorly from operculum.

Table 14. Morphometric and meristic data of holotype and paratypes of Nothobranchius dubieensis. Holotype values included in ranges, mean and standard deviation of males. H, holotype; SD, standard deviation.

Morphometric and Meristic Characters Males Females
(n = 5) (n = 3)
H Range Mean SD Range Mean SD
Standard length 40.6 35.2–41.4 29.5–37.2
Percent of standard length
Total length 123.2 120.5–125.4 123.4 1.9 122.8–128.5 125.3 2.9
Body depth at pelvic-fin origin 32.5 31.9–35.5 33.5 1.7 27.9–29.8 28.6 1.0
Head length 31.8 30.9–32.4 31.7 0.7 29.2–30.4 29.8 0.6
Preanal length 65.0 59.7–65.6 63.4 2.3 65.3–67.8 66.6 1.2
Predorsal length 61.1 58.5–64.5 61.3 2.2 62.1–65.8 64.3 2.0
Prepelvic length 48.3 47.0–51.0 49.1 1.5 50.8–53.0 51.9 1.1
Prepectoral length 34.2 31.9–34.2 32.9 1.0 29.8–31.5 30.5 0.8
Caudal peduncle length 18.2 17.1–19.1 18.2 0.7 17.3–19.1 18.3 0.9
Caudal peduncle depth 15.3 13.7–16.1 15.0 0.9 11.9–12.6 12.3 0.4
Dorsal-fin base length 23.6 23.6–28.4 25.9 2.0 18.4–23.7 21.6 2.8
Anal-fin base length 17.5 17.5–23.7 19.8 2.4 15.0–16.4 15.8 0.7
Caudal-fin length 23.2 20.5–25.4 23.4 1.9 22.8–28.5 25.3 2.9
Percent of head length
Head width 62 62–66 63.3 1.5 57–63 60.5 2.9
Head depth 95 90–96 92.6 2.4 76–78 77.2 1.1
Interorbital width 43 43–48 46.2 1.8 44–48 45.8 1.7
Postorbital length 58 56–59 57.3 1.1 56–60 57.3 2.5
Suborbital depth 16 13–18 15.8 1.9 11–15 12.9 2.1
Eye diameter 28 28–34 30.2 2.2 30–35 31.9 3.0
Snout to eye end length 42 42–44 42.7 1.1 40–44 42.7 2.5
Snout length 16 14–16 14.8 0.6 11–15 12.6 2.1
Other morphometric ratios
Head width in % of its depth 66 66–71 68.3 1.9 75–81 78.4 3.0
Caudal peduncle length in % of its depth 119 119–125 121.6 3.0 146–151 147.8 2.9
Predorsal length in % of preanal length 94 94–98 96.8 1.8 95–98 96.7 1.5
Meristics range mode range mode
Dorsal-fin rays 15 15–16 15 15–16 16
Anal-fin rays 16 16–17 16 16–17 16
Scales mid-longitudinal series 30 28–30 29 28–29 29
Scales transverse 10 10–11 11 11 11
Scales circumpeduncular 10 10–12 12 12 12

Dorsal-fin origin anterior to anal-fin origin, with both fins originating posterior to mid-length of the body. Overall distal part of dorsal and anal fins rounded, with small contact organs in form of papillae on fin rays and distal margin with short filamentous rays. Posterior tip/margin of dorsal fin reaching caudal-fin base. Pectoral fin subtriangular, insertion at about vertical or slightly posterior to margin of opercular opening, base slightly oblique, with 18–19 rays, upper fin rays placed slightly anteriorly to lower fin rays, tip reaching or slightly overlapping base of pelvic fin. Pelvic fin subabdominal, origin at about mid-length of body, short, bases medially separated, tip reaching urogenital papilla. Caudal fin rounded, with 17–18 branched rays, plus 3 to 4 unbranched smaller rays at dorsal and ventral origins. Scales cycloid. Body and head entirely scaled, except for the ventral surface of the head. Cephalic squamation pattern variable. Anterior nostril at the anterior tip of the snout, tubular opening lateral to the upper lip. Posterior nostril in front of the orbit, with oblique oval aperture. Frontal neuromast in shallow groove. Cephalic sensory system at supraorbital level in a shallow groove fragmented into two portions, with two and three exposed neuromasts, respectively, whereas at supratemporal level in a curved groove, with four exposed neuromasts (Figure 8d). Preorbital canal in shallow groove with two to three exposed neuromasts; postorbital canal in shallow groove with one exposed neuromast; infraorbital series not visible on most specimens. Mandibular canal in a shallow groove with a series of about a dozen small buttons, curved to the lateral midline in front. One neuromast is on each scale along the trunk mid-longitudinal series. Females: Smaller than males. Body generally similar but less laterally compressed and slightly more slender than in males (body depth at pelvic fin origin 27.9–29.8% SL vs. 31.9–35.5 in males; head width 75–81% of its depth vs. 66–71; caudal peduncle length 146–151% of its depth vs. 119–125). Head length is smaller than in males, with 29.2–30.4% SL vs. 30.9–32.4. Anal fin subtriangular, tip rounded, central rays longer and more rigid (vs. anal fin rounded in males). Anal-fin base length smaller than in males (15.0–16.4% SL vs. 17.5–23.7). Branchiostegal membrane not projecting distally (vs. projecting distally in males). No papillae or epidermal tissue present on dorsal and anal fins (vs. both present in males). Colouration. Live colouration of males (Figure 12c): scales on head and trunk light blue with red-brown posterior margin, forming irregular vertical, curved line pattern on body. Snout, frontal and dorsal portion of head red-brown to grey, throat light grey. Posterior scale margins on post-orbital portion of operculum create three red-brown, anteriorly lowering, oblique bars. Exposed part of branchiostegal membrane light blue. Iris light yellow, with dark grey-black spots, especially on upper and lower-most parts, creating a dark vertical bar through centre of eye. Dorsal fin light blue to light yellow with irregular red-brown stripes, perpendicular to fin rays proximally, parallel to fin rays medially and distally. Anal fin light blue, with irregular red-brown spots proximally, followed by narrow dark brown submedial band, narrow yellow and narrow orange medial bands, narrow white subdistal band, and slender dark brown distal band. Caudal fin light blue to yellow, with irregular red-brown spots and stripes proximally and medially, followed by irregular narrow red-brown subdistal band and slender white distal band, with interrupted red-brown fin tips. Pelvic fin with yellow and orange bands. Pectoral fin hyaline with blue posterior distal margin. Females: scales on trunk and head light brown with narrow dark brown posterior margin, forming a slightly visible reticulated pattern on the body. Overall light brown colour of scales, darker on dorsum and lighter to silvery on venter. Blue iridescence on the opercular region and anterior midlateral half of the trunk. Iris yellow. All fins are hyaline. Distribution. Nothobranchius dubieensis is endemic to seasonal freshwater habitats of the upper Congo drainage in south-eastern DR Congo. It is currently known from ephemeral marshes and ponds associated with the Lubule system in the Luvua drainage (Figure 9). The Lubule is a left affluent entering the Luvua from the southern direction. Ecology. The area around the Lake Mweru basin experiences a mean annual rainfall of 1020–1120 mm [83]. The waters are the highest during the rainy season and this from March to May, and driest between September and January [83,84]. At the type locality, N. dubieensis was the only Nothobranchius species observed. The accompanying fish fauna consisted of non-annual ‘Lacustricola’ species. The type locality on 20 May 2023 was a remnant, culvert-like pool, connecting to an ephemeral riverbed and a large swampy area, as part of the Tambe stream in the seasonal Lubule system (Figure 12d). The habitat was about 10 m long and 1 m wide, and about 50 cm deep at its deepest point. The edges of the biotope were overgrown by grass. The water was turbid, but the bottom was visible in shallower, undisturbed parts. The habitat principally belongs to category 1.2 as defined by Watters (2015a) [85], representing a pool and flooded grassy area on a floodplain. The habitat is close to human population, and the anthropogenic impact is evident, as there are fish trap constructions in the biotope and trash left behind in the biotope. Conservation status. Nothobranchius dubieensis is recommended to be assessed as Vulnerable. The species is currently known only from the area of the type locality, several sites in the Lubule system of the Luvua drainage. It might exist at some other sites within the drainage system of the Luvua, but its distribution will remain restricted, and any potential additional subpopulations are expected to be fragmented and not necessarily in contact with each other. The area of the Lubule system where the species is found measures about 3600 km2, which is expected to be the maximum extent of occurrence. It is expected to inhabit a maximum of ten threat-based locations. Presently known sites, including the type locality, are directly adjacent to human populations. There is an expansion of agricultural seasonal wetland habitats in the known distribution area, and consequently, an increase in anthropogenic pressures on land and water use. Using IUCN (2012) principles [86], N. dubieensis meets the criteria B1ab(iii) for Vulnerable, considering upper estimates of the EOO and number of threat-based locations, as well as the risk of continuous decline of the known wetland habitats in which it is known to live. There are currently no conservation or protection measures in place for this species. Additionally, it is not known if any protected areas would partly encompass its known distribution. Therefore, habitat protection is needed at the type locality and other sites within the Lubule system where the species has been recorded. Further field surveys should target additional suitable habitats within the drainage area to document the full geographic range of the species more accurately. This would help in developing appropriate conservation strategies. Etymology. The specific name is given in reference to Dubie township in south-eastern DR Congo, near which place this species is found, and the type locality is situated. An adjective derived from the geographical name. 3.3.5. ‘Lacustricola’ gemma, New Species http://zoobank.org/urn:lsid:zoobank.org:act: 5C225ABD-CE65-4450-B8F8-041415B5A95E Holotype. BE_RMCA_VERT.2025.008.P.0039, male, 22.5 mm SL; DR Congo: Kay system: upper Lualaba drainage: shallow remnant pool in small seasonal riverbed, 0.5 km west of Lubule village, 07°31′47″ S, 27°13′24″ E; B. Katemo Manda, 17 April 2023 (field code: CD 23-26). Paratypes. BE_RMCA_VERT.2025.008.P.0040–0043, male, 23.0 mm SL & 3 females, 20.7–22.4 mm SL; collected with the holotype. — BE_RMCA_VERT.2025.008.P.0044, male, 16.8 mm SL; DR Congo: Kay system: upper Lualaba drainage: Lake Bowe, 07°40′53″ S, 27°08′46″ E; B. Katemo Manda, 17 December 2022. Diagnosis. ‘Lacustricola’ gemma is distinguished from all other species of the genus by the unique combination in live colouration: in males, a pattern of iridescent, diamond-shaped, light blue spots in scale centres, especially evident below mid-longitudinal series on posteroventral portion of flank, and larger iridescent blue blotches on dorsum, creating an irregular reflective pattern on body; median fins yellow to hyaline, dorsal and anal fins with six to eight dark grey stripes perpendicular to fin rays basally and posteriorly, with light blue iridescence basally; dorsal with light blue distinct margin; anal with dark grey margin; caudal fin with four to five dark grey stripes perpendicular to fin rays; as well as in females, dorsal and anal fins hyaline with irregular brown stripes, fin tips with narrow light blue margin, caudal hyaline without markings. Further, ‘Lacustricola’ gemma is distinguished from both ‘L.’ hutereaui and ‘L.’ chobensis by the following morphometric characters in males: body depth at pelvic-fin origin 25.6–27.4 (vs. 21.1–24.1 and 30.0–32.3, respectively); anal-fin base length 18.7–19.6 (vs. 14.2–17.1 and 20.7–25.2); smaller head depth 79–83 (vs. 86–91 and 86–90); greater head width in % of its depth 83–87 (vs. 76–83 and 70–74); and caudal peduncle length in % of its depth 111–114 (vs. 150–156 and 98–105). Description. General body features are illustrated in Figure 13. Morphometric and meristic characters of holotype and paratypes are summarised in Table 15. Males: general body shape laterally compressed and moderately deep. Small species, maximum observed size 23.0 mm SL. Greatest vertical body depth in front of pelvic-fin origin and shallowest at mid-portion of caudal peduncle. Greatest body width at pectoral-fin base, with body progressively narrowing towards caudal-fin base. Dorsal profile slightly convex from snout to base of dorsal fin and straight to slightly concave from base of dorsal fin to caudal fin. Ventral profile convex from lower jaw to base of last anal-fin ray, straight to slightly concave on ventral midline of caudal peduncle. Caudal peduncle relatively deep, length 111–114 in % of its depth. Anus directly in front of anal-fin origin. Head short, laterally compressed, deeper than wide (head width 83–87 in % of its depth). Snout rounded, smaller than eye diameter. Mouth superior, oblique in profile. Jaws not equal, lower jaw longer than upper, posterior end of corner of mouth at the same level as the centre of eye. Premaxilla and dentary with many irregularly distributed conical teeth. Orbit large (38–41% HL). Dorsal fin set rearwards, origin posterior to anal-fin origin, both fins originating posterior to mid-length of body. Dorsal and anal fins rounded. Dorsal fin, 9; anal fin, 13–14. Pectoral fin subtriangular, insertion relatively high and posterior to margin of opercular opening; base oblique, upper fin rays placed anteriorly to lower fin rays, 10–11 rays. Pelvic fin sub-abdominal; its origin slightly posterior to mid-length between insertions of pectoral and anal fins, almost reaching origin of anal fin. Caudal fin large and truncate, with 14–15 branched rays, plus five or six dorsal and ventral procurrent rays. Scales cycloid, body and head entirely scaled, except for the ventral surface of the head. Scales in mid-longitudinal series, 20–23, plus two or three small scales on caudal-fin base. Transverse rows of scales in front of dorsal-fin origin, 6; scale rows around caudal peduncle, 10.
Figure 13. ‘<i>Lacustricola</i>’ gemma: (<b>a</b>). BE_RMCA_VERT.2025.008.P.0039, holotype, preserved male, 22.5 mm SL; (<b>b</b>). holotype live male; (<b>c</b>). live wild-caught female; (<b>d</b>). type locality; DR Congo: Kay system: upper Lualaba drainage: shallow remnant pool in small seasonal riverbed, 0.5 km west of Lubule village, 07°31′47″ S, 27°13′24″ E, 634 m alt.; B. Katemo Manda, 17 April 2023 (field code: CD 23-26). Photographed by B. Nagy (<b>a</b>–<b>c</b>) and B. Katemo Manda (<b>d</b>).
Two frontal neuromasts in a shallow groove. Cephalic sensory system at preorbital level in two discontinuous shallow grooves, with one and two neuromasts, respectively; infraorbital series with about a dozen small buttons; postorbital canal tubular with two pores; preopercular sensory systems tubular with seven pores (Figure 14a). Cephalic sensory system at supraorbital level in a short groove, with two neuromasts; whereas at supratemporal level, two to three exposed neuromasts (Figure 14b). Mandibular level with three to four exposed neuromasts parallel to the outer margin of lower jaw (Figure 14c). Females: Body depth smaller than in males (27.6–29.5% SL vs. 25.6–27.4; head less laterally compressed than in males (head width 87–91% of its depth vs. 83–87); preanal, predorsal and prepelvic lengths greater than in male (63.8–64.7% SL vs. 59.1–62.2; 70.0–71.5% SL vs. 66.1–69.3; and 44.7–48.8% SL vs. 41.7–44.0); anal-fin base length smaller than in male (15.5–16.6% SL vs. 18.7–19.6); and caudal peduncle shallower than in males (caudal peduncle depth 15.2–16.4% SL vs. 16.7–17.4; caudal peduncle length 120–124% of its depth vs. 111–114).
Figure 14. Diagrammatic representation of the cephalic sensory system in ‘<i>Lacustricola</i>’ <i>gemma</i>; BE_RMCA_VERT.2025.008.P.0039, holotype, male, 22.5 mm SL; (<b>a</b>). lateral view of head; (<b>b</b>). dorsal view of head; (<b>c</b>). ventral view of head.

Table 15. Morphometric and meristic data of holotype and paratypes of ‘Lacustricola gemma. Holotype values included in ranges, mean and standard deviation of males. H, holotype; SD, standard deviation.

Morphometric and Meristic Characters Males Females
(n = 3) (n = 3)
H Range Mean SD Range Mean SD
Standard length 22.5 16.8–23.0 20.7–22.4
Percent of standard length
Total length 133.3 129.6–133.3 130.9 2.1 130.4–133.8 132.4 1.8
Body depth at pelvic-fin origin 26.7 25.6–27.4 26.6 0.9 27.6–29.5 28.3 1.0
Head length 28.0 24.3–28.0 25.8 1.9 25.3–29.0 26.7 2.0
Preanal length 62.2 59.1–62.2 60.7 1.5 63.8–64.7 64.2 0.5
Predorsal length 69.3 66.1–69.3 67.5 1.7 70.0–71.5 70.7 0.7
Prepelvic length 44.0 41.7–44.0 42.9 1.2 44.7–48.8 46.6 2.1
Prepectoral length 30.7 26.1–30.7 27.8 2.5 26.7–30.0 27.8 1.8
Caudal peduncle length 18.7 18.7–19.6 19.1 0.5 18.8–19.8 19.3 0.5
Caudal peduncle depth 16.9 16.7–17.4 17.0 0.4 15.2–16.4 15.9 0.7
Dorsal-fin base length 14.2 14.2–16.7 15.7 1.3 12.9–14.5 13.9 0.9
Anal-fin base length 18.7 18.7–19.6 19.1 0.5 15.5–16.6 16.2 0.6
Caudal-fin length 33.3 29.6–33.3 30.9 2.1 30.4–33.8 32.4 1.8
Percent of head length
Head width 67 67–71 69.0 2.4 70–73 71.7 1.5
Head depth 79 79–83 81.6 2.0 78–84 80.4 2.8
Interorbital width 52 52–57 55.0 2.4 56–59 57.2 1.2
Postorbital length 41 41–43 41.7 1.0 44–48 45.6 2.4
Suborbital depth 17 14–18 15.3 1.8 15–19 16.7 2.2
Eye diameter 38 38–41 38.7 1.6 38–42 40.5 1.9
Snout to eye end length 59 57–59 58.3 1.0 52–56 54.4 2.4
Snout length 22 19–22 20.3 1.7 17–18 17.4 0.8
Other morphometric ratios
Head width in % of its depth 84 83–87 84.6 2.1 87–91 89.2 2.2
Caudal peduncle length in % of its depth 111 111–114 112.4 1.9 120–124 121.4 1.9
Predorsal length in % of preanal length 111 109–113 111.2 2.2 109–112 110.1 1.7
Meristics range mode range mode
Dorsal-fin rays 9 9 9 9 9
Anal-fin rays 13 13–14 13 13 13
Dorsal fin to anal fin relative position 6 5–6 6 6 6
Scales mid-longitudinal series 21 21–23 23 20–22 20
Scales transverse 6 6 6 6 6
Scales circumpeduncular 10 10 10 10 10

Coloration. Live males and females (Figure 13): Scales on trunk with a pattern of discrete iridescent, diamond-shaped, light blue spots, especially evident below mid-longitudinal series on posteroventral portion of flank, creating an irregular reflective pattern on body. Scales on dorsum grey-brown, with light blue iridescent blotches in males. Scales on the abdomen from opercle to pelvic fin are white to silver. Head yellow to light brown-grey, snout and dorsal portion of head grey-brown, throat silver. Exposed branchiostegal membrane white. Iris silver, light blue iridescent in the upper portion. Iridescent silver to blue blotches on postorbital opercular region. Iridescent silver to blue humeral blotch on post-opercular region in males. Median fins yellow to hyaline, dorsal and anal fins with six to eight dark grey stripes perpendicular to fin rays basally and posteriorly, with light blue iridescence basally; dorsal with light blue distinct margin; anal with dark grey margin; caudal fin with four to five dark grey stripes perpendicular to fin rays. Dorsal and anal fin in female hyaline with irregular brown stripes, with fin tips with narrow light blue margin, caudal hyaline without markings. Pelvic fin yellow in males, hyaline in females. Distribution. Lacustricola gemma is endemic to freshwater habitats of the upper Congo drainage in south-eastern DR Congo. It is currently known from waters associated with the Kay system in the upper Lualaba drainage (Figure 9). The Kay is a major right bank affluent entering the upper Lualaba below Lake Upemba. Ecology and biology. The area of the upper Lualaba experiences a mean annual rainfall of around 1000 mm, with December the wettest month. In the Upemba System, the waters of the Lualaba are high from February–April and low from August–October [83]. The dry season lasts for around 160 days. At the type locality, ‘Lacustricolagemma was the only procatopodid species observed. The accompanying fish fauna consisted of the seasonal Nothobranchius katemomandai. The type locality on 17 April 2023 was a remnant pool formed in the riverbed of the seasonal Lubule River (Figure 13d). The habitat was a drying ephemeral riverbed about 1–2 m wide, the edges of which were overgrown by grass. The water was turbid. The water temperature around noon was 27.3 °C, the pH was 7.2, and it contained 120 ppm of total dissolved solids. The habitat belongs to category 1.4.1 as defined by Watters (2015a) [85], representing a remnant pool in a seasonal stream system on a floodplain. Water parameters, measured by B. Katemo Manda at another confirmed site in Lake Bowe, showed a temperature of 28.4 °C; pH of 7.2; total dissolved solids of 30 ppm. Aquarium maintenance of selected specimens was undertaken for observation of breeding behaviour and biology. ‘Lacustricolagemma has a non-annual mode of reproduction, the same as all of its known congeners. Under captive conditions, a spawning mop prepared from acrylic yarn was used successfully as an artificial spawning medium, simulating submerged vegetation. Eggs were picked from the mop and stored in plastic containers with shallow water for development. An embryonic development period of about two to three weeks was observed at about 22–24 °C. Eggs are relatively large, round, measuring 1.6 mm in diameter on average (n = 10). Conservation status.Lacustricola gemma is recommended to be assessed as Vulnerable. The species is currently known only from the area of the type locality, sites in the Kay system of the Lualaba drainage. It might exist at some other sites within the drainage system of the upper Lualaba River, but its distribution will remain restricted. The entire drainage area of the Kay system has an extent of 1142 km2 and the species is expected to be found from a maximum of ten threat-based locations. Some of the known sites at present, including the type locality, are directly adjacent to human populations. There is an expansion of agriculture in seasonal wetland habitats of the known distribution area and, consequently, an increase in anthropogenic pressures on the land and water use. Using IUCN (2012) principles [86], ‘L. gemma meets the criteria B1ab(iii) for Vulnerable, considering the drainage area as maximum EOO and the number of estimated maximum threat-based locations, as well as the risk of continuous decline of the known wetland habitats in which it is known to live. There are currently no conservation or protection measures in place for this species. Additionally, it is unknown whether any protected areas would partially encompass its known distribution. Therefore, habitat protection is needed at the type locality and other sites within the Kay system where the species has been recorded. Further field surveys should target additional suitable habitats within the drainage area to document the full geographic range of the species more accurately. This would help in developing appropriate conservation strategies. Etymology. The specific epithet gemma is derived from the ancient Greek word γέμω, originally meaning “precious stone” or “gem”. It refers to the pattern of the body scales, which are adorned with numerous iridescent, diamond-shaped markings, evoking the appearance of tiny gems. The name also alludes to the relatively small adult size of the species. It is treated as a noun in the nominative singular, standing in apposition to the generic name.

4. Discussion

4.1. Nothobranchiidae 4.1.1. History of Nothobranchius brieni Species Group The first documented species of Nothobranchius from the south-eastern upper Congo drainage was N. brieni, described from the Lualaba River by Poll (1938) [17]. This was followed by Wildekamp’s (1978) redescription of N. brieni and the description of three additional species [6]. Since then, the recognised species richness within the group has grown to sixteen, followed by the identification of four more species in the present study (see Table 1). This expanding body of research reflects the remarkable complexity and diversity of the N. brieni species group and underscores the importance of continued exploration to better understand its evolutionary relationships and ecological significance better. 4.1.2. Phylogenetic Analysis of Nothobranchius brieni Species Group Molecular phylogenetic reconstructions in different studies confirmed that species of the N. brieni species group form a well-supported monophyletic group (e.g., [3,8,9,36,55,68,89]), that is resolved as part of the geographically-structured Inland clade (sensu [68]). All Nothobranchius species found in the Katanga Province of the Congo, Zambia, and the Zambezi Region of Namibia have been found to comprise a distinct clade, referred to as the Kalahari Clade in [36]. These species constitute the N. brieni species group. In this study, a phylogenetic analysis based on the COI gene sequence was conducted, demonstrating sufficient discriminative power for species resolution. The analysis included an expanded dataset of the N. brieni species group, with the primary aim of evaluating the internal structure of the group and identifying new species as phylogenetically distinct lineages. The author acknowledges the limitations of single-gene analyses but presents this study to offer insights in comparison to previous research. It serves as an additional element among multiple corroborating lines of evidence in species delimitation. The phylogeny retrieved in this study is largely congruent with previous analyses. Within the Lake Mweru complex, in addition to the described members of the genus, a putative species from the upper Lubi system is represented by three terminals: N. spec. DRCP 2013-06 (also known as N. spec. Kasenga), and N. spec. CD 23-23 and N. spec. CD 23-25. The description of that putative species from the upper Lubi drainage is in review, and it is represented here for clarity [11]. 4.1.3. Biogeography of Nothobranchius brieni Species Group Species in the N. brieni group show allopatric distributions, each restricted to separate drainage systems or isolated parts of the same system, often divided by physical barriers such as mountains or waterfalls (e.g., [10,13,16,18]; Table 1). Their limited dispersal ability and strong habitat fidelity have led to speciation patterns closely aligned with historical drainage reorganisations across the south-central African plateau [90]. Phylogenetic patterns and landscape history suggest that ancient hydrological connections facilitated early diversification, later disrupted by river capture and drainage shifts [36,91]. Given these mechanisms, further exploration of remote floodplains in south-eastern DR Congo and northern Zambia is likely to uncover further, as yet undescribed species. 4.1.4. Conservation Aspects All Nothobranchius fishes in the upper Congo drainage are subject to a high level of threat and belong to one of the threatened Red List categories [18]. The importance of the discoveries from conservation aspects is illustrated by the numerous increasing anthropogenic impacts, and requires the need for active protection of the freshwater wetland habitats in which these species occur. The impact of human activities was evident in three out of four types of localities, whereas the fourth type of locality in the Kay system is adjacent to human population. Molecular analyses revealed evidence of fish-pathogenic oomycetes Aphanomyces invadans and A. laevis on samples collected in 2023, which represent a first-time record for the host of the fish genus Nothobranchius [87]. Observations involve at least two of the new species in this study. Specimens of N. marmoreus were observed by the present author in 2016 with lesions suggestive of infection with Aphanomyces spp, whereas molecular analysis revealed Aphanomyces laevis on N. katemomandai collected in 2023. Evidence of infection with oomycete pathogens documented in Nagy (2024a) [87] represents an important additional threat to the unique seasonal aquatic biodiversity of the region. Conservation efforts for Nothobranchius species must focus on preserving their unique ephemeral wetland habitats and addressing the multiple human-induced threats they face. Their conservation is not only crucial for maintaining biodiversity but also for preserving valuable scientific research opportunities for aging studies. 4.2. Procatopodidae 4.2.1. History of Procatopodid Species in Upper Congo Different forms of lampeyes in the upper Congo region have been long associated with three early-described species and typically lumped into them: Haplochilus johnstoni [47]; Haplochilus katangae [48]; and Haplochilus hutereaui [46]. These species were largely characterized by basic external features, such as elongated body and unmarked fins vs. a zigzag black stripe along the flank vs. barred median fins, respectively. Based on this simple characterization, many populations across the southern part of Africa were associated with each of these species, creating species groups. The status of an additional, long-described species, Haplochilus moeruensis [54], was not clear and was often associated with different species around the Lake Mweru drainage, until Seegers (1996) [92] selected a lectotype and published a photograph of it. In parallel, the alpha taxonomy of lampeye cyprinodontiform fishes of Africa has been mostly neglected for a long time. Their phylogenetic relationships were poorly researched, and different hypotheses yielded inconsistent results among various authors [40,93,94,95,96]. Aforementioned species were assigned to several genera during several decades, namely to Aplocheilichthys (e.g., [22,45]), to Micropanchax (e.g., [40,56,97]) or to Lacustricola (e.g., [96,98]), whereas currently they are regarded as belonging to an undescribed genus ‘Lacustricola’ [41]. 4.2.2. Phylogenetic Analysis of Procatopodid Species in Upper Congo Phylogenetic analysis performed by Bragança & Costa (2019) [41] revealed evidence that the genus Lacustricola is polyphyletic, with included species occurring in two separate, geographically disjunct clades. The eastern African Lacustricola clade comprises species that are largely confined to coastal rivers and lakes in East Africa, including the type species of the genus L. pumilus, from the Lake Tanganyika basin. Another clade, comprising species predominantly distributed in southern Africa, represents an undescribed genus. The species of this clade are referred to in this paper as ‘Lacustricola’. The species from the upper Congo drainage mentioned above belong to this group (Figure 5). Additionally, three other members of Procatopodidae found in the upper Congo drainage also belong to this genus, such as ‘L.petnehazyi [56], ‘L.nitidus [55], as well as a form referred to herein as ‘L.’ cf. jubbi, initially described in the genus Hypsopanchax by Poll & Lambert (1965) [53] from the upper Zambezi (Figure 5). However, one species described from the upper Congo basin was found to belong to the genus Lacustricola (sensu stricto) as L. lualabaensis was revealed to be part of the same phylogenetic clade as L. pumilus. 4.2.3. Geographical Distribution and Biogeography The complex geological history of the Congo drainage and the diverse and changing aquatic environments it supports, likely provided numerous ecological niches for Procatopodids to adapt to and speciate. Periods of isolation due to forest fragmentation and changing water levels may have promoted allopatric and peripatric speciation in Procatopodid species [49,50]. The complex network of tributaries and rivers in the Congo drainage probably facilitated the dispersal and diversification of Procatopodid species. It is likely that many undiscovered or unidentified new species exist within the drainage system. To fully understand the evolution of Procatopodid species in the Upper Congo drainage, further research focusing specifically on these fish in the region is necessary. 4.2.4. Conservation Aspects The conservation of southern African procatopodid species faces significant challenges due to the vulnerability of their habitats. During the rainy season, lampeyes typically migrate to shallow, flooded areas for breeding, highlighting the critical importance of these ephemeral aquatic environments. This seasonal behavioural pattern dependence makes them especially susceptible to habitat alterations and degradation. The conservation of these species is further complicated by the multitude of threats facing wetland ecosystems in southern Africa. Human activities such as agricultural expansion, water extraction, urban development, and industrial pollution, particularly from mining operations, pose severe risks to these delicate habitats. Recent taxonomic studies indicate that the Procatopodidae family is much more diverse than previously thought. In addition to some widely distributed species, it also includes narrowly distributed endemics [51]. As the majority of wetlands in southern Africa are unprotected, this underscores the urgent need for comprehensive conservation strategies. Preserving the integrity of these wetlands throughout all seasons is crucial for maintaining the ecological balance and safeguarding the distinctive seasonal freshwater biodiversity they support, including the vulnerable procatopodid species. 4.3. Comparative MaterialLacustricola chobensis: SAIAB 30007, holotype, male, 24.7 mm SL; SAIAB 30008, 4 paratypes, males, 11.6–16.4 mm SL; Botswana: Chobe River: Kasane, 17°49′ S, 25°08′ E. ‘Lacustricolahutereaui: RMCA P-1822-3, syntypes, 2 males, 22.1–25.1 mm SL; DR Congo: Uele River: Dungu, 03°41′ N, 29°08′ E. — RMCA 73-23-P-10550-865, 3 males, 27.1–31.7 mm SL; DR Congo: Uele River: Buta, 02°47′ N, 24°46′ E. Nothobranchius brieni: RMCA 50016, lectotype, male, 46.3 mm SL; RMCA 50018-27, paralectotypes, 4 males, 44.4–46.5 mm SL; DR Congo: Lualaba drainage: Bukama, 09°12′ S, 25°51′ E. — RMCA B4-019-P-0013-4, 2 males, 30.3–30.4 mm SL; DR Congo: Lualaba drainage: Bukama, 09°11′ S, 25°51′ E. N. ditte: RMCA 2016-027-P-0001, holotype, male, 33.0 mm SL; RMCA 2016-027-P-0002, paratype, male, 38.9 mm SL; RMCA 2016- 027-P-0029, paratype, male, 42.4 mm SL; RMCA 2016-027-P-0004-10, 7, paratypes, males, 31.1–38.9 mm SL; DR Congo: Lake Mweru basin: Kilwa, 09°12′ S, 28°17′ E. N. hassoni: MSNG 51837, holotype, male, 41.1 mm SL; MSNG 51838-9, paratypes, 2 males, 34.9–37.2 mm SL; MSNG 51840, paratype, male, 33.9 mm SL; RMCA A3-028- P-0003, paratype, male, 41.0 mm SL; DR Congo: middle Lufira drainage: Lufwa system: Kanvungwe, 09°29′ S, 27°17′ E. — RMCA A3-028-P-0004, paratype, male, 32.0 mm SL; DR Congo: middle Lufira drainage: Lwipa system, 09°08′ S, 27°20′ E. — RMCA B3-028-P- 0001-4, 4 males, 27.9–35.2 mm SL; RMCA B4-019-P-0012, male, 38.5 mm SL; DR Congo: middle Lufira drainage: Bunkeya, 10°25′ S, 26°58′ E. — RMCA B0-013-P-0001-0014, 5 males, 40.1–43.7 mm SL; DR Congo: middle Lufira drainage: Mwashya, 10°42′ S, 27°21′ E. N. malaissei: RMCA 73-24-P-952, holotype, male, 33.0 mm SL; RMCA 73-24-P-914-919, RMCA 73-24-P-947-951, 6 males, 36.4–43.2 mm SL; DR Congo: Luapula drainage: Kabiasha, 10°17′ S, 28°09′ E. N. milvertzi: RMCA B2-027-P-0001, holotype, male, 36.9 mm SL; RMCA B2-027-P-0002, 1, male, 36.0 mm SL; RMCA B2-027-P-0003-16, 14, 6 males, 30.5–35.9 mm SL; Zambia: Lake Mweru basin, Lushiba Marsh: Chienge, 08°36′ S, 29°07′ E. N. oestergaardi: BMNH 2010.12.6.1, holotype, male, 31.8 mm SL; RMCA 2010-33-P-4, paratype, male, 30.4.0 mm SL; MSNG 56047A-B-C, paratype, male, 42.7 mm SL; paratype, male, 29.0 mm SL; SAIAB 98224, paratype, male, 26.4 mm SL; Zambia, Lake Mweru Wantipa basin: Kalaba, 8°25′ S, 29°50′ E. N. polli: RMCA 192399, holotype, male, 28.9 mm SL; DR Congo: Katanga province: upper Lufira drainage: Dilungu swamp, 10°45′ S, 27°15′ E. — RMCA B4-019-P-0015, male, 34.1 mm SL; DR Congo: Katanga province: upper Lufira drainage, 11°02′ S, 27°18′ E. — RMCA B4-019-P-0016-8, 3 males, 26.1–35.1 mm SL; DR Congo: Katanga province: upper Lufira drainage: Kyembe, 11°02′ S, 27°18′ E.

Acknowledgments

I am grateful to my late friend, Auguste Chocha Manda, from the University of Lubumbashi, for his long-standing support in research expeditions and the immense pleasure always for the time spent together in the field; to Bauchet Katemo Manda and Augustin Kalumba, both from the University of Lubumbashi, and to Gábor Petneházy for assistance in the field, and to Stefano Valdesalici for providing preserved material for molecular analysis; to Augustin Kalumba, Bauchet Katemo Manda, Brian Watters, Csenge Nagy, Stefano Valdesalici and SAIAB staff for fish photographs, and to Emmanuel Vreven for his support on permits and collection management.

Ethics Statement

The study was conducted in accordance with the ethical standards and Congolese legislation, according to the guidelines of the Declaration of Helsinki, authorized by the University of Lubumbashi and approved on 20 March 2025 by the Ministry of Environment and Sustainable Development, Kinshasa, DR Congo (n°13 SG/EDD/BTB/ANCCB-RDC/03/2025).

Informed Consent Statement

Not applicable.

Data Availability Statement

Specimens of the type series and examined comparative material are deposited in ichthyology collections, whereas genetic sequences are deposited in GenBank. Additional data to support the findings of this study are available from the author upon reasonable request.

Funding

This research received no external funding.

Declaration of Competing Interest

The author declares that he has no known competing financial interests or personal relationships that could have appeared to influence the work reported in this paper.

References

  1. 1.
    Abell R, Thieme ML, Revenga C, Bryer M, Kottelat M, Bogutskaya N, et al. Freshwater ecoregions of the world: a new map of biogeographic units for freshwater biodiversity conservation. BioScience 2008, 58, 403–414. doi:10.1641/B580507. [Google Scholar]
  2. 2.
    Peters WCH. Über eine neue Untergattung der Flederthiere so wie über neue Gattungen und Arten von Fischen. Monatsberichte der Königlich Preussischen Akademie der Wissenschaften zu Berlin 1868, 1868, 145–148. [Google Scholar]
  3. 3.
    Watters BR, Wildekamp RH, Shidlovskiy KM. Description and biogeography of Nothobranchius capriviensis, a new species of annual killifish from the Zambezi Region of Namibia (Cyprinodontiformes: Nothobranchiidae). J. Am. Killifish Assoc. 2015, 47, 97–133. [Google Scholar]
  4. 4.
    Wildekamp RH, Rosenstock J. Anmerkungen zu den Nothobranchius-Arten Sambias mit der Beschreibung von Nothobranchius kafuensis spec. nov. (Cyprinodontiformes; Nothobranchiinae). Die Aquarien und Terrarien Zeitschrift 1989, 42, 413–419. [Google Scholar]
  5. 5.
    Valdesalici S. Nothobranchius boklundi (Cyprinodontiformes: Nothobranchiidae): a new annual killifish with two male colour morphs from the Luangwa River basin, Zambia. Aqua Int. J. Ichthyol. 2010, 16, 51–60. [Google Scholar]
  6. 6.
    Wildekamp RH. Redescription of Nothobranchius brieni Poll, 1938 and the description of three new Nothobranchius species (Pisces, Cyprinodontidae) from the province of Shaba, Zaire. Revue de Zoologie Africaine 1978, 92, 341–354. [Google Scholar]
  7. 7.
    Valdesalici S, Wildekamp RH. A new species of the genus Nothobranchius (Cyprinodontiformes: Nothobranchiidae) from Luapula River basin, Zambia. Aqua Int. J. Ichthyol. 2005, 9, 89–96. [Google Scholar]
  8. 8.
    Nagy B, Watters BR, van der Merwe PDW, Cotterill FPD, Bellstedt DU. Nothobranchius cooperi (Teleostei: Cyprinodontiformes) a new species of annual killifish from the Luapula River drainage, northern Zambia. Afr. J. Aquatic Sci. 2017, 42, 201–218. doi:10.2989/16085914.2017.1372270. [Google Scholar]
  9. 9.
    Nagy B, Cotterill FPD, Bellstedt DU. Nothobranchius sainthousei, a new species of annual killifish from the Luapula River drainage in northern Zambia (Teleostei: Cyprinodontiformes). Ichthyol. Explor. Freshwaters 2016, 27, 233–254. [Google Scholar]
  10. 10.
    Nagy B. Nothobranchius chochamandai, a new species of annual killifish from the Luapula drainage, Democratic Republic of Congo (Cyprinodontiformes: Nothobranchiidae). Ichthyol. Explor. Freshw. 2014, 25, 167–183. [Google Scholar]
  11. 11.
    Nagy B, Chocha Manda A, Vreven EJWMN. A new Nothobranchius species of seasonal killifish (Cyprinodontiformes: Nothobranchiidae) from ephemeral wetlands of the lower Luapula River floodplain (upper Congo drainage: DR Congo). Ichthyol. Explor. Freshw. 2025, submitted. [Google Scholar]
  12. 12.
    Nagy B. Nothobranchius ditte, a new species of annual killifish from the Lake Mweru basin in Democratic Republic of Congo (Teleostei: Nothobranchiidae). Ichthyol. Expl. Freshw. 2018, 28, 115–134. [Google Scholar]
  13. 13.
    Nagy B. Nothobranchius milvertzi, a new species of killifish from the Lushiba Marsh in the Lake Mweru drainage, Zambia (Teleostei: Cyprinodontiformes: Nothobranchiidae). Ichthyol. Explor. Freshw. 2014, 24, 347–360. [Google Scholar]
  14. 14.
    Valdesalici S, Amato G. Nothobranchius oestergaardi (Cyprinodontiformes: Nothobranchiidae), a new annual killifish from Mweru Wantipa Lake drainage basin, northern Zambia. Aqua Int. J. Ichthyol. 2011, 17, 111–119. [Google Scholar]
  15. 15.
    Valdesalici S, Wildekamp RH. A new species of the genus Nothobranchius Peters, 1868 from the Lufwa river basin, Katanga province, Democratic Republic of Congo (Pisces, Cyprinodontiformes, Aplocheilidae). Annali del Museo Civico di Storia Naturale Giacomo Doria 2004, 96, 241–251. [Google Scholar]
  16. 16.
    Nagy B. Nothobranchius flagrans, a new species of annual killifish from the Lufira drainage, Democratic Republic of Congo (Cyprinodontiformes: Nothobranchiidae). Ichthyol. Expl. Freshw. 2014, 25, 259–276. [Google Scholar]
  17. 17.
    Poll M. Poissons du Katanga (bassin du Congo), récoltés par le professeur Paul Brien. Revue de Zoologie et de Botanique Africaines 1938, 30, 389–423. [Google Scholar]
  18. 18.
    Nagy B, Watters BR. A review of the conservation status of seasonal Nothobranchius fishes (Teleostei: Cyprinodontiformes), a genus with a high level of threat, inhabiting ephemeral wetland habitats in Africa. Aquat.Conserv. Mar. Freshw. Ecosyst. 2021, 32, 199–216. doi:10.1002/aqc.3741. [Google Scholar]
  19. 19.
    Peters N. Zur Embryonalentwicklung bodenlaichender Zahnkarpfen. Die Aquarien und Terrarien Zeitschrift 1963, 16, 201–204. [Google Scholar]
  20. 20.
    Pinceel T, Vanschoenwinkel B, Deckers P, Grégoir A, Ver Eecke T, Brendonck L. Early and late developmental arrest as complementary embryonic bet-hedging strategies in African killifish. Biol. J. Linnean Soc. 2015, 114, 941–948. doi:10.1111/bij.12474. [Google Scholar]
  21. 21.
    Vanderplank FL. A study of Nothobranchius taeniopygus in its natural habitat. Aquarist 1940, 10, 247–249. [Google Scholar]
  22. 22.
    Skelton PH. A Complete Guide to the Freshwater Fishes of Southern Africa; Struik Publishers: Cape Town, South Africa, 2001; p. 395.
  23. 23.
    Watters BR. The Ecology and Distribution of Nothobranchius Fishes. J. Am. Killifish Assoc. 2009, 42, 37–76. [Google Scholar]
  24. 24.
    Nagy B. Life history and reproduction of Nothobranchius fishes. J. Am. Killifish Assoc. 2015, 47, 182–192. doi:10.5281/zenodo.4393325. [Google Scholar]
  25. 25.
    Reichard M. The evolutionary ecology of African annual fishes, pp. 133–158. In Annual Fishes: Life History Strategy, Diversity, and Evolution; Berois N, García G, de Sá RO, Eds.; CRC Press: Boca Raton, FL, USA, 2015; p. 327. doi:10.1201/b19016-12.
  26. 26.
    Jubb RA. Nothobranchius; Tfh Pubns Inc: Neptune City, NJ, USA, 1981; p. 61.
  27. 27.
    Seegers L. Killifishes of the World: Old World Killis II; Aqualog, A.C.S.: Mörfelden-Walldorf, Germany, 1997; p. 112.
  28. 28.
    Wildekamp RH. A World of Killies. Atlas of the Oviparous Cyprinodontiform Fishes of the World, Volume 4; The American Killifish Association: Elyria, OH, USA, 2004; p. 398.
  29. 29.
    Watters BR, Nagy B, van der Merwe PDW, Cotterill FPD, Bellstedt DU. Review of the Nothobranchius taeniopygus species group from central and western Tanzania with descriptions of five new species and redescription of Nothobranchius taeniopygus (Teleostei: Nothobranchiidae). Ichthyol. Explor. Freshw. 2019, 29, 239–278. doi:10.23788/IEF-1110. [Google Scholar]
  30. 30.
    Nagy B, Watters BR, van der Merwe PDW, Cotterill FPD, Bellstedt DU. Review of the Nothobranchius ugandensis species group from the inland plateau of eastern Africa with descriptions of six new species (Teleostei: Nothobranchiidae). Ichthyol. Explor. Freshw. 2020, 30, 21–73. doi:10.23788/IEF-1129. [Google Scholar]
  31. 31.
    Jubb RA. A new Nothobranchius (Pisces, Cyprinodontidae) from southeastern Rhodesia. J. Am. Killifish Assoc. 1971. 8, 12–19. [Google Scholar]
  32. 32.
    Cellerino A, Valenzano DR, Reichard M. From the bush to the bench: the annual Nothobranchius fishes as a new model system in biology. Biol. Rev. 2016, 91, 511–533. doi:10.1111/brv.12183. [Google Scholar]
  33. 33.
    Ahl E. Neue oder selten importierte Fische, III. Blätter für Aquarien- und Terrarienkunde 1926, 37, 346–348. [Google Scholar]
  34. 34.
    Van der Hoeven JCM, Bruggeman IM, Alink GM, Koeman JH. The killifish Nothobranchius rachowi, a new animal in genetic toxicology. Mutat Res. Environ. Mutagen. Relat. Subj. 1982, 97, 35–42. doi:10.1016/0165-1161(82)90017-6. [Google Scholar]
  35. 35.
    Krysanov E, Demidova T. Extensive karyotype variability of African fish genus Nothobranchius (Cyprinodontiformes). Comp. Cytogenet. 2018, 12, 387–402. doi:10.3897/CompCytogen.v12i3.25092. [Google Scholar]
  36. 36.
    Van der Merwe PDW, Cotterill FPD, Kandziora M, Watters BR, Nagy B, Genade T, et al. Genomic Fingerprints of Palaeogeographic History: The tempo and mode of Rift tectonics across tropical Africa has shaped the diversification of the killifish genus Nothobranchius (Teleostei: Cyprinodontiformes). Mol. Phylogenet. Evol. 2021, 158, 106988. doi:10.1016/j.ympev.2020.106988. [Google Scholar]
  37. 37.
    Radda AC. Fundulosoma thierryi und ihre Verwandten (Cyprinodontiformes: Rivulinae). Aquaria 1969, 16, 159–164. [Google Scholar]
  38. 38.
    Wildekamp RH, Watters BR, Shidlovskiy KM. Review of the Nothobranchius neumanni species group with descriptions of three new species from Tanzania (Cyprinodontiformes: Nothobranchiidae). J. Am. Killifish Assoc. 2014, 47, 2–30. [Google Scholar]
  39. 39.
    Skelton PH. Diversity and distribution of freshwater fishes in east and southern Africa. Ann. Royal Central Afr. Mus. Zool. 1994, 275, 95–131. [Google Scholar]
  40. 40.
    Ghedotti MJ. Phylogenetic analysis and taxonomy of the poecilioid fishes (Teleostei: Cyprinodontiformes). Zool. J. Linnean Soc. 2000, 130, 1–53. [Google Scholar]
  41. 41.
    Bragança PHN, Costa WJEM. Multigene fossil-calibrated analysis of the African lampeyes (Cyprinodontoidei: Procatopodidae) reveals an early Oligocene origin and Neogene diversification driven by palaeogeographic and palaeoclimatic events. Organ. Divers. Evol. 2019, 19, 1–18. [Google Scholar]
  42. 42.
    Wildekamp RH. A World of Killies: Atlas of the Oviparous Cyprinodontiform Fishes of the World, Volume II; American Killifish Association: Mishawaka, IN, USA, 1995; p. 384.
  43. 43.
    Watters BR. Notes on some interesting lampeyes. J. Am. Killifish Assoc. 2015, 48, 61–64. [Google Scholar]
  44. 44.
    Watters BR. Notes on some interesting lampeyes - part 2. J. Am. Killifish Assoc. 2017, 50, 118–125. [Google Scholar]
  45. 45.
    Wildekamp RH, Romand R, Scheel JJ. Cyprinodontidae. In Check-List of the Freshwater Fishes of Africa (CLOFFA); Daget J, Gosse J-P, Thys van den Audenaerde DFE, Eds.; ORSTOM: Paris, UK, 1986; Volume 2, pp. 165–276.
  46. 46.
    Boulenger GA. Sur une petite collection de poissons recueillis dans l’Uelé, par la mission dirigée par M. Hutereau. Rev. Zool. Afr. 1913, 2, 155–161. [Google Scholar]
  47. 47.
    Günther A. Second report on the reptiles, batrachians and fishes transmitted by Mr. H.H. Johnston C.B. from British Central Africa. Proc. Zool. Soc. Lond. 1894, 1894, 616–628. [Google Scholar]
  48. 48.
    Boulenger GA. Description d’un poisson nouveau du genre Haplochilus provenant du Katanga. Revue de Zoologie Africaine 1912, 2, 47–48. [Google Scholar]
  49. 49.
    Bragança PHN, van Zeeventer RM, Bills R, Tweddle D, Chakona A. Diversity of the southern Africa Lacustricola Myers, 1924 and redescription of Lacustricola johnstoni (Günther, 1894) and Lacustricola myaposae (Boulenger, 1908) (Cyprinodontiformes, Procatopodidae). ZooKeys 2020, 923, 91–113. doi:10.3897/zookeys.923.48420. [Google Scholar]
  50. 50.
    Bragança PHN, Bills R, Tweddle D, Chakona A. Revalidation and Redescription of “Lacustricolachobensis (Fowler, 1935) and Description of a New Miniature Species of “Lacustricola” from Southern Africa (Cyprinodontiformes: Procatopodidae)," Ichthyol. Herpetol. 2021, 109, 123–137, doi:10.1643/i2020046. [Google Scholar]
  51. 51.
    Bragança PHN, Tweddle D, Skelton P, Bills R, Jacobs F, Chakona A. Updates on the taxonomy of the southern Africa ‘Lacustricola’, with the description of four new species, revalidation of ‘L’. carlislei, and description of a new lampeye genus (Cyprinodontiformes: Procatopodidae). Conference poster, VII Pan African Fish and Fisheries Conference: Brazzaville, Republic of the Congo, 2023.
  52. 52.
    Myers GS. New genera of African poeciliid fishes. Copeia 1924, 129, 42–43. [Google Scholar]
  53. 53.
    Poll M, Lambert JG. Contribution à l'étude systématique et zoogéographique des Procatopodinae de l'Afrique centrale (Pisces, Cyprinodontidae). Bulletin des séances. Académie royale des sciences d'Outre-Mer 1965, 1965, 615–631. [Google Scholar]
  54. 54.
    Boulenger GA. Mission Stappers au Tanganyika-Moero. Diagnoses de poissons nouveaux. I. Acanthoptérygiens, Opisthomes, Cyprinodontes. Revue de Zoologie Africaine 1914, 3, 442–447. [Google Scholar]
  55. 55.
    Nagy B, Chocha Manda A. Lacustricola nitida, a new species of lampeye from the upper Lualaba drainage, Democratic Republic of Congo (Teleostei: Cyprinodontiformes: Procatopodidae). Ichthyol. Explor. Freshw. 2020, 30, 201–211. doi:10.23788/IEF-1154. [Google Scholar]
  56. 56.
    Nagy B, Vreven EJ. Micropanchax petnehazyi, a new species of lampeye cyprinodontiform from the Lufira drainage, Democratic Republic of Congo (Cyprinodontiformes: Poeciliidae). Ichthyol. Explor. Freshw. 2018, 28, 157–169. [Google Scholar]
  57. 57.
    Minitab. Statistical Computer Software. Version 16.2.1; Minitab Inc.: State College, PA, USA, 2010.
  58. 58.
    Sokal RR, Rohlf FJ. Biometry: The Principles and Practice of Statistics in Biological Research, 3rd ed.; Freeman: New York, NY, USA, 1995; p. 880.
  59. 59.
    Sokal RR, Rohlf FJ. Introduction to Biostatistics, 2nd ed.; Dover Publications: Mineola, NY, USA, 2009; p. 382.
  60. 60.
    McDonald JH. Handbook of Biological Statistics; Sparky House: Baltimore, MD, USA, 2008; p. 287.
  61. 61.
    Zar JH. Biostatistical Analysis, 5th ed.; Pearson/Prentice-Hall: Upper Saddle River, NJ, USA, 2010; p. xii+944.
  62. 62.
    Zuur AF, Ieno EN, Smith GM. Analysing Ecological Data (Statistics for Biology and Health); Springer: New York, NY, USA, 2007; xxvi + 672p. doi:10.1007/978-0-387-45972-1.
  63. 63.
    Hocking RR. A biometrics invited paper. The analysis and selection of variables in linear regression. Biometrics 1976, 32, 1–49. doi:10.2307/2529336. [Google Scholar]
  64. 64.
    Baur H, Leuenberger C. Analysis of ratios in multivariate morphometry. Syst. Biol. 2011, 60, 813–825. doi:10.1093/sysbio/syr061. [Google Scholar]
  65. 65.
    James FC, McCulloch CE. Multivariate analysis in ecology and systematics: panacea or Pandora’s box? Ann. Rev. Ecol. Syst. 1990, 21, 129–166. doi:10.1146/annurev.es.21.110190.001021. [Google Scholar]
  66. 66.
    Quinn GP, Keough MJ. Experimental Design and Data Analysis for Biologists; University Press: Cambridge, UK, 2002; p. 553. doi:10.1017/CBO9780511806384.
  67. 67.
    Folmer O, Black M, Hoeh W, Lutz R, Vrijenhoek R. DNA primers for amplification of mitochondrial cytochrome c oxidase subunit I from diverse metazoan invertebrates. Mol. Mar. Biol. Biotechnol. 1994, 3, 294–299. [Google Scholar]
  68. 68.
    Dorn A, Musilova AZ, Platzer M, Reichwald K, Cellerino A. The strange case of East African annual fishes: aridification correlates with diversification for a savannah aquatic group? BMC Evol. Biol. 2014, 14, 210. doi:10.1186/s12862-014-0210-3. [Google Scholar]
  69. 69.
    Valdesalici S, Bills R, Dorn A, Reichwald K, Cellerino A. Nothobranchius niassa (Cyprinodontiformes: Nothobranchiidae), a new species of annual killifish from northern Mozambique. Ichthyol. Explor. Freshw. 2012, 23, 19–28. [Google Scholar]
  70. 70.
    Fowler HW. Scientific results of the Vernay-Lang Kalahari expedition, March to September, 1930. Fresh-water fishes. Ann. Transvaal Mus. 1935, 16, 251–293. [Google Scholar]
  71. 71.
    Boulenger GA. Fourth contribution to the ichthyology of Lake Tanganyika. Report on the collection of fishes made by Dr. W. A. Cunnington during the Third Tanganyika Expedition, 1904–1905. Trans. Zool. Soc. Lond. 1906, 17, 537–601. [Google Scholar]
  72. 72.
    Hall TA. BioEdit: a user-friendly biological sequence alignment editor and analysis program for Windows 95/98/NT. Nucleic Acids Symp. Ser. 1999, 41, 95–98. [Google Scholar]
  73. 73.
    Sievers F, Wilm A, Dineen DG, Gibson TJ, Karplus K, Li W, et al. Fast, scalable generation of high-quality protein multiple sequence alignments using Clustal Omega. Mol. Syst. Biol. 2011, 7, 579. doi:10.1038/msb.2011.75. [Google Scholar]
  74. 74.
    Hilgendorf FM. Fische von Deutsch und Englisch Ost-Afrika. Gesammelt von Oscar Neumann 1893–1895. Zoologische Jahrbücher Abteilung für Systematik, Geographie und Biologie der Tiere (Jena) 1905, 22, 405–420. [Google Scholar]
  75. 75.
    Ahl E. Neue afrikanische Zahnkarpfen aus dem Zoologischen Museum Berlin. Zoologischer Anzeiger 1924, 61, 135–145. [Google Scholar]
  76. 76.
    Ronquist F, Huelsenbeck JP. MrBayes 3: Bayesian phylogenetic inference under mixed models. Bioinformatics 2003, 19, 1572–1574. doi:10.1093/bioinformatics/btg180. [Google Scholar]
  77. 77.
    Minh BQ, Schmidt HA, Chernomor O, Schrempf D, Woodhams MD, von Haeseler A, et al. IQ-TREE 2: New models and efficient methods for phylogenetic inference in the genomic era. Mol. Biol. Evol. 2020, 37, 1530–1534. doi:10.1093/molbev/msaa015. [Google Scholar]
  78. 78.
    Rambaut A. Figtree ver. 1.4.4. Institute of Evolutionary Biology, University of Edinburgh, Edinburgh, 2018. Available online: http://tree.bio.ed.ac.uk/software/figtree/ (accessed on 24 June 2025).
  79. 79.
    Wiley EO. The evolutionary species concept reconsidered. Syst. Zool. 1978, 27, 17–26. [Google Scholar]
  80. 80.
    Mayden RL. Consilience and a hierarchy of species concepts: advances toward closure on the species puzzle. J. Nematol. 1999, 31, 95–116. [Google Scholar]
  81. 81.
    Mayden RL. On biological species, species concepts and individuation in the natural world. Fish Fish. 2002, 3, 171–196. [Google Scholar]
  82. 82.
    Nagy B. Off the (badly) beaten tracks. Pract. Fishkeep. 2024, 2024, 68–76. [Google Scholar]
  83. 83.
    Hughes RH, Hughes JS. A Directory of African Wetlands; IUCN, Gland and Cambridge & UNEP: Nairobi, Kenya, 1992; p. 820.
  84. 84.
    Symoens JJ. Region 7: Zaïre basin. In African Wetlands and Shallow Water Bodies; Burgis MJ, Symoens JJ, Compère P, Eds.; Office de la Recherche Scientifique et Technique Outre-Mer: Paris, France, 1987; pp. 401–456.
  85. 85.
    Watters BR. A classification of Nothobranchius fish habitats. J. Am. Killifish Assoc. 2015, 47, 152–180. [Google Scholar]
  86. 86.
    IUCN. IUCN Red List Categories and Criteria: Version 3.1, 2nd ed.; IUCN: Gland, Switzerland; Cambridge, UK, 2012; p. 32.
  87. 87.
    Nagy B. Molecular evidence reveals fish-pathogenic Aphanomyces spp. (Oomycetes: Saprolegniales) on new host of the threatened seasonal cyprinodont fish Nothobranchius spp. (Teleostei: Cyprinodontiformes) in south-eastern Democratic Republic of Congo. Afr. J. Aquatic Sci. 2024, 1–6. doi:10.2989/16085914.2024.2401346. [Google Scholar]
  88. 88.
    Watters BR, Nagy B. A review and redefinition of the subgenus Aphyobranchius Wildekamp, 1977, in the seasonal killifish genus Nothobranchius Peters, 1868 (Teleostei: Nothobranchiidae), from ephemeral wetlands of eastern Tanzania. Zootaxa 2025, 5570, 401–446. doi:10.11646/zootaxa.5570.3.1. [Google Scholar]
  89. 89.
    Bellstedt DU, Nagy B, van der Merwe PDW, Cotterill FPD, Luke Q, Watters BR. The description of a critically endangered new species of seasonal killifish, Nothobranchius sylvaticus (Cyprinodontiformes: Nothobranchiidae), a relict species from an East African forest refugium in south-eastern Kenya. Zootaxa 2025, 5601, 86–108. [Google Scholar]
  90. 90.
    Cotterill FPD, Nagy B, Watters BR, Bellstedt DU. Tracking Quaternary and Neogene landscape evolution through the geoecodynamics of fishes: unique proxy of tenures and mode of Africa’s dambos and depocentres. Quarter. Int. 2016, 404, 210. [Google Scholar]
  91. 91.
    Van der Merwe PDW. Phylogenetic analyses in the African fish genus Nothobranchius in relation to landscape evolution. PhD Thesis, Stellenbosch University, Stellenbosch, South Africa, 2023; p. 453.
  92. 92.
    Seegers L. The fishes of the Lake Rukwa drainage. Annales, Musée Royal de l'Afrique Centrale, Tervuren, Sciences Zoologiques v. 1996, 278, 1–407. [Google Scholar]
  93. 93.
    Clausen HS. Tropical Old World Cyprinodonts, Reflections on the Taxonomy of Tropical Old World Cyprinodonts, with Remarks on Their Biology and Distribution; Akademisk Forlag: Copenhagen, Denmark, 1967; 64p.
  94. 94.
    Parenti M. A phylogenetic and biogeographic analysis of cyprinodontiform fishes (Teleostei: Atherinomorpha). B. Am. Mus. Nat. Hist. 1981, 168, 335–557. [Google Scholar]
  95. 95.
    Huber JH. A Review of the Cyprinodont Fauna of the Coastal Plains in Rio Muni, Gabun, Congo, Cabinda and Zaïre, with Taxonomic Shifts in Aphyosemion, Epiplatys and West African Procatopodins; British Killifish Association: London, UK, 1981; 46p.
  96. 96.
    Huber JH. Updates to the phylogeny and systematics of the African lampeye schooling cyprinodonts (Aplocheilichthyinae: Cyprinodontiformes). Cybium 1999, 23, 53–77. [Google Scholar]
  97. 97.
    Skelton PH. Chapter 11. Freshwater fishes of Angola. In Biodiversity of Angola: Science & Conservation: A Modern Synthesis; Huntley BJ, Russo V, Lages F, Ferrand N, Eds.; Springer Open: Cham, Switzerland, 2019; pp. 207–242.
  98. 98.
    Huber JH. A new but since long known lampeye species, Lacustricola bragancai, from central Angola (Cyprinodontiformes, Procatopodidae). Kill. -Data Ser. 2020, 2020, 4–10. [Google Scholar]
TOP