SCIEPublish

Degradation of Metformin Hydrochloride and Glibenclamide by Several Advanced Oxidation Processes

Article Open Access

Degradation of Metformin Hydrochloride and Glibenclamide by Several Advanced Oxidation Processes

Author Information
1
Laboratorio de Electroquímica, Facultad de Ciencias Químicas, Universidad Autónoma de Nuevo León, Guerrero y Progreso s/n, Col. Treviño, Monterrey 64570, Mexico
2
Grupo de Investigación Ambiente, Hábitat y Sostenibilidad, Institución Universitaria Colegio Mayor de Antioquia, Carrera 78 # 65-46, Medellín 050034, Colombia
3
Departament de Química, Universitat Autònoma de Barcelona, Edifici Cn, 08193 Bellaterra, Spain
*
Authors to whom correspondence should be addressed.

Received: 25 November 2024 Revised: 30 December 2024 Accepted: 06 February 2025 Published: 08 February 2025

Creative Commons

© 2025 The authors. This is an open access article under the Creative Commons Attribution 4.0 International License (https://creativecommons.org/licenses/by/4.0/).

Views:3865
Downloads:1156
Citations: 1
Photocatal. Res. Potential 2025, 2(1), 10001; DOI: 10.70322/prp.2025.10001
ABSTRACT: The degradation of metformin hydrochloride (MET) and glibenclamide (GLI), widely used anti-diabetics, was performed using an electrochemical advanced oxidation process, namely electro-Fenton, and several other Advanced Oxidation Processes (AOPs) of photocatalytic nature, like UV/H2O2, UV/persulfate, and UV/TiO2. The electrochemical behavior of the drugs was first characterized by cyclic and differential pulse voltammetry. The data implied that both drugs present quasi-reversible oxidation. The effect of the applied current and the airflow in the electrogeneration of hydrogen peroxide was studied. Degradations of 60% of the initial drug were obtained for aqueous solutions of 30 mg·L−1 of MET and 15 mg·L−1 of GLI by using photoelectron-Fenton conditions with 1.0 A of current and a Fe2+ concentration of 3.5 mg·L−1, although the removal of MET required 60 min of reaction while for GLI only 45 min were needed. The mineralization (organic carbon removal) percentages after 60 min of treatment were 20%and 30% for electro-Fenton and photo electro-Fenton processes, respectively. For UV/H2O2, UV/persulfate, and UV/TiO2 treatments of MET solutions, the order of observed degradations was UV/PS > UV/H2O2 > UV/TiO2 with maximum values of drug removal of 30% after 60 min of irradiation. This efficiency is lower than the removal observed with the electro-Fenton reaction. For GLI the order of degradation efficiency was UV/PS > UV/TiO2 > UV/H2O2, with maximum values of drug removals of 99.5% after only 10 min of irradiation. This performance is clearly better that in the case of electro-Fenton or photo-electro-Fenton. The removals of the two drugs when dissolved in chemical matrices that mimic real hospital wastewaters and seawater were also studied. They showed a clear dependency on the pharmaceutical of choice. While the degradation of MET was hampered by the presence of other chemicals in the two water matrices, GLI removal was remarkable, pointing towards a possible application in real wastewaters.
Keywords: Metformin hydrochloride; Glibenclamide; Electro-Fenton; UV/H2O2; UV/persulfate; UV/TiO2; AOPs

1. Introduction

In Mexico, diabetes is one of the leading causes of death. According to the National Inquire of Health and Nutrition more than 6.4 million people per year are diagnosed with diabetes, with a foreseeable increase in the number in the next years [1]. Metformin hydrochloride (MET) and glibenclamide (GLI) are two antidiabetic drugs recommended by the World Health Organization for the treatment of type 2 diabetes [2]. Their use, as well as their recommended daily dose, are different, ranging from 500 mg to 2.5 mg for MET and GLI, respectively [3]. An important part of those drugs enter the sewer and end up in wastewater treatment plants (WWTP). However, no regulations concerning the maximum permissible concentration of them in a WWTP outflow exist. Very little is also known about their impact on the environment and human health [4]. Due to the low efficiency of many drug removal in the primary and secondary steps of WWTP, more effective and specific tertiary treatments are needed, AOPs having a large potential to play that role. AOPs are based on the in-situ generation of hydroxyl radicals, or other close radicals that are highly oxidizing species, that have proven effective in the oxidation of many organic pollutants [5,6]. Among the different AOPs the electro-Fenton treatment appears promising because it involves a simple, efficient and environmentally friendly process that can be scaled up for large treatments [7]. Fenton treatments are based on Fenton’s reaction that involves the use of Fe2+ and hydrogen peroxide according to Equation (1) [8]:
```latex\mathrm{F}\mathrm{e}^{2+}+\mathrm{H}_2\mathrm{O}_2+\mathrm{H}^+\to\mathrm{F}\mathrm{e}^{3+}+\mathrm{H}_2\mathrm{O}+ ^{\bullet}\mathrm{O}\mathrm{H}```
On the electro-Fenton process, hydrogen peroxide is produced within an electrochemical cell through redox reactions at the electrodes, giving the possibility of a continuous and controlled supply of this key reagent [5,6]. If the electrochemical system is simultaneously irradiated con Vis-UVA light, the degradation reactions can be potentially improved in the same way that the homogeneous Fenton reaction is improved with irradiation of those same wavelengths, and the process is then called photo-electro-Fenton treatment [9]. According to the literature there is no previous study on the degradation and mineralization of metformin hydrochloride and glibenclamide in aqueous mixtures using an electro-Fenton process. Thus, with that goal in mind, we have studied the removal of both compounds in aqueous mixtures by the action of the oxidizing radicals produced in the electro-Fenton process. A detailed characterization of the electrochemical behavior of both drugs by using cyclic and differential pulse voltammetry is also presented. Since many other AOPs could have also be chosen for the efficient removal of organic pollutants and for the sake of comparison, the study has also been extended to the degradation of both drugs when using other representative AOPs like UV/H2O2, UV/persulfate, and UVA/TiO2. In the UV/H2O2 system, the hydroxyl radicals are produced by direct photolysis of the hydrogen peroxide molecule with powerful 254 nm UV photons [10]:
```latex\mathrm{H}_2\mathrm{O}_2+\mathrm{h}\mathrm{ν}\to2\mathrm{~}^{\bullet}\mathrm{OH}```
In the UV/persulfate reaction there is a 254 nm UV photolytic activation of the persulfate (S2O82−) ion to produce highly reactive sulfate radicals (SO4·−) [11]:
```latex\mathrm{S_2O_8}^{2-}+\mathrm{hν}\to2\mathrm{~SO_4}^{\cdotp-}```
UVA/TiO2 is a well-known AOP [12,13] that involves no net consumption of chemical reagents and where the solid TiO2 photocatalysis absorbs UVA photons to generate both positive and negative charge carriers that, after reaching the surface of the solid, can trigger oxidation and reduction reactions with chemical species in the aqueous solution. Since solar light has around 5% of UVA radiation, the process has the potential to work by using the green and renewable energy of the sun. These three AOPs were chosen because they have proven to be highly efficient for removing a wide variety of pollutants [5], and because of their photocatalytic nature. In the case of UVA/TiO2 the potential to run under solar light irradiation was a key factor of the selection, because it avoids the use of the expensive electrical energy required in the case of the electro-Fenton treatment, or the high-energy demand associated with the use of UV in the other two AOPs.

2. Materials and Methods

2.1. Reagents and Apparatus in Electron-Fenton Experiments MET was provided by REACTIMEX. GLI was obtained from commercial tablets (Diglexol 5 mg). Iron (II) sulphate (Sigma-Aldrich, St. Louis, MO, USA) heptahydrate and sodium sulphate (anhydrous, Baker, Waltham, MA, USA) were used as source of iron and supporting electrolyte, respectively. Analytical grade potassium permanganate (Merck, Darmstadt, Germany), titanium (VI) oxysulfate (Sigma-Aldrich), sulphuric acid (Sigma-Aldrich), and a 30% v/v standard hydrogen peroxide solution (JALMEK, San Nicolás De Los Garza, NL, Mexico) were used for hydrogen peroxide determination. The experiments were carried out in a cell containing a glassy carbon anode and a carbon cloth cathode. A Power PAC 200 potentiostat, a Fischer & Porter air flow regulator, a Resun air pump, and a Beckman pH-meter were used during those experiments. In a typical run the cell contained 100 mmol·L−1 of Na2SO4, a concentration of 3.5 mg·L−1 of Fe2+, and applied current and airflow were varied in order to find the optimal conditions for degradation. Cyclic and differential pulse voltammetry were carried out using a glassy carbon working electrode, an auxiliary Pt electrode, and an Ag/AgCl reference electrode (BAS Inc., Eatonville, WA, USA). The voltammetric determinations were made with an Epsilon E2 Potentiostat. Solutions and sweeps were carried out with scan rates from 50 to 599 mV·s−1. MET and GLI removal was monitored by HPLC using a Perkin Elmer system equipped with a UV-deuterium lamp. A Microsorb C18 Varian column was used for those analyses. A mixture of a 0.1 mmol·L−1 sodium acetate buffer and HPLC grade methanol (80:20) with a flow rate of 1 mL·min−1 was used as the mobile phase. The injection volume was 20 µL, and the UV detector was 226 nm. A total organic carbon analyzer (Shimadzu TOC-VCSH, Kyoto, Japan) measured TOC of the initial and degraded samples. Hydrogen peroxide quantification was based on a modified titanate formation method [14], using a Cary 100 UV-VIS spectrophotometer. 2.2. Reagents and Apparatus in the Experiments with Other AOPs MET and GLI were obtained from commercial tablets (MK-Tecnoquímicas, Cali, Colombia, 500 mg and 5 mg, respectively). Hydrogen peroxide 30% p.a. (Carlo Erba, Cornaredo MI, Italy) and sodium persulfate p.a. (Merck) were used as promoting agents for forming hydroxyl radicals. Phosphoric acid 85% p.a. (Merck) and acetonitrile HPLC grade (Merck) were used in the elution process of drugs. Five lamps LuxTech® of 15W power, each with maximum emission at a wavelength of 254 nm were used as radiation source, placed at the top of an aluminum box used as the reactor. All solutions were prepared using ultrapure water (18.2 MΩ·cm). MET and GLI solution concentrations were 20 mg L−1 both, with pH 6.2 and 6.8, respectively. Sodium metabisulfite p.a. (Merck) was added to each sample to trap any radicals present and stop the degradation reaction. In order to evaluate the effect of the presence of large quantities of ions, synthetic waters that mimic the chemical composition of hospital wastewater (HWW) and seawater (SW) were prepared with the concentrations shown in Table 1.

Table 1. Chemical composition of synthetic seawater and synthetic hospital wastewater.

Seawater (SW) Hospital Wastewaters (HWW)
Chemical Concentration (g L−1) Chemical Concentration (g L−1)
NaCl (Merck) 29.25 NaCl (Merck) 2.925
MgSO4·7H2O (Fisher Chemicals, Pittsburgh, PA, USA ) 12.318 Na2SO4 (J.T.Baker) 0.1005
CaCl2·2H2O (Merck) 1.4698 CaCl2·2H2O (Merck) 0.05
NaHCO3 (Merck) 0.168 NH4Cl (Honeywell, Charlotte, NC, USA) 0.05
Urea (Merck) 1.26
KCl (Merck) 0.1
KH2PO4 (Merck) 0.05

The degradation experiments were carried out for 1 h and were conducted in duplicate; the reported values represent the averages of those duplicates. Drugs removal was monitored by UHPLC using a Thermo 3000 equipped with a DAD detector. A Restek Raptor® C18 3 mm × 150 mm, 2.7 μm octadecylsilane column, and a phosphoric acid (0.1%): ACN 80:20 v/v mobile phase were used for the analysis. A 0.4 mL·min−1 flow rate, 20 µL injection volume, a column temperature of 40 °C and 226 nm detection wavelength were chosen.

3. Results and Discussion

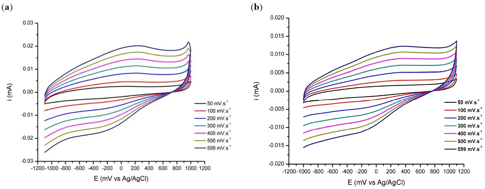
3.1. Electro-Fenton Degradation of MET and GLI 3.1.1. Cyclic and Differential Pulse Voltammetry Previously to the degradation experiments under electro-Fenton conditions, the electrochemical behavior of both chemicals was characterized. Voltammetry scanning at different speeds and different concentrations of drugs were performed. They showed that the drugs have electrochemical activity on the glassy carbon electrode within the water potential window (−1500 to 1500 mV). Figure 1a shows a cyclic voltammogram for MET (30 mg·L−1) at different scan rates. A smooth peak of anodic current at 227 mV is observed. The peak intensity vs. the square of the scan rate plot of the figure data gave reasonable straight line adjustments, indicating that the process was diffusion controlled [15].
Figure 1. Cyclic voltammograms at different scan rates for: (<b>a</b>) 30 mg·L<sup>−1</sup> MET; (<b>b</b>) GLI 15 mg·L<sup>−1</sup>.
Figure 1b shows a cyclic voltammogram for GLI (15 mg·L−1). An oxidation process at 280 mV presenting a current anodic peak of 0.0121 mA for a scanning rate of 0.6 V·s−1 is observed. Again, the peak intensity vs. the square of the scan rate plot provided the typical straight line corresponding to a diffusion controlled process. The voltammograms shapes, and the values of their anodic and cathodic peak potentials show independence from the scan rates and a close to 1 anodic to cathodic current peak relation. Those two facts indicate a quasi-reversible electrochemical behavior of the two systems [15]. The quasi-reversible oxidation seen here indicates that electron transfer processes occur relatively easily. This means that molecules can be initially oxidized at the glassy carbon anode used in the electro-Fenton system, facilitating the generation of reactive intermediates required for further degradation. Thus, the quasi-reversible oxidation behavior of MET and GLI favors their initial degradation in electro-Fenton processes by facilitating electron transfer reactions and the generation of key reactive intermediates. Also, a cyclic voltammogram of a MET (15 mg·L−1) and GLI (15 mg·L−1) mixture showed just single wide anodic and cathodic peaks (the peaks of the two compounds overlap) with a quasi-reversible electrochemical behavior, and only with a small widening of the Epa to Epc distance. Again, a linear relationship was found in the corresponding ip vs. ν1/2 plots, suggesting that both processes are controlled by diffusion of MET and GLI towards the surface of the glassy carbon electrode. Although the voltammetric peaks of the mixture of MET and GLI overlap, techniques such as mathematical signal decomposition (peak resolution) or the use of modified electrodes could help to clearly separate them [15]. Other possibilities for the separation of the overlapping information in the mixture include the combination of HPLC or LC-MS analysis of the reactive and intermediate chemical species with kinetic models. This would ensure accuracy in the determination of the individual degradation rates of MET and GLI. 3.1.2. Effect of the Applied Current Density and Air Flow on the Electrogeneration of Hydrogen Peroxide The assessment of the hydrogen peroxide produced in the electrochemical cell was performed following an experimental design in which two current values and two different air flows were used. The results of such an experimental design are shown in Figure 2. As can be seen, the current intensity had a clear influence on the production of hydrogen peroxide, while the airflow effect was not clear. In accordance with these results, an extra experiment with a much larger current intensity was performed (also shown in Figure 2). A remarkable concentration of 107.8 mg·L−1 of H2O2 was obtained by applying 1.0 A of current and 0.944 L·min−1 of air flow after 60 min of treatment. This value was much higher than the rest of the observed H2O2 productions and shows that using large enough current intensities, it is possible to generate a stoichiometric excess of H2O2 that would allow the complete oxidation of the two drugs.
Figure 2. Hydrogen peroxide production at different current intensities and air flows with a glassy carbon anode and 100 mmol·L<sup>−1</sup> of supporting electrolyte (Na<sub>2</sub>SO<sub>4</sub>).
The fact that H2O2 production does not significantly depend on air flow implies the use of simpler and less expensive systems for air injection (low-performance pumps, passive ventilation systems, etc.) in large-scale industrial applications. It also involves reduced operational costs (less energy consumption). Nevertheless, it has to be kept in mind that minimum oxygenation is still necessary (too low an airflow could limit the availability of oxygen for H2O2 generation), and the mixing conditions have to be adequate to avoid concentration gradients. Increasing H2O2 production in the electro-Fenton process has advantages in terms of pollutant degradation but also presents several challenges related to energy efficiency and electrode degradation. Indeed, at high current intensities, the electrochemical process can become less efficient, as a fraction of the energy is dissipated in undesired side reactions. The generation of excessive amounts of H2O2 can be counterproductive, since hydrogen peroxide can act as a “trap” for hydroxyl radicals, decreasing the overall efficiency of the process (see reaction 4) [16]:
```latex\mathrm{H}_2\mathrm{O}_2+^{•}\mathrm{OH}\to{\mathrm{HO}_2}^•+\mathrm{H}_2\mathrm{O}```
Also, the formation of stable intermediate products triggered by an excess of H2O2 can hinder the complete mineralization of contaminants [17]. On the other hand, the excess of H2O2 through higher current intensities and higher operative temperatures derived from such large currents can accelerate the corrosion of the glassy carbon electrode or cause the formation of oxides on the surface, reducing its effectiveness and life cycle [18]. Both things would increase operating costs and make advisable the use of real-time monitoring, dynamically adjusting process conditions based on the levels of contaminants and H2O2 present, and they can clearly affect the economic viability of large-scale applications. In any case, a further study of the comparison between electrochemical generation of H2O2 in the electro-Fenton processes and its possible direct addition as a reagent should be carried out. Total treatment costs and sustainability factors should be considered. It is worth highly that, while the main cost of electrochemical H2O2 production comes from the electricity needed, which can vary depending on the current intensity and operation time, the generation occurs in-situ, eliminating the need for an initial purchase, transport, and storage, and also the handling of a hazardous substance (H2O2 is corrosive and heat sensitive). In addition, the direct addition may require higher amounts of H2O2 due to uncontrolled decomposition in the aqueous medium. Not less important, in-situ generation potentially reduces the carbon footprint by avoiding emissions associated with transportation and industrial production of H2O2. 3.1.3. Effect of Current Intensity on the Degradation and Mineralization Efficiency In order to know the effect of the applied current on the electro-Fenton degradation of the two drugs, different experiments were made. After choosing the airflow that gave the maximum hydrogen peroxide production (0.944 L·min−1), several currents, ranging from 0.7 to 2.0 A were tested. Figure 3 and Figure 4 show the time course of MET and GLI concentrations for those experiments up to 1 h of reaction. Concerning MET degradations, the experiment using 1.0 A of current reached a maximum degradation percentage of 45% after 60 min of electro-Fenton treatment. Furthermore, data indicates that the larger the applied current, the better the MET degradation, suggesting that, for the tested currents, no detrimental effects associated with an excess of H2O2 generation are observed (it is well known that the presence of large quantities of H2O2 can hamper Fenton reactions because the peroxide itself can play the role of HO· scavenger [5]). According to the above results, the experiment using 1.0 A, which gave large enough MET degradation with moderate electricity consumption, was chosen to carry out an electro-Fenton experiment in the presence of UV radiation, i.e., a photoelectro-Fenton treatment. As can be seen in Figure 3 the presence of light slightly increases the reaction rate of the electro-Fenton process, thus allowing an alternative reaction pathway for the removal of MET (60 min of treatment rendered almost 60% of MET degradation), although improvement was lower than the one obtained by simple increasing the applied current from 1 to 2 A.
Figure 3. MET degradation via electro-Fenton and photo electro-Fenton treatment. Initial drug concentration of 30 mg·L<sup>−1</sup>, 3.5 mg L<sup>−1</sup> of Fe<sup>2+</sup>, 100 mmol·L<sup>−1</sup> of supporting electrolyte (Na<sub>2</sub>SO<sub>4</sub>).
On the other hand, GLI degradation reached a maximum percentage of slightly over 50% after 60 min of electro-Fenton treatment. Also, as in the case of MET, by increasing the applied current, the degradation improves, and no detrimental effects associated with the presence of large quantities of H2O2 are observed. As seen in Figure 4 the experiment carried out with an intensity of 1.0 A was chosen again to carry out a photoelectro-Fenton treatment. That experiment shows that the presence of light provides a slight improvement of the reaction rate of the electro-Fenton process (45 min of treatment render more than 60% of GLI degradation). However, as in the case of MET, the improvement was lower than the one obtained by simply increasing the applied current from 1 to 2 A (experiment not shown on Figure 4).
Figure 4. GLI degradation via electro-Fenton and photo electro-Fenton treatments. Initial drug concentration of 15 mg·L<sup>−1</sup>, 3.5 mg L<sup>−1</sup> of Fe<sup>2+</sup>, 100 mmol·L<sup>−1</sup> of supporting electrolyte (Na<sub>2</sub>SO<sub>4</sub>).
In order to evaluate the potential of the electro-Fenton reaction for the complete mineralization of the drugs (not only degradation of the initial compound) TOC analysis was also carried out during the degradation experiments. As an example, Figure 5 contains the results of those analyses during the degradation of GLI. It is observed that photoelectron-Fenton was again the best choice with a percentage of mineralization around 30% after 60 min, while a similar experiment in the absence of light only mineralized 20% of the drug during the same reaction time. The experiment that used 0.7 A rendered an even lower degradation. These rather moderate removals of TOC may be due to the formation of stable degradation products that are not easily converted to CO2 with the electro-Fenton treatment. Thus, photoelectron-Fenton process turned out to be noticeably more powerful in terms of organic material mineralization than the corresponding electro-Fenton process.
Figure 5. Mineralization of GLI via electro-Fenton and photo electro-Fenton treatment. Initial drug concentration of 15 mg·L<sup>−1</sup>, 3.5 mg L<sup>−1</sup> of Fe<sup>2+</sup>, 100 mmol·L<sup>−1</sup> of supporting electrolyte (Na<sub>2</sub>SO<sub>4</sub>).
The low mineralization observed for both drugs under photoelectro-Fenton conditions clearly points towards the formation of rather stable degradation intermediates. In particular, it is well known that short-chain carboxylic acids are produced during the mineralization of many organic pollutants with a large variety of AOPs [19]. Those small molecules have shown a clear resilience towards reaction with the hydroxyl radical and on many occasions, are responsible for the large quantities of TOC remaining in the solution. In the particular case of MET, the formation of guanidine and other oxidized derivatives that are more persistent in water has been reported [20]. For GLI, resistant oxidation intermediates could include sulfonated or aromatic fragments [21]. In order to avoid this unwanted situation, longer treatment times and optimization of operation parameters (like reagent concentrations, pH, etc.) are required. However, the use of combined AOPs could also be considered. Since diffusion control can become a limiting factor (as it has been seen at least for the initial electro-chemical anodic oxidation of MET and GLI), large-scale reactors based on the photoelectron-Fenton reactive system should take into account the implementation of: (a) effective mixing (stirring or forced air flow) to maximize mass transport of reactants to the electrodes; (b) electrode surface area maximization (large surface area electrodes, or three-dimensional designs such as meshes or foams that can help improve efficiency without requiring a linear increase in equipment size); (c) larger residence time (larger reactor volume and lower reagents flow). In summary, the diffusion-controlled nature of some of the electrochemical reactions involved here presents significant challenges to the scalability of the photoelectro-Fenton treatment. However, these can be addressed by optimized reactor design (larger electrode surface area, effective mixing, and continuous flow) and adjustment of operating conditions (increased air flow, use of advanced catalysts). These changes are critical to maintaining efficiency and viability in large-scale applications. 3.2. UV/H2O2, UV/Persulfate and UV/TiO2 Degradation of MET and GLI Blank experiments were carried out in order to detect the existence of degradation by the action alone of 254 nm UV light (photolysis), H2O2, or sodium persulfate (PS). In none of the three cases, MET degradation was observed, indicating the need for a more drastic advanced oxidation process. Figure 6 shows the time course of degradation of MET when solutions of three different concentrations of PS were used in homogenous photocatalytic processes at 254 nm. As can be seen, the advanced oxidation process was effective for the removal of the compound (around 30% degradation with an initial 0.5 mM PS concentration and after 60 min of reaction). However, for larger PS concentrations (up to 1.5 mM) the efficiency decreased, indicating that the excess reagent could scavenge the generated radical species responsible for the direct reaction with the drug. On the other hand, Figure 7 contains data on the degradation of the same drug when the photocatalytic process was carried out with H2O2. Again, MET was degraded in those conditions with almost 20% removal after 60 min of reaction and in the presence of 1 mM H2O2. In this case, the effect of different concentrations (from 0.5 to 1.5 mM) of the reagent was rather minor, being the final concentrations of the drug very close to each other.
Figure 6. MET degradation in presence of UV light (254 nm) and different concentrations of PS. Initial MET concentration of 20 mg L<sup>−1</sup>, pH = 6.2.
Figure 7. MET degradation in presence of UV light (254 nm) and different concentrations of H<sub>2</sub>O<sub>2</sub>. Initial MET concentration of 20 mg L<sup>−1</sup>, pH = 6.2.
In both cases, the overall degradation of the drug was clearly lower than the one observed in the electro-Fenton experiments, where for 60 min of reaction and in the best reaction conditions, removals of 50% or more were obtained. Heterogeneous photocatalytic degradation of MET by using TiO2 slurries was also tested. As can be seen in Figure 8, the performance obtained with that AOP was rather poor since only 16.6% degradation was obtained after 60 min of 365 nm irradiation in presence of 0.1 g·L−1 of TiO2. Moreover, an increase in the total amount of suspended TiO2 gave a clear decreased of the degradation efficiency, probably due to an increased scattering of light produced by the larger concentration of suspended particles [22].
Figure 8. MET degradation in presence of UVA light (365 nm) and different quantities of suspended TiO<sub>2</sub>. Initial MET concentration of 20 mg L<sup>−1</sup>, pH = 6.2.
In an attempt to further explore the potential of the two most effective AOPs for MET removal (UV/PS and UV/H2O2), synthetic waters that mimic the chemical composition of HWW and SW were prepared and used as dilution media of MET. As can be seen in Figure 9, the capacity of MET removal is seriously affected by the two different chemical matrices present in the as prepared aqueous solutions, for both UV/PS and UV/H2O2 processes, although it is clear that the decrease of activity is more notorious for the UV/PS process were MET removal after 60 min of reaction is not even close to 10%. The best result was obtained with a UV/H2O2 (0.5 mM) treatment, were 10.3% MET removal was observed. As frequently reported in many other studies of the application of AOPs for the treatment of polluted waters, the change from solutions of the single target compound to real wastewaters, or synthetic solutions that mimic those results in a dramatic decrease in the removal efficiency [23].
Figure 9. MET degradation in the UV/PS and UV/H<sub>2</sub>O<sub>2</sub> processes when the drug is dissolved in synthetic hospital wastewater (HWW) or seawater (SW). Initial MET concentration of 20 mg L<sup>−1</sup>, pH = 6.
In the case of GLI degradation, the blank experiments after 60 min of reaction showed that the drug is photochemically active under 75 W 254 UV irradiation (32.3% removal) and is also degraded by oxidation with 1 mM persulfate in dark conditions (65.2% removal). However, the degradation with 1 mM H2O2 in the dark is almost negligible (3.6% removal). Furthermore, and as can be seen in Figure 10, the homogeneous photocatalytic process with 1 mM persulfate solution produced a 99.5% degradation of GLI after only 10 min of reaction, and initial concentrations of 0.5 mM and 1.5 mM gave similar long-term drug removal (91.2 and 97.6% respectively). On the other hand, Figure 11 shows that the system UV/H2O2 (1.5 mM) gave a 59.7% drug removal after 10 min and under the same radiation intensity, while the observed degradations were lower when using 0.5 mM and 1.0 mM initial concentrations of H2O2 (19.5 and 49.0% respectively). As in the case of MET, the UV/PS system is more effective for GLI removal than the UV/H2O2 one. The balance between the excellent UV/PS efficiency of GLI removal seen in Figure 10 and the potential energy costs associated to use of UV light sources can be approached through reagent and reaction time optimization, the use of energy-efficient lamps, advanced reactor design, but above all, with the use of the UV photons coming from the sun, i.e., by using solar light as the main energy source. There are already many examples of large-scale applications of solar-driven AOPs treatments that prove that to be a feasible option [24]. Although the use of the sun as an energy source implies a lower concentration of UV photons and, in principle, slower kinetics compared to the use of UV lamps, this can be compensated both, in terms of overall efficiency and economy, by carrying out an appropriate reactor design, since the initial infrastructure cost for a larger reactor can be clearly offset by savings in electrical consumption and operational costs [25].
Figure 10. GLI degradation in presence of UV light (254 nm) and different concentrations of PS. Initial GLI concentration of 20 mg L<sup>−1</sup>, pH = 6.8.
Figure 11. GLI degradation in the presence of UV light (254 nm) and different concentrations of H<sub>2</sub>O<sub>2</sub>. Initial GLI concentration of 20 mg L<sup>−1</sup>, pH = 6.8.
On the other hand, Figure 12 shows that the use of heterogeneous photocatalysis with TiO2 produced similar GLI removals to the UV/H2O2 system but not as good as the ones obtained with the UV/PS system. Removals of 68.4%, 76.7% and 81.0% were obtained with 0.1, 0.3 and 0.5 g/L of TiO2, respectively, after 60 min of 365 nm irradiation.
Figure 12. GLI degradation in the presence of UV light (365 nm) and different quantities of suspended TiO<sub>2</sub>. Initial GLI concentration of 20 mg L<sup>−1</sup>, pH = 6.8.
With different optimal degradation times observed for MET and GLI through the different techniques studied here, the need for treatment protocols that allow the simultaneous removal of both drugs from mixed pharmaceutical wastewater is obvious. In this sense setting a long enough operating time that allows for the degradation of the most recalcitrant of both drugs is fundamental. Still, also, the potential use of sequential treatments has to be considered. For example, the application of a first treatment targeting GLI (such as UV/PS, which is highly efficient for this compound) and then a later treatment designed for MET (such as electro-Fenton or UV/H2O2) would ensure that both compounds are treated with specific optimal conditions and with little mutual interference. Nevertheless, a fair comparison of the different efficiencies of AOPs for MET and GLI treatment should also consider the potential generation of reaction intermediates with a different chemical nature and toxicity. While sulfate radicals are highly oxidizing but quite selective, preferentially attacking specific bonds in pollutants, thus generating oxidized products that can be persistent or toxic depending on the chemical structure of the initial compound (e.g., aromatic or sulfonated fragments of GLI), hydroxyl radicals are highly reactive but less selective, indiscriminately attacking many different bonds in pollutants. This means that they can lead to the formation of more fragmented and less persistent intermediates, although it is well known that during oxidation of organic molecules, they can produce stable short chain carboxylic acids. Also, in the case of the electro-Fenton system, direct anodic oxidation of the organic material in a solution cannot be ruled out, thus leaving open other reaction pathways for the pollutants’ oxidation. Considering the best experimental conditions for the drug removal in two of the tested reaction environments (UV/PS and UV/H2O2), the effect of changing the water matrix was also studied. As in the case of MET, synthetic waters that mimic the chemical composition of hospital wastewater (HWW) and seawater (SW) were prepared and used as dilution media of GLI. Contrary to the observed behavior of MET, remarkable values of GLI degradation were obtained for the two types of matrices and with both reactive systems (see Figure 13). Indeed, for the synthetic hospital wastewater, 91.3% removal of the drug was observed with the UV/PS system, while a 90.4% removal was produced with the UV/H2O2 system, both after 15 min of irradiation. For the same reaction time within the synthetic seawater, 73.7% and 65.2% removals were achieved with the UV/PS and the UV/H2O2, respectively. These results clearly show the non-existence of general rules related to the treatment of real wastewaters with AOPs, and point toward the convenience of making preliminary tests before assuming any treatment potential [26].
Figure 13. GLI degradation during the UV/PS and UV/H<sub>2</sub>O<sub>2</sub> processes when the drug is dissolved in synthetic hospital wastewater (HWW) or seawater (SW). Initial GLI concentration of 20 mg L<sup>−1</sup>, pH = 6.8.
This last result shows that depending on the type of pharmaceutical, the chemical matrix existing in real wastewater is not necessarily detrimental for the efficiency of the tested AOPs, a promising fact that leaves open the possibility of a real application. The need to develop strategies for a comprehensive treatment of wastewater containing multiple pharmaceutical compounds, such as MET and GLI, is obvious. This requires considering the differences in the efficiency of Advanced Oxidation Processes (AOPs) for each present compound and the potential interactions between them [27,28]. Key steps to design such a strategy are: (a) wastewater matrix characterization (pH, alkalinity, presence of other contaminants or salts that may affect the efficiency of the AOPs, etc.); (b) pollutant analysis and identification; and (c) assessment of their chemical properties (knowledge of the reactivity of each compound towards •OH and SO4•− radicals, or other oxidants generated in the AOPs). Based on this previous recollection of data, a selection and combination of AOPs can be proposed, following the general strategy of applying first a soft and low cost AOP to remove easily degradable compounds, and then followed by a more robust AOP to treat more resistant compounds. In any case, maintaining the efficiency of radical-based AOPs in real wastewater samples, where matrix components can act as radical scavengers, requires specific procedures to minimize those undesired effects and optimize treatment conditions. Several possibilities should be considered, like the previous removal of suspended solids that can scatter light and make the photoassisted processes less efficient. Or the previous desalinization of the water (especially of wastewaters produced in industrial processes carried out using seawater) since anions like chlorine can efficiently compete for the generated radicals. Generally, as pointed out above, the sequential application of AOPs to first address radical scavengers and then target contaminants can be an effective strategy [29]. Another potential procedure involves the coupling with biological treatments that can reduce biodegradable dissolved organic material, thus leaving less organic concentrated water that can then beproperly targeted with the AOPs. Finally, evaluating the effectiveness of the proposed treatments in the absence of regulations on the maximum permissible concentration of drugs such as MET and GLI in wastewater treatment plant (WWTP) effluents will require a much more comprehensive approach based on scientific and environmental criteria. Key strategies would be: (a) the search for scientific literature (consulting of studies that identify drug concentrations with adverse effects on aquatic organisms or human health); (b) the use as a reference of the water quality standards from international organizations (such as WHO or EPA) for similar contaminants; (c) some other considerations like, for example, the assumption that concentrations below the nanogram or microgram per liter range are generally considered safe for many drugs.

4. Conclusions

Both MET and GLI showed electrochemical activity, mainly in the oxidation process, with a quasi-reversible behavior, and with a peak potential that was independent of the applied scanning speed. Studies of differential pulse voltammetry revealed that the drugs have close anodic peak potentials (−185 mV for metformin hydrochloride and −155 mV for glibenclamide) at a scan rate of 100 mV·s−1 and, consequently, in the voltammogram of the mixture, the anodic potential peaks overlap. In the electro-Fenton experiments, the use of a carbon cloth cathode and a glassy carbon anode and the application of 1.0 A with an airflow of 0.944 L·min −1 gave a generation of 107.8 mg·L−1 of H2O2 after 60 min. This allowed obtaining maximum removals under photoelectro-Fenton conditions with 1.0 A of electric current of 60% of both drugs after a 60 min treatment of a 30 mg·L−1 MET solution and a 45 min treatment of a 15 mg·L−1 GLI solution. of electro-Fenton treatment applying a current of 1.0 A. On the other hand, a maximum of 20% of GLI was mineralized in 60 min of electro-Fenton treatment. It was also observed that UV radiation increased degradation and mineralization of the drug obtaining a maximum mineralization of 30% in 60 min of treatment. The three photocatalytic AOPs tested (UV/H2O2, UV/Persulfate and UV/TiO2) produced different results. In the case of MET the order of observed degradations was UV/PS > UV/H2O2 > UV/TiO2 with maximum values of drug removal of 30% after 60 min of irradiation, an efficiency that is lower than the removal observed with the electro-Fenton reaction (50% after 60 min, a value that increases to 82% after 120 min of reaction). For GLI the order of degradation efficiency was UV/PS > UV/TiO2 > UV/H2O2, with maximum values of drug removals of 99.5% after only 10 min of irradiation. In this case, the performance obtained with the photocatalytic system is clearly better than in the case of electro-Fenton (55% removal after 60 min, a value that increases to 85% after 120 min of reaction). Even the use of light in a single photo-electro-Fenton experiment showed results that cannot compete (60% drug removal in 45 min) with the efficiency of the UV/PS system. Finally, the potential of the three photocatalytic AOPs for the removal of the two drugs when those are dissolved in chemical matrices that mimic real hospital wastewater and seawater strongly depends on the pharmaceutical of choice. While the degradation of MET was clearly hampered by the presence of other chemicals in the two water matrices, 91.3% GLI removal was observed after 15 min of a UV/PS reaction, a remarkable result that leaves open the possibility of photocatalytic AOP degradation of the drug in real wastewaters.

Acknowledgments

This Special Issue honours David Ollis, a key figure in the area of Photocatalysis. The paper’s corresponding author had the great chance of expending two years in Dave’s laboratory and getting to know him well. He was always, and still is, an academic and scientific reference, both in the fields of Photocatalysis and Biochemical Engineering. He provided important guidelines for moving forward and his didactic and constructive criticism distinguished him as a superior scholar and teacher. But above all, he was an extraordinary person from a human perspective. We will miss you Dave!

Author Contributions

Conceptualization: L.M.B. and J.P. Experimental development of electroFenton experiments: I.A.A.-L. Experimental development of Fenton and photo-Fenton experiments: G.H.-M. and F.G.-R. Discussion of the results: G.H.-M., F.G.-R., L.M.B. and J.P. Writing: J.P. Funding Acquisition: G.H.-M., F.G.-R., L.M.B. and J.P.

Ethics Statement

Not applicable.

Informed Consent Statement

Not applicable.

Data Availability Statement

Not applicable.

Funding

The authors want to acknowledge the financial support received from CONACYT, Mexico, from the Spanish Ministry of Science and Innovation for funding the AQUAENAGRI (PID2021-126400OB-C33) project, and from the Institución Universitaria Colegio Mayor de Antioquia through project FAI36.

Declaration of Competing Interest

The authors declare that they have no known competing financial interests or personal relationships that could have appeared to influence the work reported in this paper.

References

  1. 1.
    FMD, A.C. Encuesta Nacional de Salud y Nutrición 2012. 2014. Available online: http://www.fmdiabetes.org/fmd/pag/diabetes_numeros.php (accessed on 2 September 2014).
  2. 2.
    Pinel J, Naboulet C, Weiss F, Henkens M, Grouzard V. Essential Drugs. Practical Guidelines. Medecins Sans Frontiers. ISBN 2906498912. 2013. Available online:https://bookmemoryblog.wordpress.com/wp-content/uploads/2014/07/14-essential-drugs1.pdf (accessed on 5 February 2025).
  3. 3.
    Glucovance (Glyburide and Metformin HCl) Tablets.FDA Guidance Documents. 2018. Available online: https://www.accessdata.fda.gov/drugsatfda_docs/label/2018/021178s018lbl.pdf (accessed on 5 February 2025).
  4. 4.
    Rivera J, Sánchez M, Ferro MA, Prados G, Ocampo R. Pharmaceuticals as emerging contaminants and their removal from water. A review. Chemosphere 2013, 93, 1268–1287. [Google Scholar]
  5. 5.
    Comninellis C, Kapalka A, Malato S, Parsons SA, Poulios I, Mantzavinos D. Advanced oxidation processes for water treatment: Advances and trends for R&D. J. Chem. Technol. Biotechnol. 2008, 83, 769–776. doi:10.1002/jctb.1873.[Google Scholar]
  6. 6.
    Deng Y, Zhao R. Advanced Oxidation Processes (AOPs) in Wastewater Treatment. Curr. Pollut. Rep. 2015, 1, 167–176. doi:10.1007/s40726-015-0015-z.[Google Scholar]
  7. 7.
    Fernández MA, Iglesias O, Pazos M, Sanromán A. Application of electro-Fenton technology to remediation of polluted effluents by self-sustaining process. Sci. World J. 2014, 2014, 801870. [Google Scholar]
  8. 8.
    Brillas E, Sirés I, Oturan MA. Electro-Fenton process and related electrochemical technologies based on Fenton’s reaction chemistry. Chem. Rev. 2009, 109, 6570–6631. [Google Scholar]
  9. 9.
    Neamtu M, Grandjean D, Sienkiewicz A, Le-Faucheurd S, Slaveykovad V, Velez-Colmenares JJ, et al. Degradation of eight relevant micropollutants in different water matrices by neutral photo-Fenton process under UV254 and simulated solar light irradiation–A comparative study. Appl. Catal. B Environ. 2014, 158–159, 30–37. [Google Scholar]
  10. 10.
    Litter M. Introduction to photochemical advanced oxidation processes for water treatment. In The Handbook of Environmental Chemistry, 2, L:13 Environmental Photochemistry Part II; Bahnemann D, Boule P, Eds.; Springer: New York, NY, USA, 2005. ISBN 3540002693.
  11. 11.
    Gao YQ, Gao NY, Deng Y, Yang YQ, Ma Y. Ultraviolet (UV) light-activated persulfate oxidation of sulfamethazine in water. Chem. Eng. J. 2012, 195, 248–253. doi:10.1016/j.cej.2012.04.084.[Google Scholar]
  12. 12.
    Rengifo-Herrera JA, Pulgarin C. Why five decades of massive research on heterogeneous photocatalysis, especially on TiO2, has not yet driven to water disinfection and detoxification applications? Critical review of drawbacks and challenges. Chem. Eng. J. 2023, 477, 146875. doi:10.1016/j.cej.2023.146875.[Google Scholar]
  13. 13.
    Fujishima A, Zhang X, Tryk DA. Heterogeneous photocatalysis: from water photolysis to applications in environmental cleanup. Int. J. Hydrogen Energy 2007, 32, 2664–2672. doi:10.1016/j.ijhydene.2006.09.009.[Google Scholar]
  14. 14.
    Possanzini M, Di Palo V. Improved titanium method for determination of atmospheric H2O2. Anal. Chim. Acta 1995, 315, 225–230. doi:10.1016/0003-2670(95)00255-X.[Google Scholar]
  15. 15.
    Bard AJ, Faulkner LR, White HS. Electrochemical Methods: Fundamentals and Applications; Wiley: Hoboken, NJ, USA, 2022. ISBN 10: 1119334063.
  16. 16.
    Pignatello JJ, Oliveros E, MacKay A. Advanced Oxidation Processes for Organic Contaminant Destruction Based on the Fenton Reaction and Related Chemistry. Crit. Rev. Environ. Sci. Technol. 2007, 36, 1–84. doi:10.1080/10643380500326564.[Google Scholar]
  17. 17.
    Torrades F, Pérez M, Mansilla HD, Peral J. Experimental design of Fenton and photo-Fenton reactions for the treatment of cellulose bleaching effluents. Chemosphere 2003, 53, 1211–1220. doi:10.1016/S0045-6535(03)00579-4.[Google Scholar]
  18. 18.
    He H, Zhou Z. Electro-Fenton process for water and wastewater treatment. Electro-Fenton process for water and wastewater treatment. Crit. Rev. Environ. Sci. Technol. 2017, 47, 2100–2131. doi:10.1080/10643389.2017.1405673.[Google Scholar]
  19. 19.
    Kang J, Irmak S, Wilkins M. Conversion of lignin into renewable carboxylic acid compounds by advanced oxidation processes. Renew. Energy 2019, 135, 951–962. doi:10.1016/j.renene.2018.12.076.[Google Scholar]
  20. 20.
    Parra-Marfil A, López-Ramón MV, Aguilar-Aguilar A, García-Silva IA, Rosales-Mendoza S, Romero-Cano LA, et al. An efficient removal approach for degradation of metformin from aqueous solutions with sulfate radicals. Environ. Res. 2023, 217, 114852. doi:10.1016/j.envres.2022.114852.[Google Scholar]
  21. 21.
    Calzadilla MASW, Vidal J, Brillas E, Salazar-González R. Contaminants of emerging concern: Occurrence, analytical techniques, and removal with electrochemical advanced oxidation processes with special emphasis in Latin America. Environ. Pollut. 2024, 345, 123397. doi:10.1016/j.envpol.2024.123397.[Google Scholar]
  22. 22.
    Aguirre AR, Reina AC, Peral J, Colon G, Malato S. Catalysts and Photoreactors for Photocatalytic Solar Hydrogen Production: Fundamentals and Recent Developments at Pilot Scale. In Photocatalytic Hydrogen Production for Sustainable Energy; Puga A, Ed.; Wiley: Hoboken, NJ, USA, 2023. ISBN 978-3-527-83541-6.
  23. 23.
    Maldonado MI, López-Martín A, Colón G, Peral J, Martínez-Costa JI, Malato S. Solar pilot plant scale hydrogen generation by irradiation of Cu/TiO2 composites in presence of sacrificial electron donors. App. Catal. B Environ. 2018, 229, 15–23. doi:10.1016/j.apcatb.2018.02.005.[Google Scholar]
  24. 24.
    Mahbub P, Duke M. Scalability of advanced oxidation processes (AOPs) in industrial applications: A review. J. Environ. Manag. 2023, 345, 118861. doi:10.1016/j.jenvman.2023.118861.[Google Scholar]
  25. 25.
    Gimenez J, Esplugas S, Malato S, Peral J. Economic Assessment and Possible Industrial Application of a (Photo)catalytic Process: A Case Study. In Heterogeneous Photocatalysis. Relationships with Heterogeneous Catalysis and Perspectives; Marcı G, Palmisano L, Eds.; Elsevier: Amsterdam, The Netherlands, 2019, ISBN: 978-0-444-64015-4. doi:10.1016/B978-0-444-64015-4.00008-0.
  26. 26.
    Hübner U, Rüting S, Spahr S, Lutze H, Gernjak W, Wenk J. Advanced oxidation processes for water and wastewater treatmentGuidance for systematic future research. Heliyon 2024, 10, e30402. doi:10.1016/j.heliyon.2024.e30402.[Google Scholar]
  27. 27.
    Gahrouei AE, Vakili S, Zandifar A, Pourebrahimi S. From wastewater to clean water: Recent advances on the removal of metronidazole, ciprofloxacin, and sulfamethoxazole antibiotics from water through adsorption and advanced oxidation processes (AOPs). Environ. Res. 2024, 252, 119029. doi:10.1016/j.envres.2024.119029.[Google Scholar]
  28. 28.
    Moradi A, Kazemeini M, Hosseinpour V, Pourebrahimi S. Efficient degradation of naproxen in wastewater using Ag-deposited ZnO nanoparticles anchored on a house-of-cards-like MFI-type zeolite: Preparation and physicochemical evaluations of the photocatalyst. J. Water Proc. Eng. 2024, 60, 105155. doi:10.1016/j.jwpe.2024.105155.[Google Scholar]
  29. 29.
    Malato S, Maldonado MI, Fernandez-Ibañez P, Oller I, Polo I, Sanchez-Moreno R. Decontamination and disinfection of water by solar photocatalysis: the pilot plants of the Plataforma Solar de Almeria. Mater. Sci. Semicond. Proc. 2016, 42, 15–23. doi:10.1016/j.mssp.2015.07.017.[Google Scholar]
TOP