SCIEPublish

Local Production, Consumption, and Innovation: Enhancing Sustainability through SMEs in Japan

Article Open Access

Local Production, Consumption, and Innovation: Enhancing Sustainability through SMEs in Japan

Author Information
Graduate School of Media and Governance, Keio University, Fujisawa 252-0882, Japan
*
Authors to whom correspondence should be addressed.

Received: 17 August 2023 Revised: 07 October 2023 Accepted: 06 November 2023 Published: 15 November 2023

Creative Commons

© 2023 The authors. This is an open access article under the Creative Commons Attribution 4.0 International License (https://creativecommons.org/licenses/by/4.0/).

Views:12648
Downloads:3814
Citations: 2
Rural Reg. Dev. 2023, 1(2), 10008; DOI: 10.35534/rrd.2023.10008
ABSTRACT: The study focuses on the process of business development with the use of food tech and open innovation by Small and Medium-sized Enterprises (SMEs) in Japan to create a sustainable ecosystem in the regional economy. Production of alternative food materials is introduced in the new business of SMEs with the hope to reduce carbon footprint. SMEs need to create an SME ecosystem that integrates consumers as vital partners in the process of introducing new alternative food items to the market as agents of change. Innovative ways of inventing new food products involve the processes of sourcing ingredients, creating new recipes for alternative food products, and incorporating local food culture and methods of food preparation. Therefore, it is crucial for SMEs to involve local producers as well as consumers as stakeholders in innovation. Some case examples of SMEs producing plant-based alternative meats in Japan are reviewed in this study to highlight key factors impacting the outcome of innovation in the products and processes of SMEs seeking sustainable solutions. The significance of the study lies in acknowledging catalytic roles of SMEs in regional settings and interactive roles of consumers as product buyers as well as active players who consciously opt for certain products and modes of consumption driven by their inclination to support sustainability. Based on the findings of the study, some policy suggestions are also made for enhancing sustainability and revitalizing the local economy through SMEs. 
Keywords: Sustainability; Local Production; Innovation; SMEs; Food Tech; Japan

Graphical Abstract

1. Introduction

1.1. Climate Change Endangers Food Security Climate change due to human activities escalating global warming has created a grave concern for food security. We are living in a world in a climate emergency where the concentration of greenhouse gas (CHG) emissions in the atmosphere play havoc to threaten lives, economies, health, and food globally. Globally, we are not able to secure a global temperature rise below 2 °C, aiming for 1.5 °C as promised in the Paris Agreement, with demands from countries to cut 30 gigatonnes of CHG emissions annually by 2030 [1]. Japan accounts for 2.57% of global CHG emissions, emitted 1270.21 million tonnes in 2018, only behind China, the U.S.A., India, and Russia in that order [1]. The carbon dioxide content in the atmosphere has increased by 25% in less than 200 years due to human activities. It recorded 365 parts per million (ppm) in 2002. There has been more than a 15% increase with a recording of 420 ppm in 2023 [2]. Food security has been a major concern for Japan. Japan is a major donor and the third largest contributor to the FAO, a specialized agency of the UN in the fields of food and agriculture, making efforts to provide development assistance in the areas of food and agriculture while strengthening global food security, creating international rules that include food safety standards [3]. 1.2. Local Food Production and Consumption with Technological Inputs As international trade in food products continues to develop, it is beginning to be confirmed that the distance between the point of origin of food products and the point where they are consumed is increasing. In particular, the total amount of Carbon dioxide (CO2) emitted from international trade in food products accounts for a high percentage of the total amount of CO2 emitted from the food transportation sector [4]. Given this background, it is highly reasonable to strongly recommend local production for local consumption of food in Japan, not only in the context of food security but also in the context of sustainability. Japan’s self-sufficiency of food in terms of calorie bases published by the Ministry of Agriculture, Forestry and Fisheries, has been on a long-term declining trend, having reached 38% in the fiscal year of 2019. Japan needs to achieve the optimal ratio of import to local agricultural production in order to ensure a stable food supply for its populace [3]. It is necessary to understand the status quo of the level of self-sufficiency of daily consumed food items in Japanese society. For example, while demand for rice continues to decline in Japan, demand for pork, chicken, and beef has generally continued to increase. On the other hand, the self-sufficiency rate is not so high: 35% for beef, 49% for pork, and 64% for poultry by weight. If feed self-sufficiency is also taken into account, the self-sufficiency rates are very low: 9% for beef, 6% for pork, and 8% for poultry. It is desirable from the standpoint of sustainability to reduce the overall demand for such products by locally producing and consuming alternative foods [5]. 1.3. New Business Outlook of Japanese SMEs Driven by the COVID-19 Pandemic In Japan, SMEs and small businesses account for 99.7% of all companies [6]. The COVID-19 Pandemic has impacted SMEs in Japan severely with decreased revenues, especially in four interpersonal industries involving interpersonal contacts, namely, hospitality industry, food service industry, life-related service industry, and entertainment industry [7]. The initial phase of the COVID-19 Pandemic saw the acceleration of shutting down the business by aging business owners who could not find business successors and resolved to opt for voluntary exit from business [8]. On the other hand, digitalization and business restructuring brought major changes to SMEs in Japan. The crisis also made the issue of carbon neutrality a good business opportunity, urging some SMEs to deal with the issues of carbon dioxide emissions through innovation [9]. The price hikes and labor shortages greatly affected small businesses in Japan [10]. These challenges drove SMEs to try innovative ideas both in business processes and production. In consideration of this latest trend, this study focuses on the process of business development with the use of food tech and open innovation by Small and Medium-sized Enterprises (SMEs) in Japan. We review the process and production of SMEs aiming to create a sustainable ecosystem in the regional economy. This study tries to highlight the key issues that would possibly throw light on the points of discussion to ameliorate some shortcomings in enhancing sustainable economic activities by SMEs in Japan that could drive the local economy. 1.4. Innovation, Product Innovation, and Business Process Innovation SMEs’ innovation and business establishment in regional areas have been acknowledged in the White Paper published in 2023. Tasks for SMEs and small businesses are to focus on (1) appropriate passing on of costs to their product/service prices, (2) wage increase, and (3) securing a fund source. It was acknowledged as necessary to make efforts for innovative activities such as differentiation from competitors and expanding sales channels [10]. According to the Department of SMEs under the Ministry of Economy, Trade and Industry (METI), the National Institute of Science and Technology Policy by Ministry of Education, Culture, Sports, Science and Technology, Government of Japan, innovation is defined as “a new or improved product or process (or combination thereof) that is significantly different from the unit’s previous products or processes and is made available to potential users, things (products) or things put into use by the unit (processes).” Product innovation is defined as “a new or improved product or service that is considerably different from the company’s previous product or service and introduced in the market.” As for the definition of business process innovation, it indicates “a new or improved business process for one or more business functions that are significantly different from previous business processes and is available within the enterprise [10].” Based on these definitions, the study intends to analyse the role of SMEs in regional settings in Japanese society to play a role of catalyst to create new impetus in the regional economy. 1.5. Regional Revitalization of SMEs—Innovative Approaches Towards Sustainability and Self-sufficiency in Food The theme of the study is sustainability through regional revitalization where SMEs can play the role of a catalyst. This study focuses on the process of business development of SMEs in a regional context. Being self-sufficient in food procurement is important for any society to be sustainable. Active promotion of the production of commodities with low food self-sufficiency ratios is significant and attainable by reducing the cost of local production for local consumption, with the help of technological development and innovative ideas. How SMEs’ business development as a process transformation could address the issues of the environment as well as the local ecosystem of innovation? This study has chosen three SMEs in different parts of Japan focusing on developing their business by capitalizing on newly introduced products and processes while utilizing tested local knowledge and tradition. 1. Challenges and Opportunities for SMEs towards Sustainability: The authors chose relevant case studies to reveal the challenges and opportunities for SMEs in adapting innovative products and processes, which, as a result, would enhance sustainability in the regional economy. 2. Application of Innovation: the study analyses the processes of how innovation has been applied to maximize the potential of local resources and local stakeholders through the businesses of SMEs. 3. Highlighting the Factors for SME Resilience and Innovation: the study attempts to find out crucial factors that could make local SMEs resilient and innovative enough to be able to support local communities.

2. Methodology

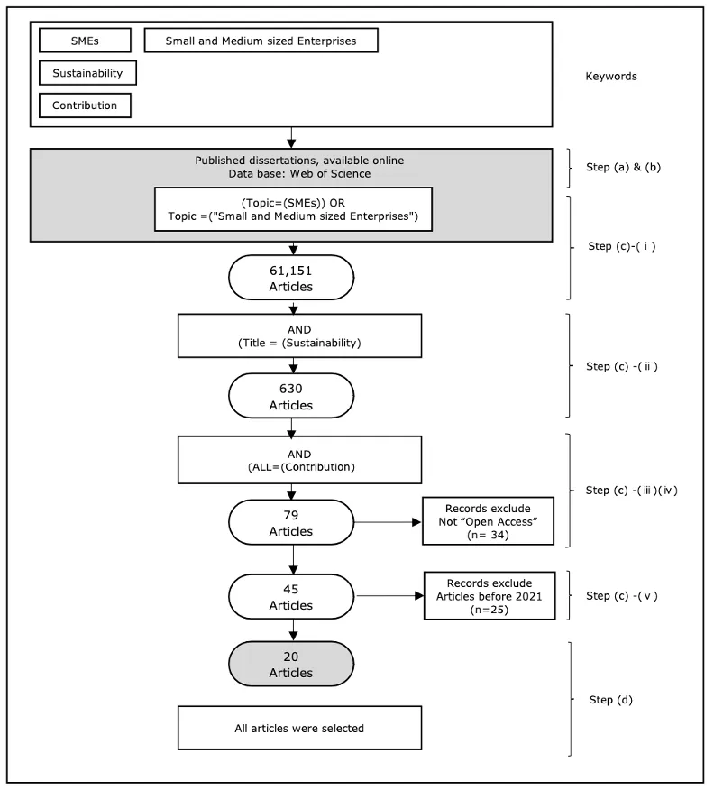
The study has focused on the role of SMEs in rejuvenating the regional economy through the production and sale of alternative food materials developed with innovation through food tech. Our queries have focused on the following points: 1. Environmental impact: The products of alternative food materials that would reduce carbon footprint. 2. Local implications: The SMEs have been sourcing local materials, knowledge, and experience to implement innovation in the form of products and production processes. 3. Sustainability: by incorporating innovation through food tech, how the SMEs have contributed to the local economy. The study consists of three parts: literature review, case examples, and analysis based on findings. The purpose of the literature review is to critically analyze the link between SMEs and sustainability. In particular, it is to identify (1) how SMEs can contribute to the sustainability of local regions, (2) what are the challenges in achieving this contribution, and (3) what should be emphasized in enhancing sustainability and achieving regional revitalization. This review was conducted using the methodological model proposed by Brocke et al (2009) in their study on the importance of rigor in documenting the literature search process. They proposed a five-phase methodological model for this process: (1) definition of the review scope; (2) conceptualization of the topic; (3) literature search; (4) literature analysis and synthesis; and (5) research agenda [11]. This framework is described in the following sections. To define the scope of the literature review, an established taxonomy for literature reviews by Cooper (1988) [12] was used. (a) Focus: The purpose of this literature review is to understand the link between SMEs and sustainability. (b) Goal: The goal is to identify SMEs’ contributions to sustainability, their challenges, and ways to enhance them. (c) Perspective: This literature review was conducted to understand how recent reliable articles on the subject of SMEs address sustainability. The study does not focus on the objectives of individual articles. (d) Coverage: A variety of themes related to SMEs and sustainability were addressed. The objective was to understand the issues that are common to them. The following keywords were used in understanding the main theme of the subject matter of this research, namely, SMEs, Sustainability, Contribution. The following steps were implemented (refer to Figure 1) using the methodological model of Brocke et al. (2009) [11] for the literature search: (a) choose the database source; (b) choose the type of sources (books, dissertations, articles); (c) choose keywords and search criteria; (d) evaluate the sources. (a) Database source: Online search using Web of Science [13]. (b) Open access papers searchable on the Web of Science. (c) The following steps were used to set search criteria and extract articles. (i) First, a search was conducted using “(Topic = (SMEs)) OR Topic = (“Small and Medium sized Enterprises”)” to identify articles in the Web of Science. The search resulted in 61,151 papers. (ii) Next, a search was conducted using “(AND (Title = (Sustainability))” to identify papers related to sustainability. By adding “sustainability” to the search criteria could focus on the research theme. The search resulted in 630 papers. (iii) In this context, we decided to identify papers that include “Contribution” as an element. The reason for this is to further narrow down the literature by targeting papers that explicitly address the theme of “contribution.” The search was conducted using “(AND (ALL = (Contribution))” The search resulted in 79 papers. (iv) Since we included papers for which the main body of the paper was available, papers that were not open access were excluded. As a result, 45 articles were included. (v) Finally, the objective of this research was to identify recent trends in the subject matter of this research, the search was limited to papers from 2021 onward. The search resulted in 20 results. (d) Among the 20 papers listed above, we conducted our analysis on all papers. (e) In addition to this, a complementary analysis was conducted through the analysis of several articles published in 2022-2023 to ensure that the results of the literature review analysis are consistent with recent studies. Using the Web of Science database, articles on the topic of SMEs and environmental sustainability were extracted.
Figure 1. Steps of the literature search process. Source: Authors.

3. Literature Analysis

The 20 papers included in the literature review could be broadly classified into two categories: (a) those discussing the sustainability of SMEs themselves, and (b) those discussing how SMEs contribute to environmental, economic, and social sustainability. Of the 20 papers, 1 paper was a comprehensive literature review, 10 papers fell under (a), and 9 papers fell under (b). All of the papers that could be categorized under (a) aimed to examine the factors affecting the sustainability of SMEs. ● Heenkenda et al. (2022) analyzes the sustainability factors of entrepreneurship in SMEs [14]. ● Also, Al-Qahtani et al. (2022) [15], da Rocha et al. (2022) [16], Pandya and Kumar (2023) [17], Hernita et al. (2021) [18] presents the following issues as drivers of sustainability in SMEs: economic participation of diverse human resources (e.g., women’s economic participation), “strategy,” “product and process design,” “energy and material resources,” “human resources,” “smart production,” and “supply chain,” and as technology areas, Artificial Intelligence, Big Data Analysis, and Internet of Things are discussed. ● In Heenkenda et al. (2022) [14] and Khurana et al. (2022) [19], the characteristics of SMEs are innovation capacity and disruptive technology. ● Also in Acosta-Velasquez et al. (2022), the capability of human resources in achieving sustainability in SMEs is discussed [20]. ● On the other hand, papers categorized under (b) can be divided into those that discuss how SMEs affect environmental and regional sustainability and those that discuss the skills and competencies required to do so. ● In Al Doghan et al. (2022), environmental sustainability and environmental performance through the direct and indirect use of organizational environmental culture are investigated [21]. ● In Bianchi and Testa (2022) [22], Boeske and Murray (2022) [23], Mouritz et al. (2022) [24], and Munoz-Pascual et al. (2021) [25], studies are on the capabilities required of human resources in contributing to sustainability by SMEs. ● For example, cognitive models, learning mindsets, leadership, knowledge, motivation, and relationships. Briamonte et al. (2021) [26] and Curado and Mota (2021) [27] analyze the potential for the characteristics of SMEs to contribute to sustainability. ● Importance of stakeholder integration and lean decision-making is also discussed in Hossain et al. (2022) [28] and Liu et al. (2022) [4]. ● Finally, these classifications were also generally consistent with the four clusters presented in Martins et al. (2022) [29], a comprehensive review of the literature addressing the topic of sustainability in SMEs. The clusters presented here are: (1) Sustainability and SME performance; (2) Green and environmental management issues; (3) Social and cultural issues and their impact on sustainability policy; (4) Values, skills, and capabilities. 3.1. Contribution to Sustainability A cross-sectional analysis of the above papers identifies issues related to SMEs and sustainability. SMEs, especially small and medium agro-food businesses (SMABs), contribute to the sustainability of their regions and the environment in many ways. A vision for sustainable food and agriculture (SFA) based on five principles which are aimed at providing a basis for developing policies, strategies, regulations, and incentives that enable SFA and rural development: (1) Increasing the productivity, employment, and value addition in food systems; (2) Protecting and enhancing natural ecosystems; (3) Improving livelihoods and fostering inclusive economic growth; (4) Enhancing the resilience of people, communities, and ecosystems; (5) Adapting governance to new challenges [30]. ● SMABs play an essential role in improving and revitalizing rural contexts [31], responding to a growing world population’s food demand, and fostering inclusive growth [32]. The role of SMABs has become increasingly more decisive, being the backbone of many rural societies, promoting innovation, and playing a central role in national food and economies [26]. ● Such a trend is also true for SMEs as a whole, organizations driven by sustainability competitiveness are likely to improve their performance related to energy and waste management, increase production and decrease sources of input, introduce eco-products, and implement ecological labeling and green marketing [33], and as producers, they will be central stakeholders in achieving an optimized, zero-waste production and distribution system [34] because they are likely to design business systems that reduce environmental impacts [35]. ● In this way, SMEs can contribute to local production while becoming drivers of consumption in those areas, contributing to the local economy through employment and other benefits, and contributing to environmental sustainability. 3.2. The Challenges of SMEs On the other hand, SMEs also have as their characteristics factors that pose challenges in demonstrating such SMEs’ contributions. It is a challenge in the size and decision-making of SMEs. (1) There is the absence of an institutional environment, the absence of perceived business benefits deriving from sustainability practices, and the unavailability of framework and guidelines to support SMEs specifically in terms of planning, monitoring, and evaluating their business sustainability [36]. (2) Furthermore, SMEs tend to be owner-managed and personalized, independent, multi-tasking, cash-limited, and based on personal relationships and informality, grouped in local systems of production, closely connected to their local community, and with limited access to financial resources [37] and are greatly dependent on individual manager’s decisions contrary to large companies [38]. (3) While sustainability-related practices in most SMEs are informal, undertaken on an ad hoc and local basis, and are not integrated within the core business strategy [39], the use of sustainability management tools and frameworks is poorly developed in most of the SMEs given that they are principally conceived for large companies and do not address the specific needs of SMEs [36]. In other words, the strengths of SMEs in contributing to sustainability are inextricably linked to their weaknesses in management. 3.3. Enhancing Sustainability and Regional Revitalization So, what should these SMEs keep in mind when enhancing sustainability and contributing to regional revitalization? The following discussion points are presented to enhance the sustainability and regional revitalization that SMEs can achieve. (1) Using disruptive technology and knowledge creation as the link between innovation capability and SME sustainability. (2) Improving the governance and economic management of SMEs. (3) Improving the expertise and skills of the workforce regarding the mastery of technology. (4) Optimizing the use of business capital to make production more effective and efficient. (5) Identifying consumer needs and improving the innovation and creativity of SME actors for exploiting broader potential market opportunities. (6) Increasing business productivity and the quality of the products and their packaging to increase their competitiveness. 3.4. Sustainability of SMEs and Innovation To enhance the sustainability and regional revitalization that SMEs can achieve, the following discussion points are presented. Product innovation (a) Identifying consumer needs and improving the innovation and creativity of SMEs actors to allow them to reach a broader potential market (b) Increasing business productivity and the quality of the products and their packaging to increase their competitiveness Process innovation (a) Reviewing and evaluating the business processes developed by SMEs for economic diversification (b) Improving the governance and economic management of SMEs (c) Improving the expertise and skills of the workforce regarding the mastery of technology (d) Optimizing the use of business capital to make production more effective and efficient Therefore, the sustainability achieved by the Japanese food sector may also be evaluated based on the above-mentioned perspectives. 3.5. Research Trends in Recent Years Every study used statistical methods to analyze the factors contributing to SMEs’ environmentally, economically, and socially sustainable business activities. SMEs represent a large share of the local economy, and their overall sustainability significantly impacts the region’s sustainability as a whole. SMEs must also improve funding, research and development, and use of advanced technologies. However, on the other hand, they have strengths in flexibility in decision-making and a high degree of contact with the external environment. In Yadegaridehkordi et al. (2023), it is proven that the activities of SMEs that are active in innovation that contribute to environmental sustainability have a favorable effect on the region’s environmental, economic, and social performance [40]. Similarly, Rehman et al. (2022) supported that environmental sustainability orientation improves firm performance and is a significant predictor in demonstrating environmental performance [41]. Furthermore, Dey et al. (2022) found that circular economy is positively correlated with the economic performance of SMEs and that they may achieve higher environmental performance by adopting circular economy measures [42]. On the other hand, as challenges in achieving this, it is necessary to consider the lack of resources of SMEs and the impact of management’s perception. In response, Artin (2022) [43], Fahad et al. (2022) [44], and Rodríguez-Espíndola et al. (2022) [45] all suggest measures such as the provision of training, networking, and collaboration opportunities by governments and others. The literature review results above are discussed in each of these papers. In every paper, the literature review results above are considered to be supported to a certain extent.

4. SMEs in Japan

4.1. Contributions of SMEs in Japan The small and medium-sized enterprises (SMEs) in Japan have played a crucial role in the miracle and development of the modern economy after the war. The Small and Medium Enterprise Basic Act (Act No. 154 of 1963: Amended on December 3, 1999) provides the general framework for defining SMEs [46], specific criteria based on the number of employees and capital or sales are defined [47]. In Japan, SMEs represent an impressive 99.7% of all businesses and employed 32 million individuals, or approximately 68.8% of the private sector labor force, in 2016 [48] as indicated in the Table 1 below.
Table 1. Number of firms by size in Japan, 2016.
While SMEs are significantly contributing to job creation, innovation, and overall economic growth, it is pertinent to note the fact that OCED (2022) has reported that SME bankruptcies account for more than 99% of all bankruptcies in Japan [48]. Between 2007 and 2020, in 2018 when the global financial crisis hit Japan, the number of bankruptcy was recorded at 15,523 enterprises, showing a 50% reduction in 2020 to 7769 enterprises [48] (Statlink: https://doi.org/10.1787/8889343065280), which was the first time in 30 years the number decreased below 8000. It is, however, also reported that voluntary exits are connected to aged owners closing the firms or exiting from the business by finding business successors. It should be also noted that potentially healthy firms would also exit from the business if the costs of searching exceed the benefits of finding successors and continuing business [50,51]. 4.2. SMEs for Regional Products, Alternative Food Materials, and Innovation ● In this section, case examples of SMEs producing plant-based alternative meats in Japan are reviewed to highlight key factors impacting the outcome of innovation in the products and processes of SMEs seeking sustainable solutions to reduce carbon footprints. ● Plant-based meat substitutes have been found to have on average 50% lower environmental impact [52]. ● SMEs’ R&D and innovation need to be reviewed with some case examples. Three emerging companies working in the field of the food industry and engaging themselves with the production of alternate food materials are to be studied in this research, namely, DAIZ, 55 Liberty, and NEXT MEAT. ● Since the information related to the applied food technology of 55 Liberty could not be found on the Internet, a scheduled telephonic interview was conducted with the general manager of special sales of Kongo Group. 4.2.1. DAIZ (1) The Enterprise: Established as a startup headquartered in Kumamoto in 2015, DAIZ specializes in the production of alternate food materials, called MIRACLE MEAT. They have their Mashiki Plant in Kumamoto and their research institute at the Kumamoto University Collaboration Incubator. They also have branch offices in Tokyo and Fukuoka. The full-scale vegetable meat business started in December 2019. There are around 35 employees [53]. (2) Technology Applied: Its Ochiai High-Pressure Method not only enhances the taste and nutritional value of soybeans but also reduces their odor and makes them more digestible. Thanks to its technological innovation, its production has become far more efficient. DAIZ’s innovative food technology contributes to the improvement of sustainability in the food industry. (3) The Product: “Miracle Meat” is a type of plant-based meat made from soybeans as an alternative food material with lower greenhouse gas emissions compared to livestock farming. DAIZ’s “Miracle Meat” uses sprouted soybeans sourced from Kumamoto Prefecture, exemplifying the utilization of local agricultural products as regional products. (4) The Resources: By building collaborative relationships with local farmers, DAIZ promotes the formation of regional brands and the revitalization of the local economy. (5) The Market: DAIZ’s products are rich in soy-derived proteins, contributing to the increasing demand for meat substitutes. Collaborations such as that between DAIZ and Anshin Shokuhin foster cooperative relationships among local businesses and promote the revitalization of the regional economy. On the other hand, the partnership with Taiwan Mos Burger enhances its market reach to the neighboring country as an international outlet. (6) Contribution to sustainability: DAIZ places importance on collaborating with local SMEs, contributing to the growth and development of the regional economy. The utilization of plant-based meat contributes to the reduction of greenhouse gas emissions and the realization of a sustainable food system. DAIZ is contributing to local employment and the revitalization of agricultural industries by constructing a new factory in Kumamoto Prefecture [54]. 4.2.2. Kongo Group (55Liberty brand) (1) The Enterprise: 55Liberty [pronounced as Go-go Liberty, partially in Japanese] is a sustainable food brand of Kongo Group. Kongo Group runs traditional Japanese food restaurants and the alternate meat business is a value addition for the development of environmentally friendly food products. In 2021, Kongo Group created “Okakon Meet,” a regional ingredient originating from Aomori Prefecture, which is made primarily from okara (soy pulp) and konjac [55,56]. Adapting the technology of Okara Konjac®, popular local food in Aomori whose ingredients are sourced locally. Kongo Group publicizes it as suitable for the “SDG era” in consideration of “environmental conservation” [57,58]. It aims to create a niche market for the elderly community in the local area who can afford to choose healthy alternatives to meat consumption in their locality. (2) Technology Applied: Technology belongs to Ms. Tetsuko Okada, the owner of Aomori-based vegetarian food research company who invented Okara Konjac® and registered it as Intellectual Property in 2003 as an entrepreneur [59,60]. Soluble dietary fiber from konjac with insoluble dietary fiber from okara. Okara Konjac® product usage has been promoted through the certification course institutionalized by her company, having offered Okara Konjac® Myster Certificate to more than 1000 people all over Japan as well as abroad [59]. Kongo Group received a subsidy from the government to procure several machines worth 20 million Japanese Yen to produce “Okakon Meet”, which was necessary for them to produce to cater to the requirements of dispatching products to different parts of Japan. (3) The Product: 55Liberty offers a product called “Okakon Meet” in six variations: Meat Sauce, Keema Curry, Green Curry, Gapao Rice, Taco Rice, and Mapo Don [61]. These products are available in retort pouches, with each pack containing 180 grams and priced at 800 yen. The “Okakon Meet” products are sold under the brand name “55Liberty” and can be found in various Kongo Group stores as well as through the Uber Eats platform. (4) The Resources: “Okakon Meet” is an alternative meat product made primarily from okara (soy pulp), that used to get discarded as food loss and konjac. Okara Konjac® is a food fiber material made by combining konjac powder and soybean husks, which imposes less environmental burden compared to conventional meat [62]. 55Liberty offers a wide range of products, including retort pouch items and burger kits, using Okara Konjac® to meet the demand for alternative meat products. (5) The Market: There are many local enterprises, including the Kongo Group and 55Liberty, that sell “Okakon Meet” products revitalizing the local economy. The Kongo Group’s vending machines and restaurants facilitate the distribution and provision of these products within the region, supporting the development of the local food industry. Companies based in Aomori Prefecture are dedicated to the development of environmentally friendly food products, combining advancements in food technology to create new opportunities in the food market. This factor has played a favorable role in promoting the product of 55Liberty. (6) Contribution to sustainability: By utilizing local ingredients and expertise, they contribute to local employment and economic growth. The development of “Okakon Meet” involves innovative initiatives by 55Liberty towards sustainable development goals (SDGs) and climate change mitigation [63]. The local people are not interested, and the company has been producing it without machines, making it a bit costly. But the awareness among some educational institutions has led to inviting the company to give lectures on SDGs to their students. 4.2.3. NEXT MEATS (1) The Enterprise: NEXT MEATS is a Japanese alternative meat company that has gained global attention. It started as a food tech venture based on research and development. Seven months after its establishment, it got listed in the American Stock market [64]. The two founders leverage a research and development network combining biotechnology and mechatronics. Through the convergence of biotechnology and mechatronics, NEXT MEATS is pioneering the development of a new era of alternative meat, creating innovative dietary standards to address climate change, global environmental concerns, and food crises. It was the first enterprise selected for the VegTech™ from Japan in 2021 [65,66]. (2) Technology Applied: NEXT MEATS utilizes cross-cutting technologies, including life sciences, food engineering, and genetic engineering, to drive the development of the next generation of alternative meats. The collaborative efforts of NEXT LAB’s multidisciplinary team and partnerships with external companies and university experts further enhance their research and development capabilities. (3) The Product: Popular products include NEXT Burger, NEXT Gyudon (beef bowl), and NEXT Eats. It utilizes domestically and internationally sourced soybeans for product development. The line-up includes the world’s first plant-based barbecued meat, beef bowl, chicken, burger, pork and tuna types. NEXT MEATS is expanding globally through e-commerce, supermarkets, and restaurants. The product range is constantly upgraded and continues to evolve, for example by collaborating with famous chefs to develop recipes unique to alternative meats. (4) The Resources: NEXT MEATS uses soybeans and green peas as the main ingredients. They offer a wide range of products, including minced meat alternatives as well as sliced and block types, all 100% plant-based. In the future, they plan to explore alternative proteins such as microalgae, including Spirulina, in addition to plant-based proteins. (5) The Market: NEXT MEATS focuses on research and development of alternative meat and achieved a rapid listing on the American market. In 2022, they started to collaborate with an Indian food-tech start-up, Vegan Meat India Private Limited, to launch meat-free alternatives to reduce carbon footprints. Online retail in 5 cities, Delhi/NCR, Bangalore, Hyderabad, Pune, and Mumbai have been launched. They will introduce plant-based cakes, vegan cheese, tuna, egg, and soya milk [67]. (6) Contribution to sustainability: NEXT MEATS aims to solve global social issues while considering the Earth’s environment by proposing sustainable food options. They collaborate with various local enterprises, including “Kuuben Koubou” (Air Bento Factory) and “Kushikatsu Tanaka” (a popular Kushikatsu chain). Through these partnerships, they jointly leverage local companies’ unique characteristics and expertise to develop and distribute new alternative meat products.

5. Findings and Discussions

5.1. Market Acceptance and Consumer Awareness It is important to gauge how innovation could be accepted by local producers as well as local consumers. To increase the number of buyers of a new product, the new branding and positive localization of food materials could be helpful to penetrate the market with an innovative product. Once the novelty of a product ceases, what matters for the introduced product is to survive and thrive in the market. It depends on its usability and acceptability in daily consumption. It is in this context a product could become an everyday choice: its sales could be sustainable. The necessary strategies are as follows: ● Gaining market acceptance for innovative food products, including plant-based and alternative meats. ● Educating consumers and raising awareness about the benefits and sustainability aspects of these products. 5.2. Supply Chain and Sourcing The market is not necessarily restricted to local consumption if the sale of the products is consistent enough to sustain the business of alternative meats. The ingredients and the methods of preparing locally-sourced materials could represent regional culture and be connected to locally available resources, but, in a way, it also helps the products to be sold beyond the locality. It is crucial to capture a sizable market to make the business of alternative meat products sustainable. The necessary strategies are as follows: ● Establishing a reliable and sustainable supply chain for alternative food ingredients. ● Sourcing high-quality, locally produced ingredients at scale. 5.3. Cost and Price Competitiveness The novelty of being a new product would soon phase out as the consumers try to adapt it as a part of daily usage. To make a new product of alternate meat to be preferred by regular customers, it is necessary to secure price competitiveness while maintaining the quality of the product. The technological inputs and investment required for the production of alternative food items are required for producers to constantly explore market opportunities. This part could also depend on external factors such as the shortage of previously readily available food items increasing the demand for alternative food items. The necessary strategies are as follows: ● Addressing the higher costs associated with developing and producing alternative food products by getting subsidies from the government/funding sources. ● Networking and collaborating with local producers, SMEs, and local social, educational, cultural, and financial institutions for open innovation. 5.4. Scaling and Distribution The market for alternative meat has not fully developed in local markets. The production of alternate meats necessitates further exploration of the market. This trend could be possibly altered because of (1) awareness about the positive impact on carbon footprint, and (2) preference and adaptation of alternate food materials due to necessity. As of now, the following strategies could be workable: ● Building partnerships with retailers, distributors, and restaurants to reach a wider market. ● Overcoming logistical challenges, such as cold chain distribution and storage. 5.5. R&D and Innovation Compared to larger firms, SMEs have disadvantages in R&D and innovation which could be possibly compensated through public policies in terms of financial, networking, and IPR support programs [68]. The findings are summarized in Table 2 below: the shaded cells suggest possible collaborations between producers and customers, namely, through open innovation, a culinary adaptation of local food culture, new branding of products, and creating a local supply chain. Local workplace and local workforce in the production process and local sourcing and local consumption regarding the supply of the ingredients could also enhance interactions between producers and customers as well as help establish a local supply chain.
Table 2. Tasks for sustainability for SME/Start-up producers and consumers of plant-based meat alternatives. Source: Authors.
5.6. Towards Product Innovation and Customer Participation SMEs can promote entrepreneurial initiatives by enabling opportunity recognition and exploitation through customer participation: this could enhance product innovation where organizational culture treats customers as creators of entrepreneurial initiatives, training, and communication to strengthen the mindset and skills that facilitate the integration and transformation of customers’ knowledge [52]. In 2022, one-third of SMEs in Japan reported that knowing the core technology led to a successful implementation of innovation [69]. Such a process could be enhanced by integrating the consumers in the process of ideation, production as well as communication about the products for sustainability. Reducing food’s environmental impact could have multiple ways of mitigation on the part of the producers by monitoring their impacts and communicating their impacts to the customers, while the dietary change from animal products to vegetable substitutes on the part of the consumers could be sought [70].

6. Conclusions

To create an SME ecosystem that integrates customers as vital partners, there should be several steps to be taken in introducing new alternative food items. Not only products but the processes of sourcing ingredients, creating new recipes for alternative food products, and incorporating local food culture and methods of food preparation, could actively engage local producers with local consumers. Chen and Liu (2020) suggest, based on 195 SMEs data analysis in China, that it is customer participation that could ease the burden on SMEs to cope with substantial pressure from their customers to be able to offer innovative green products, positively rewarding SMEs in terms of giving recognition to the SMEs as well as enhancing their business opportunities, reasoning green product innovation and stakeholder management could be theoretically as well as practically vital [71]. This study shows stakeholder engagement plays a crucial role for enhancing the capacity and reach of the SME business in the regional economy. While trying to find innovative approaches to address to the issues of food security through creating space for local SMEs to contribute in creating sustainable ways of local food production and consumption, Japanese SMEs of the case examples have indicated tangible milestones of new business outlook driven by global challenges such as climate change and the COVID-19 Pandemic. Business process innovation of the SMEs has become a vital trigger for the local economy to reflect upon the means and processes of community engagement. Regional revitalization of SMEs could be a clue to attain self-sufficiency in food as well as enhancing sustainable society in regional settings. 6.1. Suggested Policy Measures Based on the analysis, the authors suggest following policy measures. ● Promoting R&D and innovation by SMEs ● R&D subsidy and tax credits ● Networking and matching support for R&D collaboration ● SME-friendly IPR system 6.2. Research Contributions and Implications The following contributions in this study are notable: (1) There are spaces where producers and consumers could possibly interact regarding the production and consumption of innovative alternative food items of SMEs in the regional economy. (2) The public can become the interface of innovation and sustainability for enhancing the role of SMEs in local society. (3) The local public needs to be involved to support innovative and sustainable products developed by SMEs in the region. (4) The local consumers can play an important role in promotion and consumption of such alternative foods. (5) SMEs could gain a competitive edge in supply chains with a focus on innovation and technology. 6.3. Limitations of the Study and Further Research Suggestions The findings of this study could possibly throw light on the role of SMEs to contribute to sustainable ecosystems in regional economies in the framework of SDGs. However, the authors claim that many more case studies in respective regions of the world should be conducted to further the understanding of the role of SMEs in enhancing regional local economy to contribute to creating a sustainable self-sufficient food production system. Similar case studies with other kinds of products could be carried out for many countries and regions in the world. And such efforts would enable comparative studies, helping to expand the horizon of such study on SMEs and regional economy by paying due attention to product innovation and process innovation. The processes of various drives to motivate various agents, SMEs and communities, will be able to let us observe, grasp, and further create innovative interventions with the help of technology that could immensely benefit human society and reduce our carbon footprint in the long run.

Author Contributions

Conceptualization, T.K., R.Z., Y.O., S.M., T.O., and R.S.; methodology, T.K., R.Z., Y.O., and R.S.; formal analysis, T.K., R.Z., Y.O., S.M., and T.O.; writing—original draft preparation, T.K., R.Z., and Y.O.; writing—review and editing, T.K. and R.Z.; supervision, T.K. and R.S.; funding acquisition, R.S. All authors have read and agreed to the published version of the manuscript.

Funding

Not applicable.

Institutional Review Board Statement

Not applicable.

Informed Consent Statement

Not applicable.

Declaration of Competing Interest

The authors declare that they have no known competing financial interests or personal relationships that could have appeared to influence the work reported in this paper.

References

  1. 1.
    United Nations Environment Programme (UNEP). State of the Climate: Climate Action Note-data You Need to Know. 09 November 2021. Available online: https://www.unep.org/explore-topics/climate-action/what-we-do/climate-action-note/state-of-climate.html?gclid=CjwKCAjw67ajBhAVEiwA2g_jECeUJluMjqj9G2nmVZCn3RmlKFWpfERrCPk1iTae0Fbw3rv6OqZAMRoCHNQQAvD_BwE (accessed on 22 June 2023).
  2. 2.
    NASA. Carbon Dioxide (Global Climate Change: Vital Signs of the Planet). 2023. Available online: https://climate.nasa.gov/vital-signs/carbon-dioxide/?_hsenc=p2ANqtz-8HpRVv9oVuSCF0VZQsQUZzqFhGtkLyw06Pme5RT0S-5vbMKKeT7887JYALC3WjAsIKVkac (accessed on 13 August 2023).
  3. 3.
    Ministry of Foreign Affairs (MOFA). Diplomatic Blue Book 2021. Available online: https://www.mofa.go.jp/policy/other/bluebook/2021/en_html/chapter3/c030402.html (accessed on 12 August 2023).
  4. 4.
    Liu GD, Ding Y, Wen C, Gao K, Wang T, Sun RQ. Understanding the Role of Sustainable-Oriented and Process Innovation with Lean Practices in Achieving Sustainability Paradigm: A Chinese Perspective.  Front. Environ. Sci. 2022, 10, 905112. [Google Scholar]
  5. 5.
    Ministry of Agriculture, Forestry and Fisheries (MAFF). Japan’s Meat Self-sufficiency Rate, 2023. Available online: https://www.maff.go.jp/j/zyukyu/zikyu_ritu/ohanasi01/01-04.html (accessed on 22 June 2023).
  6. 6.
    Ministry of Economy, Trade and Industry (METI). White Paper of Small and Medium Enterprises for the year 2021, Section 2. Productivity of SMEs, 2023. Available online: https://www.chusho.meti.go.jp/pamflet/hakusyo/2021/chusho/b1_2_2 (accessed on 22 June 2023).
  7. 7.
    Nomura Research Institute. Impact of COVID-19 on the Japanese Economy and Measures to Avoid Bottoming Out. 21 December 2020. Available online: https://www.nri.com/en/journal/2020/1221 (accessed on 13 August 2023).
  8. 8.
    Hong GH, Kikuchi S, Saito Y. What are the Effects of the COVID-19 Crisis on Firm Exit in Japan? Research Institute of Economy, Trade and Industry, 14 July 2020. Available online: https://www.rieti.go.jp/en/columns/a01_0607.html (accessed on 22 June 2023).
  9. 9.
    Ministry of Economy, Trade and Industry (METI). 2023 White Paper on Small and Medium Enterprises in Japan (Outline), 2023. Available online: https://www.meti.go.jp/english/press/2023/pdf/0428_005a.pdf (accessed on 22 June 2023).
  10. 10.
    Small and Medium Enterprise Agency. Chūshōkigō ni okeru inobēshon [Innovation in SMEs] in Japanese, 2023 White Paper on Small and Medium Enterprises in Japan. 2023. Available online: https://www.chusho.meti.go.jp/pamflet/hakusyo/2023/PDF/chusho/03Hakusyo_part1_chap4_web.pdf (accessed on 22 June 2023).
  11. 11.
    Brocke JV, Simons A, Niehaves B, Reimer K, Plattfaut R, Cleven A. Reconstructing the giant: On the importance of rigor in documenting the literature search process. Conference Paper presented at the 17th European Conference on Information Systems, Verona, 08 June 2009. Available online: https://www.researchgate.net/profile/Kai-Riemer/publication/259440652_Reconstructing_the_Giant_On_the_Importance_of_Rigour_in_Documenting_the_Literature_Search_Process/links/0c96052b8e77f8a08b000000/Reconstructing-the-Giant-On-the-Importance-of-Rigour-in-Documenting-the-Literature-Search-Process.pdf (accessed on 13 August 2023).
  12. 12.
    Cooper HM. Organizing knowledge syntheses: A taxonomy of literature reviews.  Knowl. Soc. 1988, 1, 104. [Google Scholar]
  13. 13.
    Web of Science. Available online: https://access-clarivate-com.kras.lib.keio.ac.jp (accessed on 6 July 2023).
  14. 14.
    Heenkenda H, Xu FJ, Kulathunga K, Senevirathne WAR. The Role of Innovation Capability in Enhancing Sustainability in SMEs: An Emerging Economy Perspective.  Sustainability 2022, 14, 10832. [Google Scholar]
  15. 15.
    Al-Qahtani M, Zguir MF, Al-Fagih L, Koc M. Women Entrepreneurship for Sustainability: Investigations on Status, Challenges, Drivers, and Potentials in Qatar.  Sustainability 2022, 14, 4091. [Google Scholar]
  16. 16.
    da Rocha ABT, de Oliveira KB, Espuny M, Reis JSD, Oliveira OJ. Business transformation through sustainability based on Industry 4.0.  Heliyon 2022, 8, e10015. [Google Scholar]
  17. 17.
    Pandya D, Kumar G. Applying Industry 4.0 technologies for the sustainability of small service enterprises.  Serv. Bus. 2023, 17, 37–59. [Google Scholar]
  18. 18.
    Hernita H, Surya B, Perwira I, Abubakar H, Idris M. Economic Business Sustainability and Strengthening Human Resource Capacity Based on Increasing the Productivity of Small and Medium Enterprises (SMEs) in Makassar City, Indonesia.  Sustainability 2021, 13, 3177. [Google Scholar]
  19. 19.
    Khurana S, Luthra S, Haleem A, Kumar A, Mannan B. Can sustainability be achieved through sustainable oriented innovation practices? Empirical evidence of micro, small, and medium scale manufacturing enterprises.  Sustain. Dev. 2022, 30, 1591–1615. [Google Scholar]
  20. 20.
    Acosta-Velasquez RD, Leon-Pulido J, Garcia-Perez A, Fajardo-Moreno WS, Espinosa-Leal L. Contemporary Management Practice Applying the Dynamic Absorptive Capacity Measurement Model (PM(4)AC) for Improved Business Sustainability.  Sustainability 2022, 14, 11036. [Google Scholar]
  21. 21.
    Al Doghan MA, Abdelwahed NAA, Soomro BA, Alayis M. Organizational Environmental Culture, Environmental Sustainability, and Performance: The Mediating Role of Green HRM and Green Innovation.  Sustainability 2022, 14, 7510. [Google Scholar]
  22. 22.
    Bianchi G, Testa F. How can SMEs effectively embed environmental sustainability? Evidence on the relationships between cognitive frames, life cycle management and organizational learning process.  Bus. Ethics Environ. Respons. 2022, 31, 634–648. [Google Scholar]
  23. 23.
    Boeske J, Murray PA. The Intellectual Domains of Sustainability Leadership in SMEs.  Sustainability 2022, 14, 1978. [Google Scholar]
  24. 24.
    Mouritz M, Newman P, Newman R, Bryant J, Smith A, Olsen E. Leadership in Sustainability: Collective Wisdom, Conversations, Creativity, Contemplation and Courage, the Five Pillars of a Master’s Teaching Unit.  Sustainability 2022, 14, 5070. [Google Scholar]
  25. 25.
    Munoz-Pascual L, Galende J, Curado C. Contributions to Sustainability in SMEs: Human Resources, Sustainable Product Innovation Performance and the Mediating Role of Employee Creativity.  Sustainability 2021, 13, 2008. [Google Scholar]
  26. 26.
    Briamonte L, Pergamo R, Arru B, Furesi R, Pulina P, Madau FA. Sustainability Goals and Firm Behaviours: A Multi-Criteria Approach on Italian Agro-Food Sector.  Sustainability 2021, 13, 5589. [Google Scholar]
  27. 27.
    Curado C, Mota A. A Systematic Literature Review on Sustainability in Family Firms.  Sustainability 2021, 13, 3824. [Google Scholar]
  28. 28.
    Hossain MI, Ong TS, Teh BH, Said RM, Siow ML. Nexus of Stakeholder Integration, Green Investment, Green Technology Adoption and Environmental Sustainability Practices: Evidence from Bangladesh Textile SMEs.  Pertanika J. Soc. Sci. Hum. 2022, 30, 253–281. [Google Scholar]
  29. 29.
    Martins A, Branco MC, Melo PN, Machado C. Sustainability in Small and Medium-Sized Enterprises: A Systematic Literature Review and Future Research Agenda.  Sustainability 2022, 14, 6493. [Google Scholar]
  30. 30.
    Food and Agriculture Organization (FAO). Transforming Food and Agriculture to Achieve the SDGs: 20 Interconnected Actions to Guide Decision-makers, 2018. Available online: https://www.fao.org/3/I9900EN/i9900en.pdf (accessed on 24 June 2023).
  31. 31.
    Ngenoh E, Kurgat BK, Bett HK, Kebede SW, Bokelmann W. Determinants of the competitiveness of smallholder African indigenous vegetable farmers in high-value agro-food chains in Kenya: A multivariate probit regression analysis. Agric. Food Econ. 2019, 7, 2. [Google Scholar]
  32. 32.
    Röös E, Carlsson G, Ferawati F, Hefni M, Stephan A, Tidåker P, et al. Less meat, more legumes: prospects and challenges in the transition toward sustainable diets in Sweden.  Renew. Agric. Food Syst. 2020, 35, 192–205. [Google Scholar]
  33. 33.
    Bansal P, Roth K. Why companies go green: A model of ecological responsiveness.  Acad. Manag. J. 2000, 43, 717–736. [Google Scholar]
  34. 34.
    Jabbour CJC, Jabbour A, Sarkis J, Godinho M. Unlocking the circular economy through new business models based on large-scale data: An integrative framework and research agenda.  Technol. Forecast. Soc. Change 2019, 144, 546–552. [Google Scholar]
  35. 35.
    Madau FA, Arru B, Furesi R, Pulina P. Insect Farming for Feed and Food Production from a Circular Business Model Perspective.  Sustainability 2020, 12, 5418. [Google Scholar]
  36. 36.
    Das M, Rangarajan K, Dutta G. Corporate sustainability in SMEs: an Asian perspective.  J. Asia Bus. Stud. 2020, 14, 109–138. [Google Scholar]
  37. 37.
    Perrini F, Russo A, Tencati A. CSR strategies of SMEs and large firms. Evidence from Italy.  J. Bus. Ethics 2007, 74, 285–300. [Google Scholar]
  38. 38.
    Kornilaki M, Thomas R, Font X. The sustainability behaviour of small firms in tourism: the role of self-efficacy and contextual constraints.  J. Sustain. Tour. 2019, 27, 97–117. [Google Scholar]
  39. 39.
    Hahn T, Figge F, Pinkse J, Preuss L. Trade-Offs in Corporate Sustainability: You Can’t Have Your Cake and Eat It.  Bus. Strategy Environ. 2010, 19, 217–229. [Google Scholar]
  40. 40.
    Yadegaridehkordi E, Foroughi B, Iranmanesh M, Nilashi M, Ghobakhloo M. Determinants of environmental, financial, and social sustainable performance of manufacturing SMEs in Malaysia.  Sustain. Prod. Consum. 2023, 35, 129–140. [Google Scholar]
  41. 41.
    Rehman SU, Bresciani S, Yahiaoui D, Giacosa E. Environmental sustainability orientation and corporate social responsibility influence on environmental performance of small and medium enterprises: The mediating effect of green capability.  Corporate Soc. Respons. Environ. Manag. 2022, 29, 1954–1967. [Google Scholar]
  42. 42.
    Dey PK, Malesios C, Chowdhury S, Saha K, Budhwar P, De D. Adoption of circular economy practices in small and medium-sized enterprises: Evidence from Europe.  Int. J. Prod. Econ. 2022, 248, 108496. [Google Scholar]
  43. 43.
    Artin P. Critical sustainability factors of regional SMEs; A case study of Australia.  Curr. Res. Environ. Sustain. 2022, 4, 100138. [Google Scholar]
  44. 44.
    Fahad S, Alnori F, Su F, Deng J. Adoption of green innovation practices in SMEs sector: evidence from an emerging economy.  Econ. Res. Ekonomska Istrazivanja 2022, 35, 5486–5501. [Google Scholar]
  45. 45.
    Rodríguez-Espíndola O, Cuevas-Romo A, Chowdhury S, Díaz-Acevedo N, Albores P, Despoudi S, et al. The role of circular economy principles and sustainable-oriented innovation to enhance social, economic and environmental performance: Evidence from Mexican SMEs.  Int. J. Prod. Econ. 2022, 248, 108495. [Google Scholar]
  46. 46.
    Small and Medium Enterprise Agency. Small and Medium-sized Enterprise Basic Act, 1999 (Act No. 154 of 1963: Amended on December 3, 1999). Available online: https://www.chusho.meti.go.jp/sme_english/outline/08/01.html (accessed on 22 June 2023).
  47. 47.
    Organization for Small & Medium Enterprises and Regional Innovation. SME SUPPORT JAPAN, 2017. Available online: https://www.smrj.go.jp/english/about/target.html (accessed on 22 June 2023).
  48. 48.
    The Organization for Economic Cooperation and Development (OECD). Financing SMEs and Entrepreneurs 2022: An OECD Scoreboard (23. Japan), 2022. Available online: https://www.oecd-ilibrary.org/sites/a4e7ef59-en/index.html?itemId=%2Fcontent%2Fcomponent%2Fa4e7ef59-en (accessed on 12 August 2023).
  49. 49.
    The Organization for Economic Cooperation and Development, Financing SMEs and Entrepreneurs 2022: An OECD Scoreboard. 23. Key Facts on SME Financing. Table 23.2. Number of firms by size in Japan, 2016.) Data are based on a 2016 government survey, 2022. Available online: https://www.oecd-ilibrary.org/sites/a4e7ef59-en/index.html?itemId=%2Fcontent%2Fcomponent%2Fa4e7ef59-en#tablegrp-d1e165621 (accessed on 22 June 2023).
  50. 50.
    Hong GH, Kikuchi S, Saito Y. What Are the Effects of the COVID-19 Crisis on Firm Exit in Japan? Research Institute of Economy, Trade and Industry (RIETI). 14 July 2020. Available online: https://www.rieti.go.jp/en/columns/a01_0607.html (accessed on 13 August 2023).
  51. 51.
    Hong GH, Ito A, Saito YU, Ngyuen T-NA. Structural Changes in Japanese SMEs: Business Dynamism in Aging Society and Inter-Firm Transaction Network, RIETI Policy Discussion Paper 20-P-003, 2020. Available online: https://www.rieti.go.jp/jp/publications/pdp/20p003.pdf (accessed on 14 August 2023).
  52. 52.
    Smetana S, Ristic D, Pleissner D, Tuomisto HL, Parniakov O, Heinz V. Meat substitutes: Resource demands and environmental footprints.  Resour. Conserv. Recycl. 2023, 190, 106831. [Google Scholar]
  53. 53.
    FMK Morning Glory. Interview of CTO of DAIZ (Mr.Koji Ochiai) dated 28 September 2020. Available online: https://blog.fmk.fm/glory/m/e/daiz_cto.php (accessed on 23 June 2023).
  54. 54.
    DAIZ. Available online: https://www.daiz.inc/ (accessed on 23 June 2023).
  55. 55.
    Daily Tohoku Digital. Okara Konnyaku wo Daitainiku ni: Kongo Gurupu (Hachinohe) ga Roku Shurui Hanbai [The Kongo Group (Hachinohe) sells 6 types of okara konnyaku as an alternative meat] in Japanese. Daily Tohoku News Digital, 16 December 2021. Available online: https://www.daily-tohoku.news/archives/89039 (accessed on 22 June 2023).
  56. 56.
    Hachinohe Keizai Shinbun. Hachinohe Kongō gurūpu ga daitai niku seihin ‘okakonmīto okara’ to kon’nyaku o genzairyō ni [Hachinohe-Kongo Group launches alternative meat product “Okakon Meat” using okara and konnyaku as raw materials] in Japanese. Hachinohe Keizai Shimbun, 05 January 2022. Available online: https://hachinohe.keizai.biz/headline/1710/ (accessed on 22 June 2023).
  57. 57.
    Kongo Group. The birth of ‘OKAKON MEET’, an alternative meat originating in Aomori Prefecture! Available online: https://kongou-group.com/%E9%9D%92%E6%A3%AE%E7%9C%8C%E7%99%BA%E7%A5%A5%E3%81%AE%E4%BB%A3%E6%9B%BF%E8%82%89-%E3%80%9Dokakon-meet%E3%80%9F%E8%AA%95%E7%94%9F%EF%BC%81/ (accessed on 22 June 2023).
  58. 58.
    Kongo Group. Posted in Japanese, Facebook. Dated 27 December 2021. Available online: https://www.facebook.com/kongo8nohe/posts/1598226307194500/?locale=hi_IN&paipv=0&eav=AfbnFCtVkmDYRSU6yJ6H71XxJJ1BMg0awXMHD5kydfATTNBuU55Es8SCEd-5G0v6xZ0&_rdr (accessed on 22 June 2023).
  59. 59.
    Vegewel. Ima chūmoku no o niku daitaihin! ‘Okara kon’nyaku’ katsuyō-hō to kaihatsu-sha no Okada Tetsuko-san intabyū [Currently featured meat substitute! How to use ‘Okara konnyaku’ and an interview with the developer Tetsuko Okada] in Japanese. 01 March 2020. Available online: https://vegewel.com/ja/style/okadatetsuko (accessed on 14 August 2023).
  60. 60.
    Plant-based Food Kenkyukai. Yurina no tabearuki Nikki #4 `OKAKON MEET& tan’nen-hen’. Nōto (nōto) Purantobēsufūdo kenkyūkai [Yurina’s Food Journey Diary No.4, ‘OKAKON MEET and Tannen Version Note, by Plant-base Food Research Club] in Japanese, 13 December 2022. Available online: https://note.com/enjoy_plant_base/n/n0028e54d7c0b#59e482c7-f8b8-4ef7-98c7-a558ca7053d5 (accessed on 22 June 2023).
  61. 61.
    Hiro-san ♪. Kuroge wagyū o tsukatta hanbāgā ga jidō hanbaiki de kaeru!? - Hiro-san ♪ [You can buy a hamburger using Japanese black beef from a vending machine?!-Hiro] in Japanese, Published on 08 May 2023. Available online: https://creators.yahoo.co.jp/hirosan/0100465491 (accessed on 22 June 2023).
  62. 62.
    BASE. 55Liberty Powered by BASE. Available online: https://okakonmeet.base.shop/about (accessed on 14 August 2023).
  63. 63.
    Bejitarian Ryōri Kenkyūjo. Okara Konnyaku [Okara Konjac®] in Japanese (Official website of Tetsuko Okada of Vegetarian Food Research Institute). Available online: https://www.okadatetsuko.com/%e3%81%8a%e3%81%8b%e3%82%89%e3%81%93%e3%82%93%e3%81%ab%e3%82%83%e3%81%8f/ (accessed on 14 August 2023).
  64. 64.
    NEXT MEATS-India. Available online: https://www.nextmeat.in/about-us/ (accessed on 14 August 2023).
  65. 65.
    NEXT MEATS. Chikyu wo Owarasenai [Don’t Let the Earth End]. Next Meats Co., Ltd. Available online: https://www.nextmeats.co.jp/ (accessed on 22 June 2023).
  66. 66.
    NEXT MEATS, 08 November 2021. Available online: https://prtimes.jp/main/html/rd/p/000000080.000062184.html (accessed on 24 May 2023).
  67. 67.
    Food Infotech. Plant-Based Company Next Meats makes inroads into the Indian Market. Food Infotech. 4 January 2022. Available online: https://www.foodinfot.ech.com/plant-based-company-next-meats-makes-inroads-into-the-indian-market/ (accessed on 14 August 2023).
  68. 68.
    Okamuro H, Nishimura J, Colombo M, Stam E. Promoting SME R&D and Innovation. SME Policy faced with Development of Financial Technology. T20 Japan 2019. Available online: https://t20japan.org/wp-content/uploads/2019/03/t20-japan-tf9-2-promoting-research-development-innovation-smes.pdf (accessed on 14 August 2023).
  69. 69.
    Ministry of Economy, Trade and Industry. 2023 White Paper on Small and Medium Enterprises in Japan, Chapter 1 Innovation in SMEs, Part 4. The State of Innovation at SMEs, 2023, I-110-131. Available online: https://www.chusho.meti.go.jp/pamflet/hakusyo/2023/PDF/chusho/03Hakusyo_part1_chap4_web.pdf (accessed on 22 June 2023).
  70. 70.
    Poore J, Nemecek T. Reducing food’s environmental impacts through producers and consumers.  Science 2018, 360, 987–992. [Google Scholar]
  71. 71.
    Chen J, Liu L. Customer participation, and green product innovation in SMEs: The mediating role of opportunity recognition and exploitation.  J. Bus. Res. 2020, 119, 151–162. [Google Scholar]
TOP