SCIEPublish

Development of Eco-Friendly Composites Using Poly(3-hydroxybutyrate-co-3-hydroxyvalerate) and Diss Fibers (Ampelodesmos Mauritanicus)

Communication Open Access

Development of Eco-Friendly Composites Using Poly(3-hydroxybutyrate-co-3-hydroxyvalerate) and Diss Fibers (Ampelodesmos Mauritanicus)

Author Information
1
Université de Bejaia, Faculté de Technologie, Laboratoire des Matériaux Polymères Avancés (LMPA), Bejaia 06000, Algeria
2
Université Bretagne Sud, UMR CNRS 6027, Institut de Recherche Dupuy de Lôme (IRDL), F-56100 Lorient, France
*
Authors to whom correspondence should be addressed.

Received: 31 October 2024 Revised: 25 November 2024 Accepted: 07 January 2025 Published: 08 January 2025

Creative Commons

© 2025 The authors. This is an open access article under the Creative Commons Attribution 4.0 International License (https://creativecommons.org/licenses/by/4.0/).

Views:3879
Downloads:698
Citations: 2
Sustain. Polym. Energy 2025, 3(1), 10001; DOI: 10.70322/spe.2025.10001
ABSTRACT: In response to the growing environmental threats and pollution linked to synthetic plastics, current scientific inquiry is prioritizing the advancement of biodegradable materials. In this context, this study investigates the possibility of developing fully biodegradable materials using plant fibers extracted from the Diss plant (Ampelodesmos mauritanicus) as reinforcement in poly(3-hydroxybutyrate-co-3-hydroxyvalerate) (PHBV)-based biocomposites. The biocomposites were prepared by melt blending in the following weight ratio: PHBV/Diss fibers 80/20. The chemical structure of Diss fibers was characterized by Fourier transform infrared spectroscopy (FTIR) and X-ray fluorescence spectrometry (XRF). The impact of Diss fibers on the mechanical properties of biocomposites has also been investigated in comparison to neat PHBV. FTIR and XRF analyses identified cellulose, hemicellulose, and lignin as the main components of Diss fibers. On the other hand, the results showed a significant enhancement of Young’s modulus (⁓21%) of PHBV/DF biocomposites in comparison to neat PHBV due to a better dispersion of the fibers in the matrix, as confirmed by atomic force microscopy (AFM) images.
Keywords: PHBV; Diss fibers; Biocomposites; Biodegradable materials

1. Introduction

Oil-based polymers are widely used in various industrial applications due to their versatile and desirable properties, such as high durability, processability, and stability. These characteristics make them essential in sectors such as packaging, automotive, and electronics. However, the widespread use of these polymers leads to the generation of significant amounts of waste that are difficult to recycle, posing potential risks to human health and the environment [1]. For instance, these waste materials can release toxic substances when degraded or incinerated. The environmental impact of this waste is further amplified by projections indicating that the land area occupied by such waste could double by 2050 [2], highlighting the urgency of finding more sustainable alternatives. To mitigate this issue, it is crucial to reduce the reliance on petroleum-based materials by incorporating green, biodegradable, and biocompatible alternatives into production processes. Biodegradable polymers, with their excellent processing properties and significantly lower environmental impact compared to conventional plastics, have increasingly been recognized as a viable and sustainable replacement for traditional plastics. Their adoption could help reduce plastic pollution and promote a more environmentally friendly, circular economy [3,4]. Among this class of polymers, Polyhydroxyalkanoates (PHA) represent a promising class of polymers due to their thermoplastic and biodegradable properties, positioning them as potential alternatives to petroleum-based polymers [5]. These versatile polyesters are produced by various bacterial species as intracellular compounds for carbon and energy storage [6]. In addition to their thermoplastic processing capabilities, PHAs are valued for their biodegradability and biocompatibility [7]. However, despite these advantageous properties, the high production cost and limited material performance hinder the broader adoption of PHAs in many industrial applications. In this context, Poly(3-hydroxybutyrate-co-3-hydroxyvalerate) (PHBV), a specific type of PHA, stands out for its highly crystalline structure, biocompatibility, non-toxicity, and biodegradability. PHBV is synthesized through bacterial fermentation, positioning it as a promising and sustainable alternative to conventional petroleum-based polymers [8,9]. Its environmental benefits make it an attractive candidate for replacing traditional plastics in various applications. However, similar to other PHAs, the adoption of PHBV is hindered by certain limitations, including poor thermal and mechanical properties and high water vapor permeability [10]. These drawbacks limit its use in industries that require more durable and moisture-resistant materials, such as the packaging and automotive sectors. To overcome these challenges, several strategies have been explored, including chemical modifications, polymer blending, and the incorporation of fillers, which aim to improve PHBV’s performance and enhance its viability for more demanding industrial applications [2,7,11,12]. In this regard, incorporating natural fibers into the PHBV matrix has emerged as a promising strategy to enhance its properties. Researchers have increasingly focused on plant fibers as reinforcements due to their numerous advantages, including their abundance, low cost, low density, and favorable mechanical and thermal properties. Plant fibers such as spruce, olive stone, olive pomace, and flax have been investigated for their potential to improve the performance of PHBV, making it more competitive with conventional plastics [13,14,15,16]. These natural fibers not only enhance the mechanical properties of PHBV but also provide environmental benefits, as they are renewable, biodegradable, and contribute to a more sustainable lifecycle for composite materials. By integrating these fibers, the resulting composites can offer improved performance and reduced environmental impact, aligning with the growing demand for eco-friendly alternatives to traditional plastics. Ampelodesmos mauritanicus, commonly known as Diss, is a species from the Poaceae family and is one of the most abundant plant species along the Mediterranean coast [17]. This plant has gained significant attention due to its promising mechanical properties, hydric characteristics, and environmental sustainability. Recently, Diss has started to attract research interest, particularly in the fields of cement reinforcement [18] and polymer composites [19,20,21]. In their study, Zaid et al. [18] explore the use of Ampelodesmos mauritanicus (Diss) fibers in lightweight building materials. The fibers were treated with hot water to improve their compatibility with an air lime-based binder chosen for its low emissions. The results showed that, although compressive strength decreased, the addition of Diss fibers significantly improved flexural strength by 86.5% at an optimum fiber content of 3 volumes. The fibers also changed the mode of fracture from brittle to ductile behavior, improving the material’s toughness and deflection capacity, and making it suitable for lightweight construction applications. On the other hand, Nouri et al. [19] investigated the use of Diss fibers to reinforce polypropylene (PP). They tested various fiber treatments (acetic acid, silane, NaOH, thermal) at a 10% fiber content. The results showed that NaOH-treated fibers provided the best mechanical performance, with a 30% improvement in tensile modulus, a 22% increase in bending modulus, and a 9% enhancement in bending stress. When varying the fiber content, an improvement in tensile modulus was observed when the fiber content was below 20%. However, despite its potential, there is limited research exploring the use of Diss fibers as reinforcement in biodegradable polymers such as PHBV. Most studies have focused on more widely used fibers like flax or hemp, with only a few investigating the unique characteristics of Diss fibers and their potential role in enhancing the properties of biodegradable composites. This gap in research highlights the need for further exploration into how Diss fibers could improve the performance of sustainable materials, particularly in the context of biodegradable polymer-based composites. Given the promising properties of Diss fibers, this study aims to investigate their potential as reinforcements for PHBV biocomposites. Specifically, we will analyze the chemical structure of fibers extracted from Diss and assess their impact on the mechanical properties of PHBV composites with a fiber loading rate of 20 wt. %. This study aims to provide insights into how Diss fibers can enhance the performance of PHBV, contributing to the development of more sustainable and environmentally friendly composite materials. The results could offer valuable information for optimizing the use of natural fibers in biodegradable polymer-based composites, thus expanding their potential applications.

2. Materials and Methods

2.1. Materials Poly(3-hydroxybutyrate-co-3-hydroxyvalerate) (PHBV) granules with a 92:8 HB/HV molar ratio were provided by Tianan Biological Materials Co., Ltd. (Ningbo, China) and are designated as ENMAT Y1000P. According to the manufacturer’s technical data sheet, the key physical properties of this biodegradable polymer include a density of 1.25 g/cm3, a melting temperature (Tm) of 165 °C, and a glass transition temperature (Tg) of 8 °C. Diss (Ampelodesmos Mauritanicus) plant were collected in Bejaia, Algeria. 2.2. Fiber Extraction Diss fibers (DF) were extracted following the procedure described in our previous articles [13,22]. Briefly, the stems of the Diss plant were submerged in water for 25 days to facilitate the fiber extraction process. After this period, the fibers were manually extracted using a wire brush to separate them from the stems. Once extracted, the fibers were cut into lengths of approximately 5 to 7 mm using scissors (see Scheme 1). The fibers were then air-dried for 48 h to remove surface moisture, followed by a final drying step in an oven at 80 °C for 24 h to eliminate any residual moisture. This ensures that the fibers are fully prepared for use in the elaboration of biocomposites.
Scheme 1. Schematic representation of the different stages of fiber extraction from the Diss plant: (<b>a</b>) Diss plant, (<b>b</b>) retting, (<b>c</b>) fiber extraction and (<b>d</b>) ready-to-use Diss fibers.
2.3. Biocomposite Preparation PHBV granules and Diss fibers (DF) were pre-dried at 60 °C for 24 h to remove any moisture present, preventing potential hydrolytic degradation of PHBV during processing. After drying, the biocomposites were prepared by melt mixing at an 80/20 weight ratio of PHBV to Diss fibers. The mixing was carried out using a Brabender mixer (model W 50 EHT) under controlled processing conditions, which included a screw speed of 40 rpm, a residence time of 5 min, and a temperature of 180 °C. For comparative purposes, a neat PHBV formulation was also prepared under the same conditions. 2.4. Characterization Techniques 2.4.1. Density Measurement The density of Diss fibers was determined using the pycnometer method. In this procedure, the pycnometer is initially filled with ethanol, and the Diss fibers are subsequently submerged in the liquid. The mass of the pycnometer is measured both with and without the fibers, and the fiber density is calculated based on these measurements. The fiber density is subsequently determined using the following formula:
```latex\rho = \frac{m_{f}}{m_{a l c} - m_{\left(\right. f + a l c \left.\right)}}```
where: mf is the mass of the pycnometer filled with fibers, malc is the mass of the pycnometer filled with ethanol and m(f+alc) is the mass of the pycnometer filled with ethanol and fibers. 2.4.2. Attenuated Total Reflectance-Fourier Transform Infrared Spectroscopy (ATR-FTIR) The chemical structure of Diss fibers was analyzed using ATR-FTIR with an FTIR spectrometer (NICOLET IS50 FTIR, Waltham, MA, USA). Spectra were recorded in the 4000–600 cm−1 range with a spectral resolution of 4 cm−1, utilizing 40 scans in absorption mode. Samples were prepared as pellets using a manual press under a pressure of 10 kg/m2, and a diamond ATR crystal was used for direct sample exposure during the measurement. 2.4.3. X-ray Fluorescence Spectrometry (XRF) The SciAps X-200 X-ray fluorescence spectrometer (Andover, MA, USA) was employed to analyze the elemental composition of Diss fibers. This technique works by observing the interaction of atoms within the fibers with X-ray radiation, allowing for the identification and quantification of various elements present. 2.4.4. Atomic Force Microscopy (AFM) The roughness of PHBV and PHBV/Diss fibers biocomposites was studied using an Asylum Research Model MFP-3D AFM (Karlsruhe, Germany) at ambient temperature, over an area of 3000 μm2, with a scanning frequency of 0.5 Hz. Average roughness was calculated from the average height of irregularities observed in the direction perpendicular to the surface of the samples. 2.4.5. Tensile Test Tensile properties of neat PHBV and PHBV/Diss fibers biocomposites were assessed using the Zwick/Roell Model BZ2.5/TN1S test device (Ulm, Germany). According to ISO 527, tensile tests were performed in a laboratory with a temperature of 23 °C and 48% HR. The speed of loading was 1 mm/min. Each material underwent testing on a minimum of five specimens, and the results were expressed as mean values.

3. Results and Discussion

3.1. Density Measurement The density of Diss fibers was measured at 1.18 ± 0.01 g/cm3, similar to the value reported by Badagliacco et al. [23], who reported a density of 1.09 g/cm3. This value is notably lower than that of other commonly utilized fibers, such as kenaf (1.9 g/cm3), sisal (1.45 g/cm3), lin (1.4 g/cm3) and jute (1.3–1.5 g/cm3) [22]. It is important to emphasize that fiber density has a direct influence on the mechanical properties of composite materials [24]. Indeed, fibers with a higher density tend to enhance the rigidity and strength of the composite, making it more durable and robust. On the other hand, fibers with a lower density, like those of Diss, contribute to composites that perform better in terms of heat dissipation and impact resistance, which is beneficial for applications where lightweight and energy-absorbing properties are desired. This highlights the inherent trade-off between achieving high mechanical performance and maintaining lightweight characteristics in fiber-reinforced composites. 3.2. Attenuated Total Reflectance-Fourier Transform Infrared Spectroscopy (ATR-FTIR) The FTIR-ATR spectrum of Diss fibers (Ampelodesmos mauritanicus) was employed to analyze their chemical structure, as presented in Figure 1. A broad band observed at 3331 cm−1 is attributed to the stretching vibrations of hydroxyl groups (-OH) found in cellulose, as well as the presence of water molecules absorbed within the fiber structure. The peak at 2891 cm−1 corresponds to the stretching vibrations of CH₂ bonds, which are prevalent in both cellulose and hemicellulose. These vibrations are indicative of the methylene groups (-CH₂-) present in the polysaccharide chains of the fibers [13,25]. Further, two additional absorption bands are observed at 1770 cm−1 and 1239 cm−1. The band at 1770 cm−1 is commonly associated with the C=O stretching vibrations of acetyl groups, which are part of the hemicellulose structure, or with the carbonyl groups found in lignin. Similarly, the band at 1239 cm−1 corresponds to the C-O stretching vibrations of these acetyl groups or the carboxylic acid bonds present in lignin, a major component of plant fibers. These bands are significant as they highlight the presence of hemicellulose and lignin, which are key structural elements in the fiber matrix [26]. The combination of these absorption peaks confirms the typical chemical composition of plant fibers, which are primarily composed of cellulose, hemicellulose, and lignin, as extensively documented in the literature [27,28].
Figure 1. FTIR−ATR spectra of Diss fibers.
3.3. X-ray Fluorescence Spectrometry (XRF) Table 1 illustrates that the light substance (L.S) constitutes the main component of Diss fibers, accounting for 92.39%. This dominance can be attributed to the high concentrations of cellulose, hemicellulose, and lignin, which are vital polysaccharides contributing to the structural integrity of plant fibers, as confirmed by FTIR-ATR analysis. These polysaccharides form the backbone of plant cell walls, providing both strength and flexibility to the fibers. In addition to these primary components, the chemical composition of the fibers also includes important elements such as potassium (K), calcium (Ca), aluminum (Al), silicon (Si), and sulfur (S) [29]. Calcium, in particular, is considered an essential macronutrient in plants, playing a significant role in the formation of plant cell walls. According to Ipilakyaa et al. [30], calcium influences various mechanical properties of plant tissues, such as strength, stiffness, and permeability. This makes it a critical factor in determining the overall mechanical performance of plant fibers. By contributing to the rigidity and structural integrity of the plant, calcium helps improve the fiber’s ability to withstand external stress and environmental factors.
Table 1. XRF analysis of Diss fibers.
3.4. Atomic Force Microscopy (AFM) Figure 2a and 2b present AFM images of neat PHBV and PHBV/DF biocomposites, respectively. In Figure 2a, the surface of neat PHBV is observed to be relatively smooth, with some minor defects likely resulting from the fracture process. The surface roughness of the neat PHBV is measured at 65.12 nm, indicating a smooth texture overall. On the other hand, Figure 2b shows the surface of the PHBV/DF biocomposites, which exhibits a significant increase in roughness, measuring 148.26 nm. This increased roughness suggests the presence of Diss fibers and indicates that the addition of the fibers disrupts the smooth surface of the polymer. The notable increase in surface roughness is often associated with poor interfacial adhesion between the fibers and the polymer matrix [31]. Such weak adhesion can lead to inefficient load transfer during mechanical loading, which is consistent with the lower tensile strength observed in the biocomposites. These findings align with similar studies, such as that of Hachaichi et al. [31], who reported comparable results for high-density polyethylene (HDPE) biocomposites reinforced with date palm fibers. They also noted the formation of a relatively weak bond between the fibers and the matrix, further emphasizing the importance of improving interfacial adhesion for optimal composite performance.
Figure 2. AFM images of: (<b>a</b>) neat PHBV and (<b>b</b>) PHBV/DF biocomposites.
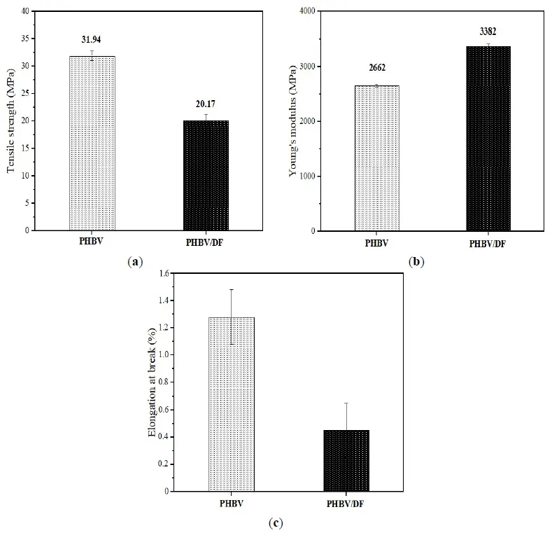
3.5. Tensile Test Figure 3a presents the stress histograms for PHBV and PHBV/DF biocomposites. The results indicate that the tensile strength decreases upon the incorporation of Diss fibers into the PHBV matrix. This trend is consistent with the findings of Mazur et al. [32], who observed a similar reduction in tensile strength when sisal fibers were incorporated into poly(3-hydroxybutyrate-co-3-hydroxyvalerate). The decrease in tensile strength is likely attributed to the poor adhesion and compatibility between the hydrophobic PHBV matrix and the hydrophilic Diss fibers [22], which results in weak interfacial bonding and less effective load transfer during mechanical stress. In this context, our previous publications [13,22] have investigated the effects of chemical modifications on Diss fibers and their influence on the properties of PHBV/Diss fiber biocomposites. The chemical treatment of Diss fibers, which includes the removal of non-cellulosic components and the improvement of fiber surface roughness, improves fiber-matrix interfacial bonding. These modifications improve the compatibility between fibers and matrix, which increases the tensile and impact strength of biocomposites. On the other hand, the Young’s modulus (Figure 3b) showed a significant increase of approximately 21.3% compared to the pure PHBV matrix. This enhancement can be attributed to the intrinsic stiffness of the Diss fibers, which contribute to the formation of a more rigid interface between the fiber and the polymer matrix [1]. As noted by Hassaini et al. [27], the improvement in Young’s modulus is often linked to better dispersion of the fibers within the polymer matrix, as well as the reinforcement effect provided by the fibers themselves. However, it is important to note that the increased stiffness of the biocomposites limits the matrix’s ability to deform elastically. This results in a reduction in the matrix’s capacity to undergo deformation in the elastic zone, thus affecting the overall flexibility of the composite material.
Figure 3. (<b>a</b>) Strength, (<b>b</b>) Young’s modulus and (<b>c</b>) elongation at break of neat PHBV and PHBV/DF biocomposites.

4. Conclusions

The aim of this article is to explore the feasibility and potential of using Diss fibers (DF) as reinforcement in biopolymer matrices, specifically PHBV, for the development of fully biodegradable biocomposites via melt blending, with a PHBV/DF ratio of 80/20 wt. %. The fiber density and chemical structure were analyzed using FTIR and XRF techniques, providing insights into the composition and molecular structure of the Diss fibers. The mechanical tensile properties of the resulting biocomposites were evaluated, and the Young’s modulus showed a significant increase upon the addition of the fibers, indicating enhanced rigidity. However, the tensile strength of the biocomposites decreased, which can be attributed to the poor interfacial adhesion between the Diss fibers and the PHBV matrix. This lack of strong bonding was further confirmed by AFM imaging, which revealed rougher surfaces and weak interfacial interaction between the fibers and the polymer. These findings highlight both the potential and challenges associated with incorporating Diss fibers into biopolymer matrices for biodegradable composite applications.

Acknowledgments

The authors would like to thank the Direction Générale de la Recherche Scientifique et du Développement Technologique (DGRSDT) and the Center for Scientific and Technical Research in Physicochemical Analysis (C.R.A.P.C), for their help in carrying out the various types of characterization. Also, the authors would like to thank Abdelhakim Benmekideche, Moncef Khitas, Boudjemaa Bensaadallah, Alane Arezki, Katia Aloui, Bénédicte Balcon, Anthony Magueresse and Hervé Bellegou for their assistance in the experimental work.

Author Contributions

Conceptualization, B.R.; Methodology, B.R.; Software, B.R.; Validation, B.R., I.Z., M.K. and S.B.; Formal Analysis, B.R., K.Y. and A.K.; Investigation, B.R., I.Z., M.K. and S.B.; Writing—Original Draft Preparation, B.R.; Writing—Review & Editing, I.Z., M.K. and S.B.; Visualization, B.R.; Supervision, I.Z., L.Z., K.Y., M.K., A.K. and S.B.

Ethics Statement

Not applicable.

Informed Consent Statement

Not applicable.

Funding

This research received no specific grant from any funding agency in the public, commercial, or not-for-profit sectors.

Declaration of Competing Interest

The authors declare that they have no known competing financial interests or personal relationships that could have appeared to influence the work reported in this article.

References

  1. 1.
    Alane A, Zembouai I, Benhamida A, Zaidi L, Touati N, Kaci M. Opuntia Ficus Indica Fibers as Reinforcement in PHBV Biocomposites. Mater. Today Proc. 2022, 53, 218–222. doi:10.1016/j.matpr.2022.01.030.[Google Scholar]
  2. 2.
    Remila B, Zembouai I, Zaidi L, Alane A, Yalaoui K, Kaci M, et al. Effect of PHBV-g-MA Compatibilizer on the Properties of Poly(3-Hydroxybutyrate-Co-3-Hydroxyvalerate)/Polylactide Blend/Diss Fibers Biocomposites. J. Polym. Sci. 2024, 62, 4587–4598. doi:10.1002/pol.20240406.[Google Scholar]
  3. 3.
    Alaerts L, Augustinus M, Van Acker K. Impact of Bio-Based Plastics on Current Recycling of Plastics. Sustainability 2018, 10, 1487. doi:10.3390/su10051487.[Google Scholar]
  4. 4.
    Meng M, Wang S, Xiao M, Meng Y. Recent Progress in Modification and Preparations of the Promising Biodegradable Plastics: Polylactide and Poly(Butylene Adipate-Co-Terephthalate). Sustain. Polym. Energy 2023, 1, 1–43. doi:10.35534/spe.2023.10006.[Google Scholar]
  5. 5.
    Zembouai I, Kaci M, Bruzaud S, Benhamida A, Corre YM, Grohens Y. A Study of Morphological, Thermal, Rheological and Barrier Properties of Poly(3-Hydroxybutyrate-Co-3-Hydroxyvalerate)/Polylactide Blends Prepared by Melt Mixing. Polym. Test. 2013, 32, 842–851. doi:10.1016/j.polymertesting.2013.04.004.[Google Scholar]
  6. 6.
    Chikh A, Benhamida A, Kaci M, Pillin I, Bruzaud S. Synergistic Effect of Compatibilizer and Sepiolite on the Morphology of Poly(3-Hydroxybutyrate-Co-3-Hydroxyvalerate)/Poly(Butylene Succinate) Blends. Polym. Test. 2016, 53, 19–28. doi:10.1016/j.polymertesting.2016.05.008.[Google Scholar]
  7. 7.
    Hassaini L, Kaci M, Benhamida A, Bruzaud S, Pillin I, Grohens Y. The Effects of PHBV-g-MA Compatibilizer on Morphology and Properties of Poly(3-Hydroxybutyrate-Co-3-Hydroxyvalerate)/Olive Husk Flour Composites. J. Adhes. Sci. Technol. 2016, 30, 2061–2080. doi:10.1080/01694243.2016.1168961.[Google Scholar]
  8. 8.
    Zembouai I, Kaci M, Zaidi L, Bruzaud S. Combined Effects of Sepiolite and Cloisite 30B on Morphology and Properties of Poly(3-Hydroxybutyrate-Co-3-Hydroxyvalerate)/Polylactide Blends. Polym. Degrad. Stab. 2018, 153, 47–52. doi:10.1016/j.polymdegradstab.2018.04.017.[Google Scholar]
  9. 9.
    Righetti MC, Cinelli P, Mallegni N, Stäbler A, Lazzeri A. Thermal and Mechanical Properties of Biocomposites Made of Poly(3-Hydroxybutyrate-Co-3- Hydroxyvalerate) and Potato Pulp Powder. Polymers 2019, 11, 308. doi:10.3390/polym11020308.[Google Scholar]
  10. 10.
    Xiang H, Wen X, Miu X, Li Y, Zhou Z, Zhu M. Thermal Depolymerization Mechanisms of Poly(3-Hydroxybutyrate-Co-3-Hydroxyvalerate). Prog. Nat. Sci. Mater. Int. 2016, 26, 58–64. doi:10.1016/j.pnsc.2016.01.007.[Google Scholar]
  11. 11.
    Miao Y, Fang C, Shi D, Li Y, Wang Z. Coupling Effects of Boron Nitride and Heat Treatment on Crystallization, Mechanical Properties of Poly(3-Hydroxybutyrate-Co-3-Hydroxyvalerate) (PHBV).  Polymer 2022, 252, 124967. doi:10.1016/j.polymer.2022.124967.[Google Scholar]
  12. 12.
    González-Ausejo J, Gámez-Pérez J, Balart R, Lagarón JM, Cabedo L. Effect of the Addition of Sepiolite on the Morphology and Properties of Melt Compounded PHBV/PLA Blends. Polym. Compos. 2019, 40, E156–E168. doi:10.1002/pc.24538.[Google Scholar]
  13. 13.
    Remila B, Zembouai I, Zaidi L, Alane A, Kaci M, Kervoelen A, et al. Investigations on Structure and Properties of Poly(3-Hydroxybutyrate-Co-3-Hydroxyvalerate)(PHBV) Reinforced by Diss Fibers: Effect of Various Surface Treatments. Ind. Crops Prod. 2024, 221, 119302. doi:10.1016/j.indcrop.2024.119302.[Google Scholar]
  14. 14.
    Berthet MA, Angellier-Coussy H, Machado D, Hilliou L, Staebler A, Vicente A, et al. Exploring the Potentialities of Using Lignocellulosic Fibres Derived from Three Food By-Products as Constituents of Biocomposites for Food Packaging. Ind. Crops Prod. 2015, 69, 110–122. doi:10.1016/j.indcrop.2015.01.028.[Google Scholar]
  15. 15.
    Dufresne A, Dupeyre D, Paillet M. Lignocellulosic Flour-Reinforced Poly(Hydroxybutyrate-Co-Valerate) Composites. J. Appl. Polym. Sci. 2002, 87, 1302–1315. doi:10.1002/app.11546.[Google Scholar]
  16. 16.
    Frącz W, Janowski G, Bąk Ł. Influence of the Alkali Treatment of Flax and Hemp Fibers on the Properties of PHBV Based Biocomposites. Polymers 2021, 13, 1965. doi:10.3390/polym13121965.[Google Scholar]
  17. 17.
    Badagliacco D, Sanfilippo C, Megna B, La Mantia T, Valenza A.  Mechanical and Thermal Properties of Insulating Sustainable Mortars with Ampelodesmos Mauritanicus and Pennisetum Setaceum Plants as Aggregates. Appl. Sci. 2021, 11, 5910. doi:10.3390/app11135910.[Google Scholar]
  18. 18.
    Zaid I, Merzoud M, Benazzouk A. Morphological and Mineralogical Analysis of Treated Diss Fibers and Their Effect on Physico-Mechanical Characteristics of Diss Concrete Based on Alternative Binder. Constr. Build. Mater. 2021, 307, 124936. doi:10.1016/j.conbuildmat.2021.124936.[Google Scholar]
  19. 19.
    Nouri M, Tahlaiti M, Grondin F. Effect of Chemical and Physical Treatments on Mechanical Properties of Diss Fibers-Based Biocomposites Materials. J. Nat. Fibers 2023, 20, 88–102. doi:10.1080/15440478.2022.2128148.[Google Scholar]
  20. 20.
    Touati Z, de Hoyos-Martinez PL, Belhaneche-Bensemra N, Charrier-El Bouhtoury F. Influence of Different Diss Fiber Treatments over the Properties of Poly Propylene/Recycled and Regenerated Low Density Polyethylene Based Biocomposites. J. Polym. Environ. 2020, 29, 291–303. doi:10.1007/s10924-020-01877-7.[Google Scholar]
  21. 21.
    Touam L, Derfouf S. Effect of the Varying Percentage Diss Fiber on Mechanical Behaviour of the Based Polyester Bio-Composite. Rev. Des Compos. Et Des Mater. Av. 2021, 31, 175–180. doi:10.18280/rcma.310309.[Google Scholar]
  22. 22.
    Remila B, Zembouai I, Zaidi L, Kervoelen A, Bruzaud S. Surface Treatment Effects on Morphological and Property Enhancements of Poly(3-Hydroxybutyrate-Co-3-Hydroxyvalerate)/Diss Fibers (Ampelodesmos Mauritanicus) Biocomposites. Polym. Compos. 2024, 116. doi:10.1002/pc.29113.
  23. 23.
    Yahmi A. Optimisation et Caractérisation d ’ Un Biocomposite PolypropylèneFibres de Diss Confectionné Par Extrusion. Mémoire de projet de fin d’études Pour l’obtention du diplôme d’ingénieur d’état en Génie des Matériaux 2021 Optimisati. Available online: http://repository.enp.edu.dz/jspui/handle/123456789/9965 (accessed on 14 July 2021).
  24. 24.
    Manimaran P, Sanjay MR, Senthamaraikannan P, Saravanakumar SS, Siengchin S, Pitchayyapillai G, et al. Physico-Chemical Properties of Fiber Extracted from the Flower of Celosia Argentea Plant. J. Nat. Fibers 2021, 18, 464–473. doi:10.1080/15440478.2019.1629149.[Google Scholar]
  25. 25.
    Madhu P, Sanjay MR, Senthamaraikannan P, Pradeep S, Saravanakumar SS, Yogesha B. A Review on Synthesis and Characterization of Commercially Available Natural Fibers: Part II. J. Nat. Fibers 2019, 16, 25–36. doi:10.1080/15440478.2017.1379045.[Google Scholar]
  26. 26.
    Fiore V, Scalici T, Valenza A. Characterization of a New Natural Fiber from Arundo Donax L. as Potential Reinforcement of Polymer Composites. Carbohydr. Polym. 2014, 106, 77–83. doi:10.1016/j.carbpol.2014.02.016.[Google Scholar]
  27. 27.
    Hassaini L, Kaci M, Touati N, Pillin I, Kervoelen A, Bruzaud S. Valorization of Olive Husk Flour as a Filler for Biocomposites Based on Poly(3-Hydroxybutyrate-Co-3-Hydroxyvalerate): Effects of Silane Treatment. Polym. Test. 2017, 59, 430–440. doi:10.1016/j.polymertesting.2017.03.004.[Google Scholar]
  28. 28.
    Larous A, Guessoum M, Nekkaa S, Fois M. Novel Biocomposites Based on El Retma Natural Fiber and Pla/Pc Mixture Compatibilized Using Samarium Acetylacetonate Catalyzed Interchange Reactions. Polym.Sci. Ser. B 2022, 64, 313–325. doi:org/10.1134/S1560090422200052.[Google Scholar]
  29. 29.
    Nielson KK, Mahoney AW, Williams LS, Rogers VC. X-ray Fluorescence Measurements of Mg, P, S, CI, K, Ca, Mn, Fe, Cu, and Zn in Fruits, Vegetables, and Grain Products. J. Food Compos. Anal. 1991, 4, 39–51. [Google Scholar]
  30. 30.
    Ipilakyaa T, Emmanuel TS, Bem NG, Terfa GD. Characterization of Alkaline Treated Raffia Palm Fibres as Reinforcement in Polymer Composite. Eng. Technol. J. 2024, 42, doi:10.30684/etj.2024.147130.1704. [Google Scholar]
  31. 31.
    Hachaichi A, Nekkaa S, Amroune S, Jawaid M, Alothman OY, Dufresne A. Effect of Alkali Surface Treatment and Compatibilizer Agent on Tensile and Morphological Properties of Date Palm Fibers-Based High Density Polyethylene Biocomposites. Polym. Compos. 2022, 43, 7211–7221. doi:10.1002/pc.26784.[Google Scholar]
  32. 32.
    Mazur KE, Jakubowska P, Gaweł A, Kuciel S. Mechanical, Thermal and Hydrodegradation Behavior of Poly(3-Hydroxybutyrate-Co-3-Hydroxyvalerate)(PHBV) Composites with Agricultural Fibers as Reinforcing Fillers. Sustain. Mater. Technol. 2022, 31, e00390. doi:10.1016/j.susmat.2022.e00390.[Google Scholar]
TOP