SCIEPublish

Age Differences and Underlying Psychological Mechanisms in Short Video Use: From an Adult Lifespan Perspective

Article Open Access

Age Differences and Underlying Psychological Mechanisms in Short Video Use: From an Adult Lifespan Perspective

Author Information
1
Faculty of Psychology, Southwest University, Chongqing 400715, China
2
Department of Humanities, South East Technological University, R93 V960 Carlow, Ireland
3
School of Psychology, Shaanxi Normal University, Xi’an 710062, China
*
Authors to whom correspondence should be addressed.

Received: 19 December 2024 Revised: 25 January 2025 Accepted: 08 May 2025 Published: 14 May 2025

Creative Commons

© 2025 The authors. This is an open access article under the Creative Commons Attribution 4.0 International License (https://creativecommons.org/licenses/by/4.0/).

Views:5767
Downloads:754
Lifespan Dev. Ment. Health 2025, 1(2), 10009; DOI: 10.70322/ldmh.2025.10009
ABSTRACT: Short videos attract users across various age groups; however, studies focusing on single populations, such as adolescents, have limited the understanding of possible age-related changes and differences in short video use. The aim of this study was to examine age trends in short video use and to identify age differences in the psychological mechanisms underlying use behaviors. A total of 1006 adults aged 18–83 years participated in the study and completed a battery of assessments, including short video use, self-control, social motivation, and covariates. The results showed that age moderated the effects of boredom proneness and fear of missing out on short video use. Self-control was associated with people’s use behavior, and boredom proneness and fear of missing out mediated this association across age. Specifically, older adults’ use was more likely to be associated with alleviating boredom rather than fear of missing out, whereas both were associated with young adults’ use. Investigating these mechanisms may provide a better understanding of the factors that correlate with short video use and help target interventions to different age groups.
Keywords: Short video use; Age differences; Lifespan; Boredom proneness; Fear of missing out

1. Introduction

According to “The 51st Statistical Report on Internet Development in China” by the China Internet Network Information Center (CINIC), as of December 2022, the number of short video users in China reached 1.012 billion, accounting for 94.8% of the total internet population [1]. Short videos are high-frequency pushes that last from a few seconds to a few minutes and are shared across different media platforms, such as TikTok, designed for quick viewing during breaks [2]. Short videos have captivated users of all ages, allowing people to enjoy entertainment and social interaction. However, the intense stimulation, fast pace, and high level of engagement of short videos can also lead to overuse and addiction, contributing to negative outcomes such as anxiety [3], depression [4], sleep disturbance [5], negative emotions [6], and decreased well-being [7,8]. Previous studies have focused on specific age groups, such as adolescents [9], and have not provided a comprehensive understanding of short video use across the lifespan. In the current context, the proportion of older adults using short video applications has increased significantly, with the proportion of people aged 50 and over increasing from 26.8% in 2021 to 30.8% in 2023 [1]. Therefore, it is important to consider age differences when addressing the psychological mechanisms underlying short video use. The purpose of this paper is, first, to examine age-related trends among individuals aged 18 years and over to provide insights into short video use from an adult lifespan perspective. Second, to elucidate the possible psychological mechanisms underlying short video use and how age plays a moderating role. 1.1. Self-Control and Short Video Use Motivations Among the various predictors of internet-related addiction, self-control is one of the robust factors [10]. Self-control refers to the ability to regulate one’s actions, emotions, and thoughts in accordance with personal and societal norms, thereby contributing to the achievement of long-term motivations [11]. Individuals with higher levels of self-control are less likely to become addicted because their ability to manage impulses and prioritize long-term goals outweighs the immediate gratification provided by short video applications. This study examines the relationship between self-control and short video use across age groups and hypothesizes a negative relationship between self-control and short video use (see Figure 1 for the hypothesis model, HM_a1). In the relationship between self-control and short video overuse, an individual’s social motivations may play a mediating role. From a lifespan perspective, socioemotional selectivity theory (SST) posits that social behaviors are driven by two primary motivations: knowledge acquisition and emotion regulation. Furthermore, these two motivations are involved in a dynamic interplay of mutual growth and decline throughout the lifespan [12]. Knowledge acquisition involves seeking and gaining information through social interactions, allowing individuals to observe and understand others while acquiring the social skills necessary for survival. Emotion regulation seeks to manage a wide range of emotional states by emphasizing meaning in life, characterized by the avoidance of negative emotions and the preference for positive ones. Boredom and fear of missing out are the two main social motivations for short video use. Fear of missing out, also referred to as FoMO, has been identified as a mediator in the relationship between certain personal characteristics, such as need deficits and emotional problems, and social media and smartphone addiction [13]. In the context of short videos, “fear of missing out” refers to the specific perception in the online environment that others may have useful information that one is missing out on. A study had found that self-control was associated with fear of missing out [14]. People with greater self-control tend to have better emotional regulation [15]. This allows them to effectively manage the tension and anxiety caused by missed social opportunities and reduce the fear of missing out. The current study hypothesizes that fear of missing out is negatively correlated with self-control (HM_a2), positively correlated with short video use (HM_a3), and mediates the relationship between the two. Boredom, another possible mediator between self-control and short video use, is a state of low arousal due to insufficient stimulation that manifests as an internal feeling of dissatisfaction and aversion [16]. People often counteract this negative psychological state with external actions [17] and increase exploration of new experiences [18]. Studies have linked boredom proneness to social media addiction [7,9]. A study had found that boredom is linked to lower self-control [19]. Individuals with higher self-control are less prone to boredom because they can engage in meaningful activities and find value in a wider range of pursuits, thus reducing the need for continuous digital engagement. We hypothesize that boredom proneness is negatively correlated with self-control (HM_a4), positively correlated with short video use (HM_a5), and acts as a mediator between the two. 1.2. Age Differences Age may influence how self-control and motivations affect short video use. Numerous studies have shown that self-control gradually increases with age [20,21]. There may be age differences in the effect of self-control on short videos. Meanwhile, SST suggests that as people get older, they perceive time as more limited and their social motivation changes, shifting from knowledge acquisition to emotional regulation [12]. Fear of missing out and boredom are two main motivations for short video use. Therefore, age group may moderate the effects of fear of missing out and boredom on short video use. In particular, it has indeed been observed that fear of missing out is significantly correlated with problematic smartphone use among university students [22]. Fear of missing out decreases with age [23], suggesting that fear of missing out may influence short video use in a way that is moderated by age. On the other hand, boredom, which is recognized as a negative state, is prevalent across the adult lifespan [24] and has been identified as a real problem among older adults [25]. We hypothesize that (1) age moderates the relationship between self-control and short video use (HM_m1); (2) age moderates the relationship between fear of missing out and short video use (HM_m2); and (3) age moderates the relationship between boredom and short video use (HM_m3).
Figure 1. The hypothetical structural equation modelling.

2. The Present Study

The present study aims to understand how short video use changes with age and the underlying psychological mechanisms. First, we examined the age trend of short video use across the adult lifespan and determined whether this trend followed a linear or quadratic distribution. Second, a structural equation model explored the psychological mechanisms underlying short video use and the moderating effect of age. This analytical approach first tests whether there is a significant difference in the models for the three age groups, and then tests whether there is a difference at each edge. The theoretical model, illustrated in Figure 1, proposes that fear of missing out and boredom proneness mediate the relationship between self-control and short video use in parallel. In addition, age moderates the pathways leading to short video use.

3. Methods

3.1. Transparency and Openness All the raw data this study uses to drive the results are available in the OSF (https://osf.io/ydvxk/, accessed on 4 March 2024). This study was reviewed and approved by the Ethics Committee of the Faculty of Psychology, Southwest University (H23158) following the Declaration of Helsinki, and all participants were informed of the purpose and procedure of the study and signed a written informed consent form. This design and analysis of this study were not pre-registered. 3.2. Participants Data collected from June to December 2022. Participants were recruited from the local community in China through social media advertisements and text messages or from Wen Juan Xing (Changsha Ranxing Information Technology Co., Ltd., Changsha, China)—the largest online survey platform in China. Subjects who responded too quickly and were not serious in their answers were excluded. A total of 1006 participants between the ages of 18 and 83 years participated in this study. Demographic characteristics are shown in Table 1. In the initial stages of data analysis, age was used as a continuous variable to explore age trends in short video use. In subsequent analyses, age was used as a categorical variable to explore differences among the three age groups. For illustrative purposes, demographic characteristics are presented separately by age group (young adults aged 18–30 years, middle-aged adults aged 31–60 years, and older adults aged over 60 years). All participants gave informed consent and were compensated between 8 and 30 RMB for their participation.

Table 1. Demographic characteristics and Cronbach’s α of the scales.

Total Young Adults
M (SD)
Middle-Aged Adults
M (SD)
Older Adults
M (SD)
p a Cronbach’s α
n 1006 332 424 250
Female, n (%) 582 (57.85%) 201 (60.54%) 213 (50.24%) 168 (67.2%) 0.000
Age (years) 43.11 (18.77) 22.12 (2.68) 44.14 (8.34) 69.24 (4.44) 0.000
Education level (0~5) 3.74 (1.43) 4.78 (0.55) 3.92 (1.23) 1.07 (1.02) 0.000
Social economic status (1~10) 4.99 (1.57) 5.10 (1.53) 5.20 (1.57) 4.52 (1.57) 0.000
Years of use (years) 4.15 (2.24) 4.84 (1.88) 4.17 (2.23) 3.23 (2.38) 0.000
SVU (6~42) 21.31 (4.70) 22.53 (4.27) 21.83 (4.71) 18.82 (4.32) 0.000 0.90
BPS (8~56) 28.61 (10.67) 31.47 (11.70) 28.44 (10.49) 25.10 (8.19) 0.000 0.92
BSCS (7~35) 23.41 (5.09) 21.99 (5.81) 23.58 (4.72) 24.98 (4.07) 0.000 0.78
FoMO (8~40) 22.27 (5.08) 21.63 (5.02) 22.26 (4.72) 23.14 (5.63) 0.000 0.84

Notes. a p-values indicate the significance of differences between age groups by one-way ANOVA or chi-squared test. Education, 0 = illiterate, 1 = primary school graduate, 2 = junior high school graduate, 3 = high school or polytechnic school graduate, 4 = junior college graduate, 5 = college graduate; SVU, short video use; BPS, the short boredom proneness scale; BSCS, the brief self-control scale; FoMO, the fear of missing out scale.

3.3. Measures We used a battery of assessments to measure short video use, boredom proneness, fear of missing out, and other potential correlates. Cronbach’s α coefficients for each scale are shown in Table 1. 3.3.1. Short Video Use The short video use (SVU) scale was adapted from the Facebook addiction scale [26], which has been widely used in short video addiction and overuse research [2,27]. This scale consists of six items and uses a 7-point Likert scale, with higher scores indicating greater short video use, such as “I have attempted to spend less time on short video apps, but have not succeeded”. In this context, short videos include videos provided by various platforms on the internet, such as TikTok, Weibo, and Today’s Headlines. 3.3.2. Self-Control For self-control, the brief self-control scale (BSCS) was used, which consists of seven items and includes two subscales: self-discipline and impulse control [28]. This scale uses a 5-point Likert scale ranging from completely inconsistent to completely consistent, with higher scores indicating greater self-control, such as “I am good at resisting temptation”. 3.3.3. Boredom To measure boredom, the short version of the boredom proneness scale (BPS) was used, which consists of eight items and uses a 7-point Likert scale [17], with higher scores representing higher levels of boredom proneness, such as “I often find myself at ‘loose ends’, not knowing what to do”. 3.3.4. Fear of Missing Out An adaptive version of the fear of missing out (FoMO) scale was used, which contains eight items, with each item rated on a 5-point Likert scale [13], such as “I fear others have more rewarding experiences than me”. This scale has been widely used in social media research and is sensitive and quantifies an individual’s fear of missing out [29,30]. 3.4. Statistical Analysis First, to examine the age trend of short video use across the adult lifespan, we used multiple regression analysis in R (Version 4.2) with age as a predictor to test for linear and age-squared for nonlinear relationships between short video use and age. Second, to test the proposed hypotheses, we examined the age-related differences in the mechanisms underlying short video use. We used a structural equation modeling (SEM) with latent variables in Mplus (v.8) to examine the moderating effect of age groups among young adults (aged 18–30), middle-aged adults (aged 31–60), and older adults (aged 60+). Age groups, as categorical variables, were characterized by creating two dummy variables. We calculated the effects of self-control, fear of missing out, and boredom on short video use across age groups. Then, the effect sizes were compared among three age groups. Model fit indices were used to test whether the models are valid or not, including Tucker-Lewis Index (TLI) and Comparative Fit Index (CFI) acceptable above 0.88 and preferably above 0.90, the Root Mean Square Error of Approximation (RMSEA) less than 0.07, and Akaike Information Criterion (AIC).

4. Results

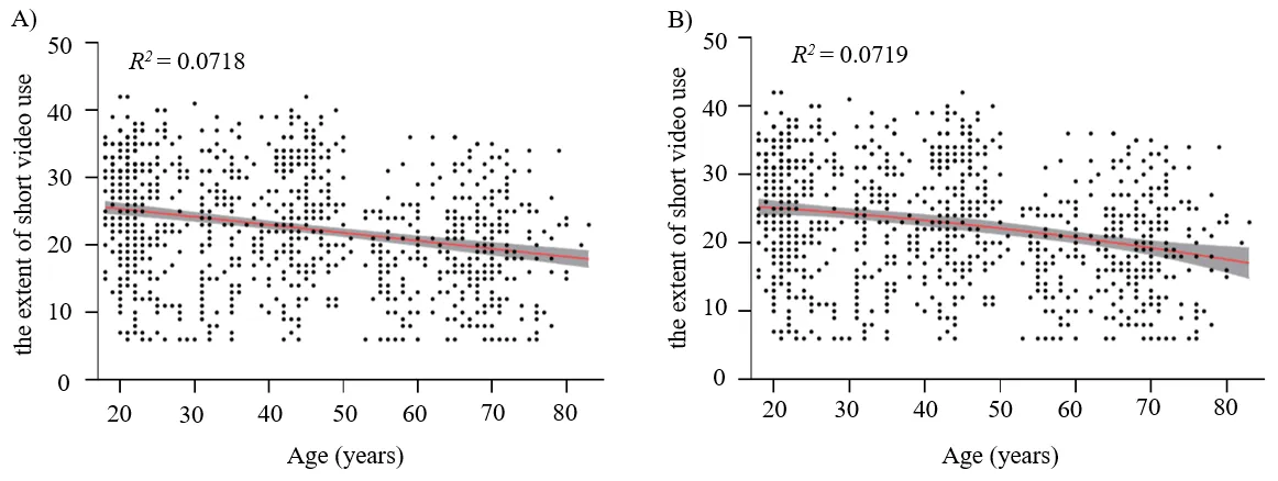
4.1. Age Trends in Short-Form Video Use Across the Adult Lifespan The linear effect of age was a significant independent predictor of short video use, explaining 7.18% of the variance in the model. As shown in Figure 2, short video use tended to decrease with age. Although the quadratic model was significant, explaining 7.19% of the variance, but the variable age or age squared was not. Model comparison showed that the difference between the linear and quadratic effect models was not significant (p = 0.27). Overall, the results suggest a linear relationship between age and short video use, meaning that short video use gradually decreased as age increased.
Figure 2. The relationship between age and short video use. (<b>A</b>) Linear relationship and (<b>B</b>) quadratic relationship.
4.2. Age Differences in Psychological Mechanisms Underlying Short Video Use To explore the potential impact of self-control, boredom, and fear of missing out on short video use and its mechanisms, we developed possible structural models among these variables based on the research hypotheses with latent variables. We first developed the baseline model with no interaction terms (M0), which was well fitted (Chi-Square = 1832.465, df = 443, p < 0.001; RMSEA = 0.056, CFI = 0.901, TLI = 0.890, SRMR = 0.062; AIC = 86573.651, H0 = −43,178.825). In this baseline model, self-control negatively predicted short video use (β = −0.171, p < 0.001), and boredom proneness (β = 0.484, p < 0.001) and fear of missing out (β = 0.199, p < 0.001) positively predicted short video use. In addition, the mediating effect of boredom proneness (β = −0.349, p < 0.001, 95%CI = [−1.704, −0.972]) and fear of missing out (β = −0.121, p < 0.001, 95%CI = [−0.677, −0.248]) was significant. Next, we developed the model containing the interaction terms (M1). The model fit for M1 (AIC = 86568.335, H0 = −43170.168) was significantly better than that for M0 (p < 0.05). The age group moderated the effect of self-control on short video use, boredom proneness on short video use, and fear of missing out on short video use (Figure 3). The specific coefficients are shown in Table 2. In the effect of boredom proneness on short video use, there was a significant difference between older adults and middle-aged adults (OA: β = 0.565, p < 0.001; MA: β = 0.426, p < 0.001; p = 0.019). In the effect of self-control on short video use, there were significant differences between young adults and middle-aged adults (YA: β = −0.045, p = 0.554; MA: β = −0.187, p < 0.001; p = 0.004) and older adults and middle-aged adults (OA: β = −0.052, p = 0.601; MA: β = −0.187, p < 0.001; p = 0.045). In the effect of fear of missing out on short video use, there was a significant difference between older adults and middle-aged adults (OA: β = 0.156, p = 0.983; MA: β = 0.267, p < 0.001; p = 0.042). In the effect of fear of missing out on short video use, there was a significant difference between older adults and young adults (OA: β = 0.156, p = 0.983; YA: β = 0.273, p < 0.001; p = 0.029). Similarly, indirect effects showed that both boredom (95%CI [−1.696, −0.786]) and fear of missing out (95%CI [−0.829, −0.284]) mediated the effect of self-control on short video use in young adults. In middle-aged adults, both boredom (95%CI [−1.228, −0.452]) and fear of missing out (95%CI [−0.833, −0.231]) mediated the effect of self-control on short video use. In older adults, only the boredom (95%CI [−2.203, −0.935]) mediated the effect of self-control on short video use. The results showed that self-control had a more significant effect on short video use in middle-aged adults than did in young adults and older adults, boredom proneness had a greater effect in older adults than in middle-aged adults, and fear of missing out had a greater effect in young adults and middle-aged adults than in older adults.

Table 2. Age differences in the effect of self-control, boredom, and fear of missing out on short video use.

Standardized Results Unstandardized Results

Bootstrap

95%CI

Effect Percentage
BSCS→BPS (a4) −0.705 −2.481 [−3.086, −1.876]
BSCS→FoMO (a2) −0.588 −1.424 [−1.794, −1.055]
Young adults
BSCS→SVU (a1) −0.045 −0.156 [−0.676, 0.363] 7.98%
BPS→SVU (a5) 0.507 0.500 [0.352, 0.648]
FoMO→SVU (a3) 0.273 0.391 [0.223, 0.558]
Total effect −0.203 −1.954 [−2.584, −1.324] 100%
BSCS→FoMO→SVU −0.161 −0.557 [−0.829, −0.284] 28.51%
BSCS→BPS→SVU −0.357 −1.241 [−1.696, −0.786] 63.51%
Total indirect effect −0.158 −1.798 [−2.318, −1.277] 92.02%
Middle-aged adults
BSCS→SVU (a1) −0.187 −1.157 [−1.668, −0.645] 45.77%
BPS→SVU (a5) 0.426 0.338 [0.205, 0.472]
FoMO→SVU (a3) 0.267 0.373 [0.185, 0.562]
Total effect −0.644 −2.528 [−3.140, −1.917] 100%
BSCS→FoMO→SVU −0.157 −0.532 [−0.833, −0.231] 21.04%
BSCS→BPS→SVU −0.300 −0.840 [−1.228, −0.452] 33.23%
Total indirect effect −0.457 −1.372 [−1.825, −0.919] 54.27%
Older adults
BSCS→SVU (a1) −0.052 −0.215 [−1.028, 0.599] 12.01%
BPS→SVU (a5) 0.565 0.633 [0.421, 0.844]
FoMO→SVU (a3) 0.156 0.004 [−0.308, 0.315]
Total effect −0.441 −1.790 [−2.501, −1.078] 100%
BSCS→FoMO→SVU 0.009 −0.005 [−0.449, 0.438] 0.28%
BSCS→BPS→SVU −0.398 −1.569 [−2.203, −0.935] 87.65%
Total indirect effect −0.389 −1.575 [−2.220, −0.929] 87.99%

Notes. SVU, short video use; BPS, the short boredom proneness scale; BSCS, the brief self-control scale; FoMO, the fear of missing out scale.

Figure 3. Age group moderated the effect of (<b>A</b>) self-control on short video use, (<b>B</b>) boredom proneness on short video use, and (<b>C</b>) fear of missing out on short video use.

5. Discussion

Short video use is increasingly recognized as an important social issue. Understanding its psychological mechanisms and corresponding age differences across the adult lifespan is important for both theoretical advancement and practical application. Theoretically, it provides insight into the interplay of correlates that drive use behavior and facilitates the development of theoretical models. On a practical level, recognizing that different age groups may engage with short videos with different social motivations is crucial for tailoring interventions to address the needs of different age groups. The results showed a decreasing trend in short video use with adult age, with age accounting for 7.18% of the variation in short video use. Second, we examined differences in the underlying psychological mechanisms of short video use across age groups. Results showed that age moderated the effects of self-control, fear of missing out, and boredom proneness on short video use, with older adults’ use being more related to boredom proneness, middle-aged adults’ use being most related to self-control, and young adults’ use being related to both fear of missing out and boredom proneness. 5.1. Short Video Use Across the Adult Lifespan Short video use was found to decrease with increasing age across the adult lifespan. Younger adults were more likely to use short videos than older adults. One possibility is that interactive, entertaining, and media-rich short videos are more prevalent among younger adults as a way to access news and information quickly and to fill fragmented time to meet their knowledge acquisition goals. Another possibility is that younger adults may be under more pressure at work and in life, and short videos are a way for them to regulate their emotions. Research has shown that young adults have a lower ability to regulate their emotions compared to older adults [31]. Smartphone overuse can be seen as an emotional regulation strategy that requires little cognitive effort [32]. Therefore, younger adults may be more inclined to indulge in short videos as a means of emotional regulation. In addition, the content of these videos often facilitates communication and discussion on various topics, which appeals to the high demand for social interaction and novelty often observed in younger adults. In contrast, older adults may be less enticed to use smartphones than younger and middle-aged adults [33], resulting in lower overall frequency of short video use. Note that the current study did not include adolescents under the age of 18, even though they are a vulnerable group for short video use. This is because in China, where the research was conducted, most adolescents are not allowed to use smartphones independently. The use of mobile phones by adolescents is strictly regulated by their parents, guardians, and schools. Therefore, data on adolescents’ use of short videos are more confounded by these factors for inclusion in the study. 5.2. Psychological Mechanisms and Age Differences Age moderated the effect of self-control on short video use. Self-control was found to be negatively predictive of short video use and was more pronounced among middle-aged adults. This is consistent with previous studies that have found that levels of self-control influence addictive behavior [34,35,36]. In terms of the specificity of middle-aged adults, on the one hand, young adults’ and older adults’ lives are full of uncertainty. Uncertainty can create a sense of insecurity for both young and older adults, leading to an inability to resist immediate temptations and poor self-control. Therefore, young and older adults’ use of short videos may be less affected by self-control. On the other hand, compared to older adults, middle-aged adults tend to have a better grasp and understanding of smartphones and internet technology. This skill allows them to access and use short video platforms, which challenges their self-control more easily. Our findings are consistent with the SST, which states that motivation to use short videos changed with age. The motivation for knowledge acquisition and emotion regulation changes dynamically with age. In the context of short videos, one aspect of knowledge acquisition is mitigating the “fear of missing out” and alleviating boredom is one of the emotional regulations. Age moderated the effects of boredom and fear of missing out on short video use. Boredom is a common influence on short video use, and in the effect of boredom proneness on short video use, there was a significant difference between older adults and middle-aged adults. Both young and middle-aged adults’ short video use is affected by fear of missing out, while older adults are not affected by fear of missing out. For older adults, their short video use was driven more by alleviating boredom rather than by fear of missing out and self-control. Older adults use short videos less frequently and experience less boredom compared to younger and middle-aged adults. However, they are more likely to turn to short videos for relief when they feel bored. This reflects positive psychological development in older adults, characterized by lower boredom and video use. It aligns with traditional Chinese cultural beliefs from the Analects: “At sixty, I attained a state of effortless understanding; at seventy, I followed my heart’s desires without overstepping boundaries,” emphasizing that intellectual and moral growth deepens with age. For young adults, both fear of missing out and boredom contribute significantly to the use of short videos. Our study is consistent with previous findings that boredom and fear of missing out are influential factors in young adults’ internet use [37]. Fear of missing out on social hotspots, internet trending topics, and messages from friends are among the social activities that increase people’s engagement with short video [29]. In particular, young adults tend to pay more attention to the information provided by short videos and to keep up to date with popular topics [38]. They are more eager to connect with peers and increase their number of friendships [22,37], making them more susceptible to the fear of missing out. Meanwhile, younger adults have more leisure time, leading them to use these platforms more frequently and intensely to alleviate boredom. 5.3. Limitations Several limitations should be noted. First, short video use was self-reported by participants, which may be influenced by social desirability [39]. It is possible that participants may have concealed their use behaviors and thoughts during the survey in order to conform to social expectations. Despite efforts to ensure anonymity in the questionnaire design, it was difficult to eliminate social desirability bias completely. Second, the collection of data at a single point could potentially introduce a cohort effect limiting causal insights into factors influencing short-form video overuse. Third, the sample, drawn from China, might restrict the findings’ generalizability. However, controlling for demographic variables like education level and gender yields consistent results, suggesting the robustness of findings. Future research may examine short video use across more diverse cultures.

6. Conclusions

This study was the first to examine age trends in short video use and the underlying psychological mechanisms across the adult lifespan. We found a gradual decline in short video use with age. Furthermore, the influencing factors and psychological pathways leading to short video use were moderated by age. Investigating these mechanisms may provide a better understanding of the factors that trigger and maintain short video use, and help target treatment to different age groups.

Acknowledgments

The authors acknowledge all participants in this study.

Author Contributions

K.W.: Investigation, Formal analysis, Methodology, Writing-original draft; J.J.: Conceptualization, Investigation; D.M.: Writing-review and editing; B.Z.: Writing-review and editing, and J.Y.: Conceptualization, Funding acquisition, Writing-review and editing.

Ethics Statement

The study was conducted according to the guidelines of the Declaration of Helsinki, and approved by the Ethics Committee of the Faculty of Psychology, Southwest University (protocol code H23158 and date of approval: 14 September 2023).

Informed Consent Statement

Informed consent was obtained from all subjects involved in the study.

Data Availability Statement

All the raw data this study uses to drive the results are available in the OSF (https://osf.io/ydvxk/, accessed on 4 March 2024).

Funding

This work was supported by the National Natural Science Foundation of China (32371109, 71942004).

Declaration of Competing Interest

The authors have no conflict of interest to report.

Public Significance Statement

The boom of short videos has enriched people’s lives while bringing many negative effects. Differences in factors influencing short video use among different age groups, such as older adults’ overuse, were more likely to be influenced by boredom but not by fear of missing out. Investigating the underlying psychological mechanisms may provide a better understanding of the factors that trigger and maintain short video use, and help target treatment to different age groups.

References

  1. 1.
    The 51st Statistical Report on China’s Internet Development. 2023. Available online: https://www.cnnic.net.cn/NMediaFile/2023/0322/MAIN16794576367190GBA2HA1KQ.pdf (accessed on July 2023).
  2. 2.
    Zhang X, Wu Y, Liu S. Exploring short-form video application addiction: Socio-technical and attachment perspectives. Telemat. Inform. 2019, 42, 101243. [Google Scholar]
  3. 3.
    Peng C, Lee JY, Liu S. Psychological phenomenon analysis of short video users’ anxiety, Addiction and Subjective well-being. Int. J. Contents 2022, 18, 27–39. [Google Scholar]
  4. 4.
    Chao M, Lei J, He R, Jiang Y, Yang H. TikTok use and psychosocial factors among adolescents: Comparisons of non-users, moderate users, and addictive users. Psychiatry Res. 2023, 325, 115247. [Google Scholar]
  5. 5.
    Kitazawa M, Yoshimura M, Murata M, Sato‐Fujimoto Y, Hitokoto H, Mimura M, et al. Associations between problematic Internet use and psychiatric symptoms among university students in Japan. Psychiatry Clin. Neurosci. 2018, 72, 531–539. [Google Scholar]
  6. 6.
    Cheng X, Su X, Yang B, Zarifis A, Mou J. Understanding users’ negative emotions and continuous usage intention in short video platforms. Electron. Commer. Res. Appl. 2023, 58, 101244. [Google Scholar]
  7. 7.
    Bai J, Mo K, Peng Y, Hao W, Qu Y, Lei X, et al. The Relationship Between the Use of Mobile Social Media and Subjective Well-Being: The Mediating Effect of Boredom Proneness. Front. Psychol. 2020, 11, 568492. [Google Scholar]
  8. 8.
    Ye JH, Wu YT, Wu YF, Chen MY, Ye JN. Effects of Short Video Addiction on the Motivation and Well-Being of Chinese Vocational College Students. Front. Public Health 2022, 10, 847672. [Google Scholar]
  9. 9.
    Lu L, Liu M, Ge B, Bai Z, Liu Z. Adolescent Addiction to Short Video Applications in the Mobile Internet Era. Front. Psychol. 2022, 13, 893599. [Google Scholar]
  10. 10.
    Song WJ, Park JW. The Influence of Stress on Internet Addiction: Mediating Effects of Self-Control and Mindfulness. Int. J. Ment. Health Addict. 2019, 17, 1063–1075. [Google Scholar]
  11. 11.
    Baumeister RF, Vohs KD, Tice DM. The strength model of self-control. Curr. Dir. Psychol. Sci. 2007, 16, 351–355. [Google Scholar]
  12. 12.
    Carstensen LL, Isaacowitz DM, Charles ST. Taking time seriously—A theory of socioemotional selectivity. Am. Psychol. 1999, 54, 165–181. [Google Scholar]
  13. 13.
    Przybylski AK, Murayama K, DeHaan CR, Gladwell V. Motivational, emotional, and behavioral correlates of fear of missing out. Comput. Hum. Behav. 2013, 29, 1841–1848. [Google Scholar]
  14. 14.
    Li X, Ye Y. Fear of Missing Out and Irrational Procrastination in the Mobile Social Media Environment: A Moderated Mediation Analysis. Cyberpsychol. Behav. Soc. Netw. 2022, 25, 59–65. [Google Scholar]
  15. 15.
    Pan W, Long Y, Wang H, Yue C. More proactive but less efficient: The effect of trait self-control on emotion regulation and its neural mechanisms. Behav. Brain Res. 2023, 452, 114567. [Google Scholar]
  16. 16.
    van Hooft EAJ, van Hooff MLM. The state of boredom: Frustrating or depressing? Motiv. Emot. 2018, 42, 931–946. [Google Scholar]
  17. 17.
    Struk AA, Carriere JS, Cheyne JA, Danckert J. A Short Boredom Proneness Scale: Development and Psychometric. Assessment 2017, 24, 346–359. [Google Scholar]
  18. 18.
    Bench SW, Lench HC. On the function of boredom. Behav. Sci. 2013, 3, 459–472. [Google Scholar]
  19. 19.
    Mugon J, Boylan J, Danckert J. Boredom Proneness and Self-Control as Unique Risk Factors in Achievement Settings. Int. J. Environ. Res. Public Health 2020, 17, 9116. [Google Scholar]
  20. 20.
    Jiang L, Li C, Li Y. Cortical Volume in the Right Cingulate Cortex Mediates the Increase of Self-Control From Young Adult to Middle-Aged. Front. Behav. Neurosci. 2022, 16, 723786. [Google Scholar]
  21. 21.
    Brenlla ME, Germano G. Self-control and impulsiveness before and during the pandemic. A comparative study to evaluate possible changes in different age groups. Revista de Psicología 2023, 41, 679–716. [Google Scholar]
  22. 22.
    Wolniewicz CA, Tiamiyu MF, Weeks JW, Elhai JD. Problematic smartphone use and relations with negative affect, fear of missing out, and fear of negative and positive evaluation. Psychiatry Res. 2018, 262, 618–623. [Google Scholar]
  23. 23.
    Rozgonjuk D, Sindermann C, Elhai JD, Montag C. Individual differences in Fear of Missing Out (FoMO): Age, gender, and the Big Five personality trait domains, facets, and items. Personal. Individ. Differ. 2021, 171, 110546. [Google Scholar]
  24. 24.
    Chin A, Markey A, Bhargava S, Kassam KS, Loewenstein G. Bored in the USA: Experience Sampling and Boredom in Everyday Life. Emotion 2017, 17, 359–368. [Google Scholar]
  25. 25.
    An J, Payne LL, Lee M, Janke MC. Understanding Boredom and Leisure in Later Life: A Systematic Review. Innov. Aging 2023, 7, igad109. [Google Scholar]
  26. 26.
    Koc M, Gulyagci S. Facebook Addiction Among Turkish College Students: The Role of Psychological Health, Demographic, and Usage Characteristics. Cyberpsychol. Behav. Soc. Netw. 2013, 16, 279–284. [Google Scholar]
  27. 27.
    Choi SB, Lim MS. Effects of social and technology overload on psychological well-being in young South Korean adults: The mediatory role of social network service addiction. Comput. Hum. Behav. 2016, 61, 245–254. [Google Scholar]
  28. 28.
    Morean ME, DeMartini KS, Leeman RF, Pearlson GD, Anticevic A, Krishnan-Sarin S, et al. Psychometrically Improved, Abbreviated Versions of Three Classic Measures of Impulsivity and Self-Control. Psychol. Assess. 2014, 26, 1003–1020. [Google Scholar]
  29. 29.
    Wegmann E, Oberst U, Stodt B, Brand M. Online-specific fear of missing out and Internet-use expectancies contribute to symptoms of Internet-communication disorder. Addict. Behav. Rep. 2017, 5, 33–42. [Google Scholar]
  30. 30.
    Traş Z, Öztemel K. Examining the Relationships between Facebook Intensity, Fear of Missing Out, and Smartphone Addiction. Addicta Turk. J. Addict. 2019, 6, 91–113. [Google Scholar]
  31. 31.
    Ahmed SP, Bittencourt-Hewitt A, Sebastian CL. Neurocognitive bases of emotion regulation development in adolescence. Dev. Cogn. Neurosci. 2015, 15, 11–25. [Google Scholar]
  32. 32.
    Mahapatra S. Smartphone addiction and associated consequences: role of loneliness and self-regulation. Behav. Inf. Technol. 2019, 38, 833–844. [Google Scholar]
  33. 33.
    Busch PA, Hausvik GI, Ropstad OK, Pettersen D. Smartphone usage among older adults. Comput. Hum. Behav. 2021, 121, 106783. [Google Scholar]
  34. 34.
    Li JY, Zhan D, Zhou YH, Gao XM. Loneliness and problematic mobile phone use among adolescents during the COVID-19 pandemic: The roles of escape motivation and self-control. Addict. Behav. 2021, 118, 106857. [Google Scholar]
  35. 35.
    Geng Y, Gu J, Wang J, Zhang R. Smartphone addiction and depression, anxiety: The role of bedtime procrastination and self-control. J. Affect. Disord. 2021, 293, 415–421. [Google Scholar]
  36. 36.
    Jeong SH, Kim H, Yum JY, Hwang Y. What type of content are smartphone users addicted to?: SNS vs. games. Comput. Hum. Behav. 2016, 54, 10–17. [Google Scholar]
  37. 37.
    Liang L, Li C, Meng C, Guo X, Lv J, Fei J, et al. Psychological distress and internet addiction following the COVID-19 outbreak: Fear of missing out and boredom proneness as mediators. Arch. Psychiatr. Nurs. 2022, 40, 8–14. [Google Scholar]
  38. 38.
    Kırcaburun K, Griffiths MD. Problematic Instagram Use: The Role of Perceived Feeling of Presence and Escapism. Int. J. Ment. Health Addict. 2019, 17, 909–921. [Google Scholar]
  39. 39.
    Crowne DP, Marlowe D. A New Scale of Social Desirability Independent of Psychopathology. J. Consult. Clin. Psychol. 1960, 24, 349–354. [Google Scholar]
TOP