SCIEPublish

Study of Self-Sensitization of Wide-Gap Oxides Photocatalysts

Review Open Access

Study of Self-Sensitization of Wide-Gap Oxides Photocatalysts

Author Information
Department of Physics, Saint-Petersburg State University, Ul’yanovskaya Str. 1, 198504 Saint-Petersburg, Russia
*
Authors to whom correspondence should be addressed.

Received: 02 February 2025 Revised: 07 May 2025 Accepted: 16 June 2025 Published: 27 June 2025

Creative Commons

© 2025 The authors. This is an open access article under the Creative Commons Attribution 4.0 International License (https://creativecommons.org/licenses/by/4.0/).

Views:3046
Downloads:408
Photocatal. Res. Potential 2025, 2(3), 10013; DOI: 10.70322/prp.2025.10013
ABSTRACT: The self-sensitization of wide-gap oxide photocatalysts to the region beyond the long-wave edge by changing the stoichiometry is discussed. The results of in situ investigations in three phases: gas—adsorbate—surface obtained by a variety of complementary experimental methods are analyzed. Dielectrics (MgO, Al2O3, BeO) were sensitized by creating colored F- and V- type photocatalysis centers via the thermal reduction of oxides in a vacuum. For semiconductors, the 2D structures of ZnO/ZnO1−x and TiO2/TiO2−x were formed through surface photo-reduction. In all self-sensitization cases, enhanced photosorption activity was observed. The quantum yields in the model POIE (photo-induced oxygen isotope exchange) redox reaction under VIS illumination of 2D structures and resonant exciton illumination of a layered 2D structure ZnO/ZnO1−x/O are 5–7 times higher than those of the initial samples. Both 2D structures showed stable activity in the redox reaction  $$\mathrm{CO+NO}\overset{\mathrm{hv}}{\operatorname*{\rightarrow}}1/2\mathrm{N}_{2}\uparrow+\mathrm{CO}_{2\mathrm{ads}}$$ with quantum yields 5–7 times higher than those of the initial oxides in their intrinsic absorption region.
Keywords: Oxide photocatalysts; Self-sensitization; Active centers; 2D heterostructures; Exciton; POIE; Photocatalytic reaction; TOF

1. Introduction

Investigating the photoactivation of adsorbed molecules, Terenin and Kassparov were the first to observe the NH3 photodecomposition under Al2O3 illumination by 230 nm photons beyond the fundamental absorption edge and not absorbed by ammonia [1]. A photoeffect was detected via an original “spectro-manometric” method by changes in the pressure in the gas phase above the illuminated adsorbent. This appears to be the first documented observation of wide-bandgap photocatalyst photoactivation upon irradiation beyond its intrinsic absorption range. (Later, the effect was confirmed and studied in detail using photo-mass spectrometry [2]. Photocatalysis represents a research field focused on the processes of active interaction of photons with the gas-solid interface that induces chemical transformations. Extensive fundamental and applied researches in photocatalysis are performed, with significant interest in enhancing the efficiency of photocatalysts by extending their spectral response beyond the long-wavelength intrinsic absorption edge. This is usually achieved through doping with metals or non-metals. However, the possibility of self-sensitization of photocatalysts using their intrinsic defects that absorb radiation beyond the long-wavelength edge of the crystal has been shown. A wide range of optical, electrophysical, and ESR experimental methods have been developed to study these processes in the gas, adsorbed, and solid phases. A special place is taken by spectro-manometric research, pioneered in the 1930s and still continued [3,4]. A key advantage of the spectro-manometric method is the availability of equipment and the experimental simplicity, along with the ability to obtain fundamental results. This review focuses on studies of self-sensitization of wide-bandgap oxide photocatalysts and their potential applications in real conditions.

2. Photo-Manometry

2.1. Photo-Manometry Experimental Technique The standard experimental setup comprised a quartz cell (flat, spherical, or cylindrical) with a volume of approximately about 50 cm3, filled with the powder sample under study. The cell was connected to a vacuum system, an inlet, and a Pirani type pressure measuring system of the gas under study. A similar configuration is used in various experiments. The sample is photo-activated by a radiation source with controlled intensity and spectral composition. To obtain quantitative characteristics such as the quantum yield of the effect, it is necessary to know the number of molecules that appear (disappear) and the number of absorbed light quanta. This requires quantitative measurements of the flow of photoactivated molecules, as well as the intensities of incident and reflected light. The layer thickness is taken in accordance with the depth of light penetration into the sample. The cell shape (flat, spherical, or cylindrical) is determined by the task being performed. The spherical and cylindrical cells allow to increase the efficiency of the illuminator, while the flat one simplifies the use of additional research methods. 2.2. Photo-Manometric Studies Photo-manometry has become a powerful method for surface diagnostics [3], effectively complementing optical spectroscopy in the UV, visible, and IR regions. Beyond the analytical aspect, the relevance of these works is due to the capacity to use optical radiation quanta for photoactivation of catalytic reactions and targeted surface formation. The research initiated almost a century ago remains actively carried out in England, Germany, France, Russia, and Japan [5,6,7,8]. Photoeffects were recorded by measuring pressure changes in the gas phase above the illuminated adsorbent. However, the lack of universal gas phase composition analysis methods has restricted the research area to the simplest binary gas-solid systems. Early works were mainly devoted to the study of the O2-ZnO system since ZnO is a widely used active photocatalyst. Photo-desorption (or photo-adsorption) of oxygen on ZnO was considered to be the cause of the activation of oxygen in photocatalytic oxidation reactions [6,7]. However, due to very contradictory experimental data, the authors [8] denied such correlations. But the photoactivation of oxygen as a general stage of photocatalytic oxidation remains undoubted [9]. Among numerous photo-manometric experimental results, two are of fundamental importance for this review:
1.
The detection of photoactivation of the adsorption-desorption and the chemical processes over ZnO in the spectral region of transparency of ZnO and gas phase components over it;
2.
The presence of a “memory effect” for illumination, i.e., the ability of a sample illuminated in a vacuum to retain induced activity for a long time (103) s.
These facts cannot be explained within the model of interband excitation in a solid and stimulate the search for photocatalyst self-sensitization mechanisms.

3. Photo-Mass Spectrometry

3.1. The First Steps of Photo-Mass Spectrometry A pressure change above the sample is a necessary but not sufficient indicator of photoinduced adsorption/desorption effects. Such pressure shift can be caused by photochemical reactions (for example, oxidation of adsorbed contaminants) in the system under study. Therefore, to prove the photosorption effect, it is necessary to show that the system under study (for example, O2-ZnO, O2-TiO2) is truly binary, i.e., it does not contain extraneous components. It is possible only if there is a reliable universal method to analyze the composition of both the gas mixture above the sample and the adsorbed layer. Replacing the integral pressure gauge with a mass spectrometer [10] allowed one to solve fundamentally new problems: besides a quantitative analysis of the gas mixture, study the gas phase composition above the adsorbent. In the preliminary experiments [11], the primary products of the photo-desorption were studied. For this purpose, the sample was placed in the chamber of a time-of-flight mass spectrometer at a distance of 30 mm from the ion source in a vacuum of 2 × 10−8 Torr and was illuminated with short 10−6 sec light pulses. Photo-desorbed particles entered the ion source “on a straight run” without collisions with other particles or the device walls. In this way, primary “hot” molecules and radicals were registered. Dispersed ZnO was studied. The illumination of the sample after oxygen adsorption led to photo-desorption of multiple products such as H2O, OH, CO, and CO2, but the molecular oxygen content did not exceed several percent, indicating the sample contamination with residual vacuum molecules. Attempts to obtain and maintain a clean surface for studying photo-activated oxygen reactions were unsuccessful. However, it was possible, in particular, to observe OH radicals photo-desorption after H2O adsorption. In order to work with a thoroughly cleaned sample, another setup was designed [12]. The dispersed sample was deposited as a thin layer in water bidistillate to the quartz reactor walls. After pumping down to 10−8 Torr, the sample was heated at 800 K in a flow of pure (99.99) oxygen at 10−1 Torr for tens of hours until the complete disappearance of CO and CO2 traces in the evacuated gas. The analysis was performed with a magnetic mass spectrometer. The TDS (thermo-desorption spectroscopy) analysis of the adsorbed phase composition revealed the contaminants at the level of 10−5 monolayers. This installation enabled the study of photoadsorption and photodesorption in the O2-ZnO system with an impurity content in the gas phase lower than 0.1%. The use of the 18O isotope revealed the dynamic nature of photosorption processes: manometrically observed pressure changes above the sample are the sum of coexisting photoadsorption from the gas phase and photo-desorption from the sample. These experiments pioneered research in photo-activated isotope exchange of oxygen over oxide photocatalysts. It is obvious that for understanding the mechanism of the photons influence on such systems, a comprehensive analysis of photo-adsorption, photodesorption, and photo-activated processes in the gas and adsorbed phases is required. Consequently, a new generation experimental setup should provide precise control over experimental conditions, allow for investigation processes involving multicomponent mixtures, and analyze the reaction kinetics for each component; using stable isotopes, separate competing terms of the photoactivated process in a binary system (for example, photo-adsorption and photo-desorption). 3.2. Experimental Technique Extensive photo-manometric studies have demonstrated that inconsistent and irreproducible experimental results were caused by insufficient sample characterization and experimental purity. Therefore, special attention was paid to address these shortcomings. The XPS, X-ray diffraction (XRD), and scanning electron microscopy (SEM) methods were used to characterize the samples before and after the experiments. However, the sensitivity of these methods does not exceed 10−3 monolayers, while the number of active centers in self-sensitized oxides does not exceed 10−5 monolayers. The following methods (see Figure 1): mass-spectrometry, UV (8.43 eV) photoelectron spectroscopy (PES), optical (diffusion reflectance) spectroscopy (DRS), TDS, spectra of excitation and emission of thermoactivated luminescence (TSL), and electron spin resonance spectroscopy (ESR) have been adapted for in situ investigations in three phases: gas, adsorbate and solid state [13,14,15]. The reaction block was made of quartz and stainless steel, without lubricants, taking into account the requirements for UHV installations. Dispersed powders of nominally pure oxides were deposited on the lower wall of a quartz reactor (V = 65 cm3) from the suspension in bidistilled water and preliminary purified by heating in oxygen (99.99%) flow at the pressure of 0.5 Torr for 10–20 h at 870 K in order to remove the biographic pollutants. The criterion of the sample purity was the absence of CO and CO2 in the output oxygen flow registered by the mass spectrometer. The “reduced” samples were obtained by heating in ultrahigh vacuum (better than 10−8 Torr), and the “oxidized” samples were obtained by annealing in oxygen (99.99%). All measurements were performed at 290 K except for specially marked cases.
Figure 1. Experimental setup for in situ diagnostics and photocatalytic experiments. L<sub>0</sub> is the initial gaz flow, ΔL<sub>1</sub> the gaz flow from the sample due to photodesorption, ΔL<sub>2</sub> the gaz flow onto the sample due to photoadsorption.
UV (8.43 eV) PES is the photoelectron spectrometer with the Xe resonance source [14], Diff.reflect. 200 < λ < 2500 nm is the spectrophotometer for the UV-VIS-NIR range [15], Thermo Stimul.Lumin. is the spectrometer for the analysis of thermoactivated luminescence excitation and emission spectra. Thermo Desorb. Spectroscopy is realized in “flow-through” regime. Monochromator is of original construction with aperture 1:1.6 for a spectral range of 200 < λ < 800 nm [13], ESR is the electron spin resonance spectrometer [16]; Mass Spectr. is the mass-spectrometer; UHV system is the Ultra High Vacuum system. T = T0 + βt is the system for variation of the sample temperature with a constant rate 0.1 < β < 0.5 K/s in the range of 300 < T < 1000 K for TDS and TSL measurements. L0 is the initial gas flow, ΔL1 is the gas flow from the sample due to photodesorption, ΔL2 is the gas flow onto the sample due to photoadsorption. The original UV (8.43 eV) photoelectron spectrometer [13] is specialized for the in situ studies of extremely low concentrations of filled electronic states in the bandgap. Special attention was paid to obtaining and maintaining a clean surface of the sample [17]. The quality of cleaning the oxide surfaces was controlled using TDS spectra. In the quasi-stationary mode (L0 = 0), the actual sensitivity for recording the process speed dn/dt of about (10−7−10−8) Torr/s is given by the expression $$-\frac{dn}{dt}\approx\frac{1}{A}\frac{\Delta N}{t_p}$$ where ΔN is the change in the number of molecules caused by illumination, tp being the characteristic pump-off time of a mass-spectrometer (m-s). A typical pressure sensitivity in photo-manometric experiments in a closed volume of 20–50 cm3 was ≥10−5 Torr/s at the initial pressure of ~10−2 Torr. 3.3. Flow-through m-s Method The next step was the development of a flow-through m-s method for studying photo processes [13]. In a quasi-stationary mode, gas sampling for mass analysis led to a drop in pressure in the reactor and thus limited the range of working pressures available for analysis. However, in a flow-through reactor, the gas sampling with a mass spectrometer is compensated for by an additional influx. Thus, the lower pressure limit, which is 10−3 Torr for a quasi-stationary reactor, is reduced to 10−6 Torr. In a flow-through reactor (Figure 1) containing an adsorbent with a gas phase above it, the changes in concentration of the adsorbed phase dn/dt mol·cm2·s−1 lead to changes in the gas phase $$-\frac{dn}{dt}=\frac{1}{A}\left(\frac{d\Delta N}{dt}\right)+\frac{\Delta N}{t_{_p}}$$. The actual sensitivity for measuring the process rate in flow-through mode reaches 10−10 Torr/s or 109 mol/s. This enhanced sensitivity allows one to avoid spherical and cylindrical reactors (black body-like) [14] and use flat reactors, allowing one to connect additional in situ devices. The sample thickness is optimized based on forward and backward scattering indicatrix analysis. As an example, Figure 2 shows the measurement results of the “Degussa” TiO2 sample.
Figure 2. Scattering diagrams of the exciting beam radiation incident normally on the “Degussa” TiO<sub>2</sub> photocatalyst.
Figure 2 shows Scattering diagrams of the exciting beam radiation incident normally on the “Degussa” TiO2 photocatalyst. The curves, close in shape to circles, join the ends of the radius vectors, characterizing the scattering amplitudes of a light beam at a given angle in the horizontal plane. The differences in the diameters of the circles reflect the spectral characteristics of the scattering. In the diagram, the light is incident from the left, so the intensity of backward scattering is greater than that of forward scattering after passing the sample. Similar measurements are taken in the vertical plane. As a result, three-dimensional figures close to spheres are obtained. They give the integrated intensities of light scattered into the front and rear hemispheres. The difference between the intensity of incident and total scattered light allows one to obtain the number of light quanta absorbed by the sample. This procedure allows us to obtain quantitative characteristics of photoactivated processes without resorting to the geometry of a “black body” [14]. In a “black body” geometry, the sample is placed inside a sphere and is accessible only for manometric measurements. We used a flat reactor that allowed for the first time quantitative photo-mass spectrometric studies to be combined in situ with a range of complementary methods (Figure 1). Data processing using the Kubelka-Munk model for the layer thickness of 2.5 mg/cm2 yielded the following flux values passing through the layer: 0.2 for λ = 436; 0.026 for λ = 385 and 0.0024 for λ = 365 nm, respectively. The data obtained allow one to optimize the choice of the sample thickness in photocatalytic experiments and to avoid a thick, non-illuminated sample layer. Obviously, comprehensive information about multi-stage photo processing can be obtained only by total quantitative studies of the processes in the gas phase, on the surface, and in the bulk of the sample. The experimental complex shown in Figure 1 is designed for this purpose. 3.4. Spectro-Kinetic Investigation of Photosorption Processes in Flow-through Reactor 3.4.1. Gas-Phase In the experiments, a pure (99.99%) oxygen flow was admitted over the carefully cleaned sample under the controllable dynamical pressure of 10−8–10−3 Torr. The sample was irradiated with a monochromatic light tuned in the spectral range of 200 < λ < 600 nm (6 > > 2 eV) with a power density of ~1 × 10−3–1 × 10−1 W/cm2 [18]. A high sensitivity of the “flow-through” regime (sensitivity for the photo-desorption detection from powders which reached 10−7 monolayer/s), exceeding the photo-manometric method sensitivity by 3–4 orders of magnitude, enables novel avenues for investigating photosorption processes. It allows the determination of spectral characteristics of photo-processes using monochromatic radiation for excitation. An example of determining kinetic parameters in the O2-Al2O3 system is given in Figure 3. In order to determine the quantum yield of a reaction, the numbers of quanta incident on the sample, reflected from the sample and having passed through the sample, were measured using the spectro-goniometer (Figure 2).
Figure 3. Effect of illumination on the change of O<sub>2</sub> flow over Al<sub>2</sub>O<sub>3</sub>.
The quantum yield for photoadsorption Фpa or photodesorption Фpd is $$\Phi=\frac{dn}{dt}\frac{1}{k_\lambda I_{h\nu}}$$ where kλ is the absorption coefficient of the sample, and I is the light intensity. A system [O2–Al2O3] is shown in Figure 3. The illumination shifts sharply the initial dynamical gas-surface equilibrium [19]. The sign of ΔL depends on the spectral region of the light. So, for O2–Al2O3 system in the high-energy spectral region (hv > 4 eV), the irreversible photo-adsorption is observed. The opposite effect—a reversible photo-desorption—is observed in the low-energy region (hv < 3 eV). In the middle-energy region, both effects coexist. Both effects are spectrally selective and site- sensitive. For a number of studied oxides, the kinetic parameters of active centers varied in a wide range: 10−5 < τ < 103 s, 10−17 < σ < 10−16 cm2, 10−6 < Фpa < 10−4 molec/quantum, 10−5 < Фpd < 10−4. The first step of photoactivation in the sub-bandgap region is the photoexcitation of local F-type and V-type centers. The spectral maximum of photo-adsorption efficiency on Al2O3 is centered at ~230 nm, and has a shoulder at ~260 nm that coincides with the optical absorption of F+-centers [18]. The spectral efficiencies of oxygen photodesorption and CO photo-adsorption are shifted to a long-wavelength region in the absorption band of V-centers [18]. So O2 photodesorption is activated by a photoexcitation of hole V-type centers (not of electron F-type centers). The spectral efficiency of preliminary irradiation in UHV (the “memory effect”) matches the spectral band of photo-adsorption efficiency, suggesting the same nature of short-lived and long-lived centers. The obtained results lead to the following conclusions. The quantum, nonthermic photon-driven adsorption, and desorption are proven to exist for all studied oxides. These processes are site-sensitive and spectrally selective. The kinetic model of the interaction of gas (photo-adsorption) or adsorbed (photo-desorption) molecules with photo-generated local centers is justified. The F-type and V-type centers appear to be responsible for the primary act of photon adsorption/desorption (see Table 1 and Table 2). Similar results were obtained for oxygen photo-adsorbed on wide-bandgap oxides (BeO, MgO) [20,21] and on other oxides (ZnO and TiO2) [22,23]. The recombination of photo-generated centres, as well as the adsorption of molecules on these centres are the pathways of photo-excited surface relaxation.

Table 1. Energy excitation of photoactive centers.

BeO Al2O3 MgO ZnO TiO2
Eg 10.5 9.3 7.8 3.4 3.2 (3.0)
Фpa max 6.6 5.5 5.1 3.1, 2.4
Фpd max 3.5 3.2 3.1
max abs of centers 6.6, 5.4, 3.4
F, F+, V
5.4, 3.1
F+, V
5.0, 2.3–1.8
F, F+, V
3.1, 2.4
F+, F, (V)
F, F+

Table 2. Color centers and photoactivation channels.

Color Centers
F-type centers—oxygen vacancy:
empty (F++); with 1 (F+) or 2 electrons (F)
V-type centers—cation vacancy:
empty (V−−), with 1 (V−) or 2 (V0) holes
Photoexcitation Channels
F(2e) + hv1 → F+(e) + e V0 + hv3 → V− + h + hv
F+ + hv2 → F++ + e
F+ + hv3 → F(2e) + V–
F + V → V0 + hv

3.4.2. Structure of Photoadsorbed Oxygen The structural diversity of photoactivated centers should result in different configurations of molecule adsorption. To verify this hypothesis, the oxygen adsorption configurations on illuminated Al2O3 were studied [19]. A combined analysis of TD spectra, thermo-programmed bleaching of optical absorption, TSL, ESR, and isotopic exchange have revealed three oxygen species A, B, C on photoactivated Al2O3 surface (Figure 4).
Species A: a molecular peak at 380 K,
Species B: a photoadsorbed O atom in an on-top site above a surface metal vacancy,
Species C: oxygen atoms, filling anion vacancies.
Thus, the formation of species C on the UV-irradiated surface allows the healing of the surface defects of F-type. The species B and C are typical for only UV-irradiated samples. Very similar results were obtained on the oxygen species photoadsorbed on other wide-bandgap oxides.
Figure 4. TD spectra of O<sub>2</sub> species adsorbed on illuminated Al<sub>2</sub>O<sub>3</sub>.
The low-temperature peak at 380 K in the TD spectra corresponds to the molecular species A. Here, the molecule-surface bond is weak, and Edes does not exceed 1 eV. The bond is provided by the charge transfer between an oxygen molecule and surface centers of FS and/or VS-type, thus producing O2 (a) and [O2 ··· OS] (b) complexes. It results in the emergence of the absorption band of F+ centers at 5.4 eV and of the ESR signal with g = 2.012 ± 0.001. Such a signal indicates a charge transfer between the adsorbed oxygen molecule and the VS center. Another species B, has a stronger bond between the oxygen and the surface characterized by Edes = 1.2–1.8 eV. It decays in the intermediate temperature range of 450 ≤ T ≤ 600 K, just where V-type centers are decomposed. This species gives the UV absorption band at 3.1 eV and also the ESR signal characterized by two parameters: g┴ = 2.0355 ± 0.0005 and g║ = 2.0028 ± 0.0005. Such ESR signal is typical for a tetrahedral symmetry center. Its thermo-bleaching peak is close to the TSL peak at Tmax = 530 K and to the thermo-bleaching peak of the optical absorption band at 2.9 eV. So, we suggest that all three parameters characterize the same center. Its decay in the temperature range of 450–600 K causes the desorption of oxygen molecules. The photo-adsorbed oxygen atom is placed in an on-top site above the surface metal vacancy, which has four surface anions on the basis of the double tetrahedron. The complex is stabilized by a hole captured by one of the basis anions. The hole delocalization results in the decay of the center. The species C (Edes reaching 4 eV) gives neither absorption band in the UV-VIS region ( < 6 eV), nor any ESR signal. The Edes value is close to that of the thermolysis energy of the surface. This species has been attributed to oxygen atoms filling the anion vacancies. Thus, the formation of species C on the UV irradiated surface allows to heal the surface defects of F-type and, in this way, changes the surface stoichiometry and geometry even at temperatures insufficient to activate bulk atoms. A broad variety of photon-driven effects enables the oxide surface creation without altering bulk properties. Thus, oxygen photoadsorption allows to achieve extremely low oxygen vacancy concentrations below 10−6 monolayer. Our results demonstrate that oxide photoactivation within the visible light absorption region activates both electron-donating centers and hole centers essential for redox reactions. The oxygen isotope exchange model reaction enables the evaluation of the real possibility of their use. 3.4.3. POIE on ZnO Investigated with Flow-through m-s Method The actual sensitivity for measuring the process rate in flow-through mode reaches 10−10 Torr/s or 109 mol/s. It has been previously shown that the analysis of the kinetics of thermally activated isotopic exchange of oxygen 18O of the gas phase with the catalyst can be used to predict the activity of oxide catalysts in dark oxidation reactions [15,24,25]. In 1965, the isotope 18O was used to study the elementary stages of photosorption processes in the O2-ZnO system [2]. Having studied concentration changes in the mixture of isotopes 16O2, 16O18O and 18O2, the authors concluded that the manometrically observed effects of pressure changes above the illuminated sample (photo-adsorption or photo-desorption) are complex dynamic processes of coexisting adsorption and desorption in the gas-solid system. These processes lead to an isotope content change both in the gas and solid. Subsequent experiments enabled to establish correlations between the activity of photoactivated isotope exchange of oxygen and the efficiency of the oxide photocatalyst in oxidation-reduction reactions. The parameters of the isotope oxygen mixture are as follows:
(1)
$$\alpha=\frac{C_{34}}{2}+C_{36}$$, being the 18O fraction in the mixture, and
(2)
$$Y{=}2\alpha(1{-}\alpha){-}\mathrm{C}_{34}$$ giving the deviation from the equilibrium value, where C32, C34, C36 are the fractions of 16O2, 16O18O and 18O2, respectively. The mixture with Y ≠ 0 is called “non-equilibrated”.
Two types of oxygen exchange in any oxygen-oxide system can occur:
1.
homoexchange (homomolecular oxygen isotope equilibration POIEq) without the participation of surface atoms; in this case, Y → 0, αgas remains constant;
2.
heteroexchange POIEx with the participation of surface atoms; Y changes, αgas decreases if the catalyst has a natural isotopic composition.
Thus, during the POIE, two channels are photo-activated: homo- and hetero-molecular exchanges. The first one simulates the oxidation stages, and the second one is the reduction stages of the oxidation-reduction reaction. The study of a number of wide-band oxides showed the universality of the correlation found. ZnO is the most active (along with TiO2) photocatalyst for redox reactions due to the features of the electronic structure of ZnO, such as a large band gap (3.37 eV at 300 K), an electron affinity of ~4.0 eV, and a high carrier mobility (200 cm2/V·s at 300 K). In the UV irradiated ZnO, the e/h+ pairs have one of the highest redox potentials among the photocatalysts and can be used in photochemical cells for water decomposition and decontamination of the environment from a wide range of organic and inorganic pollutants. However, this efficiency is small and revealed only in the intrinsic absorption region < 3.37 eV. The main obstacle in achieving a high photoinduced efficiency upon UV activation semiconductor is the e/h+ pair decay when moving from bulk to surface centers of photocatalysis due to the recombination with each other and with the recombination centers. A.N. Terenin pointed out that these losses can be avoided by using excitons to transfer the excitation energy [26]. The exceptionally high exciton binding energy in ZnO (60 meV) ensures the stability of the e/h+ pairs during their transfer at room temperature (kT = 27 meV). However, this idea required decades of experimental investigation to be put into practice. In this paper, we give the results of these studies. The activity of excitons in photocatalysis on ZnO was experimentally confirmed in 1990 [27]. The exciton excitation maximum for the POIE reaction on ZnO has been discovered. However, the observed effect was lower than that under the excitation in the interband transitions region. It was found that the main intensity losses were caused by a radiative decay of the exciton on the surface, and the internal energy dissipates in the form of the exciton photoluminescence (PL) with a nearly 100% efficiency. In Terenin’s laboratory, the problem of dissipation of exciton energy not into a photoluminescence quantum but into the generation of active centers of catalysis was solved by creating a surface layered nanostructure ZnO/ZnO1−x/O [28]. ZnO/ZnO1−x is a 2D structure “core-shell” and O is the adsorbed atomic oxygen capturing an electron, thus forming a locking barrier over the “core-shell” structure. A high field strength inside the well leads to a dissociative polarization of the exciton, causing its nonradiative decay (Figure 5). As a result, a “dead zone” for the exciton is created in the surface subatomic region of ZnO1−x/O. The exciton decays and a free electron and a hole are localized on F- and V-type defects of the ZnO1−x surface layer (see Figure 6). A comprehensive description of the nanostructure and its mechanism of action is given in [28,29,30]. The energy of the absorbed light was retained for up to 8 × 103 s, which is typical for F- and V-type centers. It is these centers that sensitize the photocatalytic activity of reduced ZnO1−x samples [31,32].
Figure 5. Radiationless decay of exciton into a pair of long-lived centers in the 2D structure ZnO/ZnO<sub>1−x</sub>/$$\mathrm{O}^{-}$$. VB—valence band, CB—conduction band, E<sub>F</sub>—Fermi level, VL—vacuum levels before and after oxygen desorption, Δδ—dipole component, φ<sub>T</sub>—thermoelectric work function, V<sub>S</sub>—band bending of the original “oxidized” sample, A/A<em><sup>−</sup>, </em>D/D<em><sup>+</sup>—</em>acceptor and donor reagent levels.
The 2D structure ZnO/ZnO1−x/O was formed using ZnO wurtzite structure consisting of 20–500 nm nanocrystallites [9]. The samples were characterized using optical and photo-luminescence spectroscopy (PL), TSL in the ultraviolet (UV) and visible (VIS) light, SEM, UPS (21.4, 8.43 eV), and XRD. UPS (8.43 eV) allowed one to determine in situ the φT of the sample and to separate the contributions of the dipole component δ from the band bending VS.
Figure 6. POIE diagram on the ZnO/ZnO<sub>1−x</sub>/$$\mathrm{O}^{-}$$ structure under exciton excitation.
3.4.4. Modeling of the Kinetics of POIE O2 ⇄ ZnO/ZnO1−x/O Figure 7 clearly illustrates the superiority of exciton excitation compared to interband excitation. The underlying process can be described mathematically using a vector-like equation, as detailed in reference [31].
Figure 7. Effect of interband and exciton irradiation of the sample on the isotopic composition of the gas phase over the sample. The absorbed irradiation power for λ = 365 nm and λ = 385 nm is (10 ± 2) mW, P = 1.2 × 10<sup>−6</sup> Torr.
The radiative decay of an exciton is suppressed in the 2D structure ZnO/ZnO1−x/O, where the exciton nonradiative decays into a pair of long-lived (up to 8 × 103 seconds) electron and hole localized states that facilitate chemical reactions. In this context, the notations in the governing equation are as follows: the components of the vector $$\vec{N}$$ represent the number of O2 isotope molecules in the reactor with masses 32, 34, and 36 atomic mass units. The module of this vector is defined as the sum of its components, i.e.,
```latexN=\left|\vec{N}\right|=N_{32}+N_{34}+N_{36}```
The parameter α is defined by the ratio of isotope molecules in the gas phase $$\alpha = \frac{N_{36} + 0 . 5 \cdot N_{34}}{\left|\overset{\rightarrow}{N}\right|}$$and indicates the fraction of a specific isotope, while $$\overset{-}{\alpha} \equiv \left(1 - \alpha\right)$$ represents the fraction of 16O. The rate of homo-exchange, denoted as $$R_{x}$$, is measured in molecules per second ([molec/s]), and the rate of hetero-exchange, $$R_{q}$$, is measured in atoms per second ([atoms/s]). The outflow rate, $$\overset{\rightarrow}{F}_{o u t} = \frac{\overset{\rightarrow}{N}}{\tau_{p u m p}}$$, corresponds to the number of molecules captured by mass spectrometry during the reactor’s pump-down time constant ([molec/s]), and $$\overset{\rightarrow}{F}_{i n}$$ is the inflow rate set during the experiment ([molec/s]). All these values ($$\overset{\rightarrow}{N}$$,$$R_{x}$$, $$R_{q}$$, $$\overset{\rightarrow}{F}_{o u t}$$, $$\overset{\rightarrow}{F}_{i n}$$, and RPA) depend on time. In Equation (1), the first two terms on the right side, $$\overset{\rightarrow}{F}_{i n} - \overset{\rightarrow}{F}_{o u t}$$, describe the flow regime. The third term, $$- R_{P A} \frac{\overset{\rightarrow}{N}}{\left|\overset{\rightarrow}{N}\right|}$$, represents “photo-adsorption,” while the fourth one, $$\overset{\rightarrow}{R}_{P D}$$, corresponds to “photo-desorption.” The fifth term accounts for “hetero-molecular exchange,” and the sixth term describes “homo-molecular exchange.” Although this differential equation is nonlinear, because all variables under differentiation are known functions of time, it can be transformed into an algebraic form. In our experimental conditions, photo-desorption was not observed; therefore, it is considered to be zero in this analysis. The notation
```latex\vec{A}=\frac{d\vec{N}}{dt}-\vec{F}_{in}+\vec{F}_{out}+R_{PA}\frac{\vec{N}}{\left|\vec{N}\right|}```
```latex\vec{A}=R_x\cdot\left(-\frac{\vec{N}}{\left|\vec{N}\right|}+\begin{pmatrix}1\\0\\0\end{pmatrix}\right)+R_q\cdot\left(-\frac{\vec{N}}{\left|\vec{N}\right|}+\begin{pmatrix}\overline{\alpha}^2\\2\alpha\overline{\alpha}\\\alpha^2\end{pmatrix}\right)```
```latexR_{x\_at}=\frac{A_{32}-A_{36}}{\alpha}R_{q}=\frac{A_{34}+R_{x\_at}\cdot\alpha\overline{\alpha}}{Y}-\frac{1}{2}R_{x\_at}```
The results obtained for $$R_{q}$$ and $$R_{x}$$ are shown in Figure 8.
Figure 8. Rates of $$k_{q}$$ <em>= Rq</em>/<em>N </em>и $$R_{x}$$ over ZnO/ZnO1−x/$$\mathrm{O}^{-}$$ under irradiation in the region of interband absorption at λ = 365 nm and exciton absorption at λ<sub>max</sub> = 385 nm.
The incident photon flux was approximately 1.8 × 1016 quanta per second (±20%), with a pressure of P = 1.2 × 10−6 Torr. It was observed that, for the POIE test reaction, irradiation within the exciton absorption band is about 5 to 8 times more effective than irradiation in the interband absorption region. This example demonstrates that the efficiency of the 2D ZnO/ZnO1−x/O structure activated near the resonant exciton excitation is approximately 5–8 times higher than when excited in the interband absorption region [30].

4. Photocatalytic Redox Reactions on Self-Sensitized Oxides in the Visible Light Absorption Region

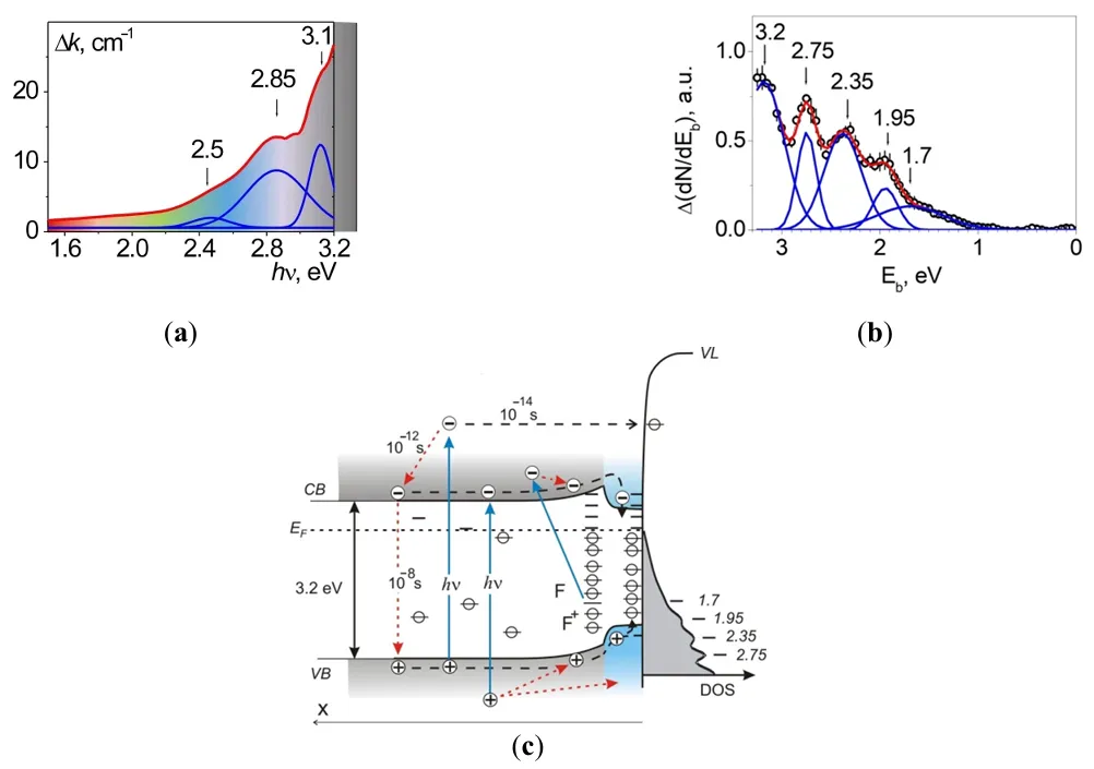
4.1. Photocatalytic Reduction of NO by CO on ZnO1−x To validate the predicted photocatalytic activity of ZnO1−x within the visible light absorption range, the feasibility of performing an environmentally significant redox reaction $$\mathrm{CO}+\mathrm{NO}\overset{\mathrm{hv}}{{\to}}1/2\mathrm{N}_2\uparrow+\mathrm{CO}_{2_{\mathrm{ads}}}$$ (1) was examined [32]. To understand the active sites and elucidate the reaction mechanism, several key characteristics were investigated: the photoactivation spectra, specific kinetic parameters, intermediate species, and final reaction products. The samples were characterized using a suite of techniques, including X-ray diffraction (XRD), X-ray photoelectron spectroscopy (XPS), ultraviolet photoelectron spectroscopy (UPS), Brunauer-Emmett-Teller (BET) surface area analysis, diffuse reflectance spectroscopy (DRS), and temperature-desorption spectroscopy (TDS). Heating or UV irradiation of the sample in ultra-high vacuum (UHV) conditions induces partial reduction of the surface to form ZnO1−x, resulting in a patchy heterogeneous surface. This process generates surface defect centers, evidenced by peaks at binding energies ECi = 3.2, 2.8, and 2.3 eV in the UV photoelectron spectra (PES) and absorption bands at 3.1, 2.9, and 2.4 eV in the optical spectra. The peaks at 3.2 and 2.3 eV, along with the bands at 3.1 and 2.4 eV, are attributed to surface F and F+ centers. Their surface concentration is approximately (1–3) × 10−4 monolayers. The peak at 2.8 eV and the band at 2.9 eV are linked to interstitial Zn+ cations. For the first time, it was demonstrated that the photocatalytic reduction of NO by CO to N2 can occur on self-sensitized ZnO1−x catalysts under visible light irradiation (λ > 400 nm) at room temperature, achieving a selectivity of up to 95% [32]. The reaction proceeds via two stages, with N2O as an intermediate product (Figure 9). The produced CO2 remains adsorbed on the surface but can be completely desorbed after completion of the photoreaction by heating ZnO1−x up to 820 K. The spectral dependencies observed during both stages align with the optical absorption spectra of intrinsic color centers in ZnO1−x [33], which include oxygen vacancies trapping one or two electrons (F+ and F centers), zinc interstitials (Zn+), and zinc vacancies trapping holes (V) centers). The high quantum yields observed in the visible region are attributed to the long lifetimes (up to 103 s) of these photoexcited defect centers, facilitating efficient photocatalytic activity under visible light irradiation.
Figure 9. Typical kinetics of reaction 1 on ZnO<sub>1−x</sub> under irradiation by visible light (λ &gt; 390 nm).
The kinetic profiles of CO and NO are characteristic of the initial reactant products, whereas those of N2 correspond to the final products [32]. The kinetic curve for N2O emission reflects its role as an intermediate in the reaction pathway. Notably, CO2, the second final product, was not detected in the gas phase. The nitrogen mass balance indicates that nitrogen-containing species do not remain adsorbed on the surface at the end of the reaction. The overall reaction proceeds in two distinct stages: First stage: Characterized by the photo-assisted reduction of NO to N2O and simultaneous formation of adsorbed CO2 (CO2(ads)): $$\mathrm{CO+2NO\overset{hv}{{{\to}}}N_2O\uparrow+CO_{2ads}}$$. Second stage: Following the completion of NO reduction, N2O is further reduced to N2 $$\mathrm{CO+N_2O\overset{hv}{{{\to}}}N_2\uparrow+CO_{2ads}}$$. The CO2 formed remains adsorbed on the catalyst surface and can be thermally desorbed in a stoichiometric ratio. The kinetics of this multi-step, two-stage process have been thoroughly analyzed in [32]. The features observed in this reaction are similar to those reported for photocatalytic processes on TiO2 Degussa P-25 [34], indicating comparable mechanisms and efficiencies. The mass analysis of the TDS of the adsorbed final reaction products (Figure 10) confirmed that the only desorption product is CO2, which is released upon heating up to 823 K [32]. The TD spectra feature a prominent maximum in the 750–800 K range, accompanied by low-temperature shoulders appearing at T > 500 K and T > 600 K.
Figure 10. Temperature-desorption spectrum of the reaction products obtained under visible light irradiation (λ &gt; 390 nm) during reaction 1.
Analysis of spectra where the desorption energy Edes(θ(t)) varies over time was discussed in [35]. For the modeled first-order TD spectra shown in Figure 10, the presence of multiple peaks in the desorbed CO2 spectrum indicates energy inhomogeneity on the surface with respect to adsorption sites. The binding energies for different forms of CO2 adsorption, obtained through modeling, are presented in the inset of Figure 10. Based on the TD spectra and literature data from FTIR studies, structures of intermediate adsorption complexes are proposed to explain these features. Figure 11 displays the spectral dependence of the quantum yield for NO photoadsorption (PA) on ZnO1−x. The data reveal that the quantum yield reaches its maxima at photon energies hν = 3.07 eV (λ = 404 nm) and hν = 2.6 eV (λ = 480 nm). Previous studies based on diffuse reflection spectra (DR) identified an absorption band at approximately 3.1 eV, associated with oxygen vacancies capturing a single electron Vo+ (F+ center), and a band at around 2.4 eV related to F centers. In reference [28], the absorption spectrum of ZnO1−x in the range of 2.2–3.4 eV was decomposed into individual defect-related bands. The first peak coincides with F+ center absorption, while peaks at 2.5–2.6 eV are attributed respectively to zinc vacancies trapping a hole (V center) and to F centers. These defect states predominantly contribute to the observed NO PA effect. Considering the spectral resolution of NO PA excitation, the close overlap between the PA excitation spectrum and the absorption spectra of ZnO1−x is deemed satisfactory, indicating that these defect centers are primarily responsible for initiating photoadsorption.
Figure 11. Spectral dependence of the quantum yield of NO PA on ZnO<sub>1−x</sub> (<em>T</em> = 300 K, <em>P</em>0(NO) = 0.013 Torr).
Prior research [31,33] has established that these defect centers are highly active in photoadsorption and photocatalytic processes on wide-bandgap oxides. As shown in Figure 11, minor contributions to the overall effect also originate from interstitial oxygen ions (Oi) and zinc vacancies trapping two holes, VZn2 (V0 centers). The combined spectral contributions of these defect states allow for an approximation of the NO PA spectrum with about 97% accuracy. During the first stage of reaction 1, ending when NO photoadsorption is complete, no N2 molecules are emitted into the gas phase. Instead, various carbon-containing species, such as Zn+-CO, Zn2+-CO, CO2, CO3, as well as nitrogen-containing species like Zn2+-NO, NO, NO+ form on the surface. During this stage, N2O is released into the gas phase. The second stage involves the reduction of N2O to N2 and the discharge of CO2. Figure 12 illustrates the spectral dependence of the quantum yield of N2 formation in the mixture of NO + CO on ZnO1−x. The maxima observed at 404 nm and 490 nm mirror those seen in the quantum yield of NO photoadsorption (PA) on ZnO1−x (Figure 11). However, the quantum yield for N2 production is more than twenty times lower than that for NO PA, indicating a significantly less efficient process.
Figure 12. Spectral dependence of the quantum yield of N<sub>2</sub> in the photoinduced reaction NO + CO on ZnO<sub>1−x</sub>.
As shown in the reaction kinetics (Figure 9), molecular nitrogen is generated via the reduction of an intermediate N2O species. Notably, N2 emission begins only after the completion of NO photoadsorption, suggesting that electron capture by NO molecules from electron-donor centers such as F+ center, VZn − (Zn+), and F center is more effective than dissociative capture by N2O molecules. The comparable rates of N2O adsorption and N2 release imply that the surface reaction step is not rate-limiting. Interestingly, the quantum yield of N2 release in the visible region (up to 530 nm) exceeds that in the UV region despite a lower surface concentration of active defect sites. This phenomenon can be explained by two factors.
1.

High transparency in the visible light region. The intrinsic surface defect density absorbing in this region (~1011 cm−2) is relatively low, which allows deeper penetration of visible light into the crystallites. Consequently, a larger illuminated surface area is achieved compared to UV illumination.

2.

Longer defect state lifetimes. The lifetime of photoactivated defect states can reach approximately 103 s, vastly exceeding the estimated lifetime (~10−9 s) of photogenerated electron-hole pairs before recombination. This extended lifetime enhances the probability of defect-mediated processes leading to N2 formation under visible light.

Overall, while the kinetics and mechanisms resemble those previously observed for $$\mathrm{CO}+\mathrm{NO}\overset{\mathrm{hv}}{{\to}}1/2\mathrm{N}_2\uparrow+\mathrm{CO}_{2_{\mathrm{ads}}}$$ on TiO2−x (Degussa) [34], both the quantum yield and action spectrum obtained here surpass those for TiO2−x, indicating higher efficiency of ZnO1−x under similar conditions. 4.2. Photocatalytic Reduction of NO by CO on TiO2x/TiO2 4.2.1. Formation of Surface Structure TiO2x/TiO2 Titanium dioxide TiO2 is widely used for photoelectric and photocatalytic conversion of solar energy in the UV spectral region. In order to sensitize TiO2 in the visible region, TiO2 is usually doped with transition metals, nitrogen, sulfur, and other elements [36]. However, the possibility of self-sensitization of TiO2 has been established by interruption of its stoichiometry [35]. Photodesorption of the structural oxygen reduces the surface of the photocatalyst Degussa P-25 TiO2 to TiO2−x/TiO2 and produces on the surface the defects Ti3+ ions and F− and F+-type color centers absorbing in the visible region. The vacancies in the cation sublattice localise a hole O giving V-type centers. Since the oscillator strength of V-type centers is less than that of F-type ones by a factor 10–100 it is difficult to detect them in optical spectra. Furthermore, photoreduction produces a 2D structure TiO2−x on the surface only but does not change the bulk stoichiometry. This creates the possibility of sensitizing the photocatalyst to the visible region of the spectrum. Many years ago, Formenti et al. [37] have shown by means of electron spin resonance (ESR) that O2 is formed on the irradiated undoped TiO2−x/TiO2 surface in a broad range of wavelengths up to 580 nm. Photo-desorption of the structural oxygen sensitize Degussa P-25 TiO2−x/TiO2 to the visible region of the spectrum. In particular, the photoactivated O2 adsorption/desorption, and the oxygen isotope exchange (POIE) were discovered in the O2 − (TiO2−x/TiO2) system under vis irradiation. It was shown that the correlation of POIE with photocatalytic oxidation of isobutane is manifested in a number of oxides: ZnO, TiO2, ZrO2, SnO2 [38,39,40]. The authors [40] conclude that POIE research could be fruitful for TiO2-based visible photocatalysts. It was found using optical diffuse-reflectance spectroscopy (DRS) and UV (8.43 eV) photoelectron spectroscopy (UPS) that the reduction of TiO2 induces light absorption in the region 380 < λ < 2500 nm, (0.5 < hν < 3.2 eV); see Figure 13a and ref. [41]. The absorption was ascribed partly to free electrons (a continuum at hν < 1.50 eV), to local centers—Ti3+ ions, and to F- and F+-type color centers. In TiO2−x/TiO2-based photocatalysts, the surface defects that act as trap sites for photoexcited charge carriers are quenched by the adsorption of gas molecules. The adsorbing oxygen heals the vacancies, forming the O2 species near the filled vacancies [42].
Figure 13. Optical and energetic parameters of the formed 2D-structure of TiO<sub>2−x</sub>/TiO<sub>2</sub>: (<strong>a</strong>) the induced difference optical absorption spectrum relative to TiO<sub>2</sub>; (<strong>b</strong>) the induced spectrum of surface electronic states according to UV (8.43 eV) PES data. The Fermi level is taken as the zero level. (<strong>c</strong>) the electronic Structure of TiO<sub>2−x</sub>/TiO<sub>2</sub>.
The reduction of the surface layer induces absorption across nearly the entire visible spectrum. Filled electronic states appear in the photoelectron spectrum, spanning from the top of the valence band to the Fermi level, see Figure 13b. The formation of the 2D core—shell structures such as TiO2−x/TiO2 on some parts of the surface region [42] and the bandgap decrease in these parts (Figure 13c are supposed to be based on the kinetic data (the “fast” excitations in bulk under UV irradiation and the “slow” one for the visible region). Coexistence of two independent excited electronic subsystems, such as the “fast” one for the excitation in the UV region and the “slow” one (up to 103 sec.) for the visible region, was revealed (see Figure 14). The lifetime of the surface excitations is many orders over the lifetime of the free carriers in the bands and compensates for the difference in the absorption coefficients in the UV and visible regions. The quantum yield of the hole centers Os generation rates were found to have a peak around 420 nm as well. These hole centers are highly chemically active: the quantum yield of POIEq in the sub-bandgap absorption region is ~30 times higher than in the fundamental absorption region of TiO2.
Figure 14. Efficiency (E) of oxygen isotope exchange (POIE) on oxidized TiO<sub>2−x</sub>/TiO<sub>2</sub> upon UV and various VIS irradiations. The inset displays that VIS POIE and UV POIE are additive.
4.2.2. Mechanism of Photocatalytic Reduction of NO by CO on TiO2x/TiO2 The proposed mechanism must adequately explain the following data: NO photo-adsorption on TiO2−x/TiO2, formation of reaction products (N2O, N2, and adsorbed CO2) from photo-adsorbed NO in CO under irradiation, the shape of the kinetic curves. Photo-adsorption of NO. Visible light irradiation of TiO2−x/TiO2 in pure NO produces strongly adsorbed species that cannot be evacuated at room temperature [43]. This suggests two parallel processes: one of them consumes electron donor species, and another one proceeds without the participation of these species. NO photoadsorption, with consumption of donor species, involves the following reaction sequence:
```latex\mathrm{N}\mathrm{O}(\mathrm{g})\leftrightarrow\mathrm{N}\mathrm{O}(\mathrm{a})```
```latex\mathrm{NO}(\mathrm{a})+\mathrm{Ti}^{3+}(\mathrm{e}^-)\overset{\mathrm{hv}}{{{\leftrightarrow}}}\mathrm{NO}^-(\mathrm{a})+\mathrm{Ti}^{4+}```
where e stands for F+ and F centers, i.e., oxygen anion vacancies filled with one or two e-, respectively. NO adsorption resulting in nitrosyl complexes NO(a) can occur on Ti4+ cus ions and/or F+ and F centers. The formation of nitrosyl complexes upon NO admission on TiO2 at room and lower (110 K) temperatures was detected by IR and reported in several studies [44]. NO photoadsorption, accompanied by the formation of electron centers, occurs as follows:
```latex\mathrm{Ti}^{4+}+\mathrm{O}^{2-}+\mathrm{NO}\left(\mathrm{a}\right)\underset{\mathrm{h v}}{\overset{\mathrm{h v}}{\leftrightarrow}}\mathrm{NO}_2^-\left(\mathrm{a}\right)+\mathrm{Ti}^{3+}```
where O2− is an oxide ion of TiO2, and NO2 denotes surface linear (I) or bidentate (II) nitrites. The formation of various types of nitrites and nitrates (NO3) on TiO2 in the presence of NO was detected by IR and reported in several papers [44,45]. An alternative mechanism for NO photoadsorption without consumption of electron-donor centers can be described by the following sequence of reactions:
```latex2\operatorname{NO}\left(\mathrm{a}\right)+\operatorname{O}^{2-}\overset{\mathrm{hv}}{{{\leftrightarrow}}}\operatorname{O}^2\operatorname{NO}^-\left(\mathrm{a}\right)+\operatorname{NO}_2^-\left(\mathrm{a}\right)```
Thus, NO photoadsorption is a disproportionation reaction of NO: NO(a) is reduced to NO(a) by donor centers via the reaction 4, whereas NO(a) is oxidized into NO2 (a) by O2 ions via the reaction 6. Formation of N2O and N2 upon Photoadsorption of NO. It appears that N2O is produced via
```latex\mathrm{NO}^-\begin{pmatrix}\mathrm{a}\end{pmatrix}+\mathrm{NO}\to\mathrm{N}_2\mathrm{O}+\mathrm{O}^-```
with the O species rapidly reacting with NO molecules. The overall reaction of N2O production (reactions 2, 5) can be written as
```latex\mathrm{T}\mathrm{i}^{3+}(\mathrm{e}^-)+3\mathrm{N}\mathrm{O}(\mathrm{a})\to\mathrm{T}\mathrm{i}^{4+}+\mathrm{N}\mathrm{O}_2^-(\mathrm{a})+\mathrm{N}_2\mathrm{O}```
Most likely, N2 is formed by N2O reduction by donor centers, i.e., N2O is an intermediate in the reduction of NO
```latex\mathrm{N}_2\mathrm{O}+\mathrm{T}\mathrm{i}^{3+}(\mathrm{e}^-)\to\mathrm{N}_2+\mathrm{O}^-+\mathrm{T}\mathrm{i}^{4+}```
The overall reaction can be written as:
```latex2\mathrm{Ti}^{3+}(2\mathrm{e}^-)+4\mathrm{NO}(\mathrm{a})\to2\mathrm{Ti}^{4+}+2\mathrm{NO}_2^-(\mathrm{a})+\mathrm{N}_2```
The observed yields of N2 and N2O are very small, and in the absence of CO, are only 2.5% and 0.8%, respectively, from the amount of NO photoadsorbed. Reaction Scheme upon Visible Light Irradiation of TiO2−x/TiO2 in CO-NO Mixtures. As shown above, the main photoadsorption product is NO2(a) (reaction 6), and one can assume that N2 and N2O are formed under irradiation in CO via NO2 (a) reduction by the following sequence of reactions:
```latex\mathrm{N}\mathrm{O}_2^-(\mathrm{a})+\mathrm{T}\mathrm{i}^{3+}\underset{\mathrm{h v}}{\overset{\mathrm{h v}}{\leftrightarrow}}\mathrm{N}\mathrm{O}(\mathrm{a})+\mathrm{T}\mathrm{i}^{4+}+\mathrm{O}^{2-}```
```latex\mathrm{Ti}^{4+}+\mathrm{O}^{2-}\overset{\mathrm{hv}}{{{{\leftrightarrow}}}}\mathrm{Ti}^{3+}+\mathrm{O}^{-}```
```latex\mathrm{Ti}^{4+}+\mathrm{O}^-+\mathrm{CO}\to\mathrm{Ti}^{3+}(\mathrm{e}^-)+\mathrm{CO}_2```
```latex\mathrm{NO(a)+Ti^{3+}(e^-)\overset{hv}{{{\leftrightarrow}}}NO^-(a)+Ti^{4+}}```
```latex\mathrm{NO^-\left(a\right)+NO\to N_2O+O^-}```
```latex\mathrm{N_2O+Ti^{3+}(e^-)\to N_2+O^-+Ti^{4+}}```
```latex\mathrm{O^-+NO(a)\to NO_2^-(a)}```
The above sequence of reactions can also be presented by the reaction cycle shown in Figure 15. The overall process according to this reaction sequence can be written as
```latex\mathrm{NO+CO}\overset{\mathrm{hv}}{{{\to}}}\mathrm{CO}_2+\frac{1}{2}\mathrm{N}_2```
The scheme (Figure 15) suggests the formation of adsorbed CO2(a) or carbonate species. It has been found [46] that carbonate species (bridged, bidentate, and monodentate) on TiO2 surface are rather thermally stable: according to IR data, these species are destroyed only partially upon heating to 340 K. This may explain why gaseous CO2 is not detected upon irradiation at room temperature and only appears upon irradiation at 340 K. The quantum yield of POIEq in the sub-bandgap absorption region is ~30 times higher than in the fundamental absorption region of TiO2.
Figure 15. Reaction Scheme upon Visible Light Irradiation of TiO<sub>2−x</sub>/TiO<sub>2</sub> in CO-NO Mixtures.

5. Conclusions

The results of complex studies of optical, electrophysical, and photocatalytic parameters in wide-bandgap oxide photocatalysts, such as dielectrics and semiconductors, obtained by a variety of complementary experimental methods, can be summarized below. A partial reduction is a universal method of self-sensitization of wide bandgap oxides. The induced oxygen vacancies form colored long-lived F- and V-type point defects that are photocatalytical active centers. 2D heterostructures ZnO/ZnO1−x and TiO2/TiO2−x creation on oxide surfaces by controlled photo-desorption of surface oxygen resulting in the bandgap reduction at the surface down to 2.7 Ev, concentrates the active sites on the surface in a monoatomic thickness layer. Since the electron exchange between the surface and the volume is disrupted, the lifetime of the active centers at the surface increases, reaching 103 s. As a result, the measured photocatalytic activity of one surface center is several times higher compared to the activity of similar volume centers. To enhance the exciton efficiency, a layered nanostructure ZnO/ZnO1−x/O was designed. An outer layer is superimposed on the ZnO/ZnO1−x structure. This is a “dead zone” in which the exciton decays, forming F- and V-type centers on the surface. The structure efficiency is demonstrated by the example of the POIE reaction. An experimental testing of self-sensitizated photocatalysts revealed that the quantum yield of the redox reaction $$\mathrm{CO}+\mathrm{NO}\overset{\mathrm{hv}}{\operatorname*{\to}}1/2\mathrm{N}_2\uparrow+\mathrm{CO}_{2_{\mathrm{ads}}}$$ on self-sensitized photocatalysts in the visible region is several times higher than that of the initial oxides in the UV region and remains stable during exploitation.

Acknowledgments

The author is grateful to the co-authors of the cited works.

Ethics Statement

Not applicable.

Informed Consent Statement

Not applicable.

Data Availability Statement

Data is available on request.

Funding

This research received no external funding.

Declaration of Competing Interest

The author declares that he has no known competing financial interests or personal relationships that could have appeared to influence the work reported in this paper.

References

  1. 1.
    Terenin AN, Kassparov KJ. Optical investigations of activated adsorption. I. Photodecomposition of NH3 adsorbed on catalysts. Acta Phys. Chim. 1941, 15, 341–365. [Google Scholar]
  2. 2.
    Vilesov FI, Lisachenko AA. Mass spectrometric study of some photocatalytic reactions. In Molecular Photonics; Nauka: Leningrad, Russia, 1970; pp. 318–334.
  3. 3.
    Terenin AN. Uchenye zapiski LGU (rus) 5 (1939) 26–40; AN Terenin, K. Ja. Kassparov. Acta Phys. Chim. 1939, 5, 26–40. [Google Scholar]
  4. 4.
    Emeline AV, Ryabchuk VK, Serpone N. Photoreactions occurring on metal-oxide surfaces are not all photocatalytic Description of criteria and conditions for processes to be photocatalytic. Cataly. Today 2007, 122, 91–100. [Google Scholar]
  5. 5.
    Volkenstein FF. Electronnye javlenija v katalyse i adsorbtsii na poluprovodnikah (Electron Phenomena in Catalysis and Adsorption on semiconductors). In Lectures on Internat. Sym; Nauka: Moscow, Russia, 1969. (In Russian)
  6. 6.
    Barry TG, Stone FS. The reactions of oxygen at dark and irradiated zinc oxide surfaces. Proc. Roy. Soc. 1960, 1280, 124–144. [Google Scholar]
  7. 7.
    Fujita Y, Kwan T. Photodesorption and photoadsorption of oxygen on zinc oxide. Bull. Chem. Soc. Japan. 1958, 31, 379. [Google Scholar]
  8. 8.
    Fujita Y, Kwan T. Photoresponces for the oxygen adsorbed on zinc oxide powder. Res. Inst. Catal. Hock. Univ. 1959, 7, 24–41. [Google Scholar]
  9. 9.
    Terenin AN. Photonika Molecul Krasitelei i Rodstvennyh Soedinenii; Nauka: Leningrad, Russia, 1967; p. 616. (In Russian)
  10. 10.
    Lisachenko AA, Vilesov FI. Mass spectrometric study of photoactivation of adsorbed molecules Vestnik of Leningrad State University. Ser. Phys. Chem. 1966, 2, 30–35. (In Russian) [Google Scholar]
  11. 11.
    Lisachenko AA, Vilesov FI. Photodesorption of OH radicals from a ZnO surface containing adsorbed water. Zh. Tekh. Fiz. 1969, 39, 442. [Google Scholar]
  12. 12.
    Ryabchuc VK, Basov LL, Lisachenko AA, Vilesov FI. Determination of the kinetic energy of photodesorption products by the time-of-flight method Zh. Tekh. Fiz. 1973, 43, 2148–2152. [Google Scholar]
  13. 13.
    Lisachenko AA, Vilesov FI, Terenin AN. Mass spectrometric study of photosorption processes Proceedings of the Academy of Sciences of the USSR. Chemist. Sect. 1965, 160–164, 864–866. [Google Scholar]
  14. 14.
    Basov LL, Solonitsyn YP. Measurement of the Absolute Quantum Yield of Heterogenic Photochemical Reactions, USSR 1973, Application No. 1971–1630307, Patent No. SU 387730 (kind A1) 1973, 9 February 1971.
  15. 15.
    Lisachenko AA. Photon-driven Electron and Atomic Processes on Solid-State Surface in Photoactivated Spectroscopy and Photocatalysis. J. Photochem. Photobio. A Chem. 2008, 196, 127–137. [Google Scholar]
  16. 16.
    Klimovskii AO, Krutitskaja TK, Lisachenko AA, Prudnikov IM. Surface Oxygen Atomic Structures on Photoactivated AL2O3. Phys. Low-Dim. Struct. 1998, 4, 167–174. [Google Scholar]
  17. 17.
    Kuznetsov VN, Lisachenko AA. Nature of optical absorption induced by UV irradiation of γ-Al2O3 in oxygen. Kinet. Catal. 1991, 32, 198–201. [Google Scholar]
  18. 18.
    Kuznetsov VN, Lisachenko AA. Spectral manifestations of intrinsic defects of wide-gap oxides in photostimulated surface reactions. J. Phys. Chem. 1991, 6, 1568–1574. [Google Scholar]
  19. 19.
    Klimovsky AO, Lisachenko AA. Characteristics of interaction between simple molecules and photoinduced centres of dispersed γ-Al2O3. Sov. J. Chem. Phys. 1990, 6, 852–865. [Google Scholar]
  20. 20.
    Kuznetsov VN, Lisachenko AA. Dynamic character of photosorption processes. The O2-BeO system. Kinet. Catal. 1986, 27, 557–562. [Google Scholar]
  21. 21.
    Kuznetsov VN, Klimovskii AO, Lisachenko AA. On the nature of optical absorption induced by UV activated adsorption of simple molecules on MgO. Kinet. Catal. 1990, 31, 659–665. [Google Scholar]
  22. 22.
    Lisachenko AA. Photoactivation Spectroscopy of Electron and Atomic Processes on Oxides Surface. Phy. Low-Dimens. Struct. 2002, 8, 231–246. [Google Scholar]
  23. 23.
    Winter ERS. The use of 18 O in studies of the reactivity of solid oxides. Faraday Soc. Discuss. 1950, 8, 231–237. [Google Scholar]
  24. 24.
    Terenin AN. Release of adsorbed gases from metals and semiconductors and their adsorption under the action of light. Probl. Kinet. Catal. 1955, 8, 17. (In Russian) [Google Scholar]
  25. 25.
    Tkalich VS, Lisachenko AA. The Mechanism of Photoactivation of Isotopic Exchange of Oxygen Adsorbed on ZnO. Soviet J. Chem. Phys. 1990, 6, 1264. [Google Scholar]
  26. 26.
    Titov VV, Lisachenko AA, Labzovskaya ME, Akopyan IK, Novikov BV. Long-Lived Photocatalysis Centers Created in ZnO via Resonant Exciton Excitation. Phys. Solid State 2019, 61, 2134–2138. [Google Scholar]
  27. 27.
    Kuznetsov VN, Lisachenko AA. Spectral manifestation of wide band oxides. Russian J. Phys. Chem. 1991, 65, 1328–1334. [Google Scholar]
  28. 28.
    Lisachenko AA, Basov LL. Point Defects of F-Type as Centers of Self-Sensitization of ZnO in Visible Region. In Proceedings of the 25th International Conference on Defects in Semiconductors (ICDS-25), St.Petersburg, Russia, 20–24 July 2009; pp. 363−363.
  29. 29.
    Titov VV, Lisachenko AA. Modeling of the Kinetics of Photoactivated Isotope Exchange O2 ⇄ ZnO in a Flow-Through Reactor. Kinet. Catal. 2021, 62, 900–905. [Google Scholar]
  30. 30.
    Lisachenko AA, Novikov BV. Potential Role of Exciton in Photocatalysis. Photocatal. Res. Potent. 2023, 1, 10005. [Google Scholar]
  31. 31.
    Lisachenko AA. Electron Exchange and Oxygen Rearrangements on Photoactivated Oxide Surface. Phys. Low-Dim. Struct. 2000, 8, 1–26. [Google Scholar]
  32. 32.
    Blashkov IV, Basov LL, Lisachenko AA. Photocatalytic Reaction NO + CO + hν → CO2 + 1/2N2 Activated on ZnO1−x in the UV−Vis Region. J. Phys. Chem. C 2017, 121, 28364–28372. [Google Scholar]
  33. 33.
    Lisachenko AA. Study of self-sensitization of wide-gap oxides to visible light by intrinsic defects: From Terenin to the present days. J. Photochem. Photobio. A Chem. 2018, 354, 47–60. [Google Scholar]
  34. 34.
    Lisachenko AA, Mikhailov RV, Basov LL, Shelimov BN, Che M. Photocatalytic Reduction of NO by CO on Titanium dioxide under Visible Light Irradiation. J. Phys. Chem. C. 2007, 111, 14440–14447. [Google Scholar]
  35. 35.
    Lisachenko AA, Mikhailov RV. Point Defects as the Centers of Titanium Dioxide Sensitization in the Visible Spectral Range. Techn. Phys. Lett. 2005, 31, 21–24. [Google Scholar]
  36. 36.
    Fujishima A, Zhang X, Tryk DA. Heterogeneous photocatalysis: From water photolysis to applications in environmental cleanup. Int. J. Hydrog. Energy 2007, 32, 2664–2672. [Google Scholar]
  37. 37.
    Formenti M, Courbon H, Juillet F, Lissatсhenko A, Martin JR, Meriaudeau P, et al. Photointeraсtion between Oxygen and Nonporous Partiсles of Anatase. J. Vac. Sci. Techn. 1972, 9, 947–952. [Google Scholar]
  38. 38.
    Courbon H, Formenti M, Pichat P. Study of Oxygen Isotopic Exchange over Ultraviolet Irradiated Anatase Samples and Comparison with the Photooxidation of Isobutane into Acetone. J. Phys. Chem. 1977, 81, 550–554. [Google Scholar]
  39. 39.
    Courbon H, Pichat P. Occurrence and mechanism of oxygen isotopic exchange catalyzed by ultraviolet-irradiated tin (IV) oxide, zinc oxide and zirconium (IV) oxide at 320 K. Compt. Rend. Acad. Sci. Paris 1977, 285, 171. [Google Scholar]
  40. 40.
    Pichat P, Courbon H, Enriquez R, Tan TTY, Amal R. Light-Induced Isotopic Exchange between O2 and Semiconductor Oxides, a Characterization Method That Deserves Not to Be Overlooked. Res. Chem. Intermed. 2007, 33, 239–250. [Google Scholar]
  41. 41.
    Lisachenko AA, Kuznetsov VN, Zakharov MN, Mikhailov RV. Interaction of O2, NO, N2O with surface defects of dispersed titanium dioxide. Kinet. Catal. 2004, 45, 205–213. [Google Scholar]
  42. 42.
    Lisachenko AA, Mikhailov RV, Basov LL, Shelimov BN, Che M. Use of 2D heterostructure TiO2/TiO2−x for sensitization of TiO2 to the visible region of the spectrum. Russian Nanotech. 2007, 2, 92–94. [Google Scholar]
  43. 43.
    Mikhailov RV, Lisachenko AA, Shelimov BN, Kazansky VB, Martra G, Alberto G, et al. FTIR and TPD Analysis of Surface Species on a TiO2 Photocatalyst Exposed to NO, CO, and NO−CO Mixtures: Effect of UV−Vis Light Irradiation. J. Phys. Chem. C 2009, 113, 20381–20387. [Google Scholar]
  44. 44.
    Ramis G, Busca G, Lorenzelli V, Forzatti P. Fourier Transform Infrared Study of the Adsorption and Coadsorption of Nitric Oxide, Nitrogen Dioxide and Ammonia on TiO2−Anatase. Appl. Catal. 1990, 64, 243. [Google Scholar]
  45. 45.
    Pozdnyakov DV, Filimonov VN. An IR Spectroscopic Study of Nitrogen Monoxide and Nitrogen Dioxide Chemisorption on Metal Oxides. Kinet. Catal. 1972, 14, 760–766. [Google Scholar]
  46. 46.
    Liao LF, Lien CF, Shieh DL, Chen MT, Lin JL. FTIR study of adsorption and photoassisted oxygen isotopic exchange of carbon monoxide, carbon dioxide, carbonate, and formate on TiO2. J. Phys. Chem. B 2002, 106, 11240. [Google Scholar]
TOP