SCIEPublish

Population Dynamics and Stock Assessment of the Spottail Mantis Shrimp Squilla mantis (Linnaeus, 1758) in the North Aegean Sea, Greece

Article Open Access

Population Dynamics and Stock Assessment of the Spottail Mantis Shrimp Squilla mantis (Linnaeus, 1758) in the North Aegean Sea, Greece

Author Information
1
Department of Ichthyology and Aquatic Environment (DIAE), School of Agricultural Sciences, University of Thessaly (UTh), Fytokou Street, 38446 Volos, Greece
2
Department of Fisheries, Region of Magnesia and North Sporades Islands Iolkou and Analipseos, 38001 Volos, Greece
3
Hydrobiological Station of Rhodes, Hellenic Centre for Marine Research, Cos Street, 85131 Rhodes, Greece
*
Authors to whom correspondence should be addressed.

Received: 17 September 2024 Revised: 08 October 2024 Accepted: 03 December 2024 Published: 06 December 2024

Creative Commons

© 2024 The authors. This is an open access article under the Creative Commons Attribution 4.0 International License (https://creativecommons.org/licenses/by/4.0/).

Views:6900
Downloads:1208
Citations: 1
Hydroecol. Eng. 2024, 1(1), 10005; DOI: 10.70322/hee.2024.10005
ABSTRACT: In Greek waters, the spottail mantis shrimp Squilla mantis (Linnaeus, 1758) presents significant ecological and low to moderate economic value. This study investigates the population dynamics and stock assessment of the species in the north Aegean Sea. A total of 856 individuals were collected using commercial bottom trawls between April 2021 and April 2023. Key population parameters such as size distribution, sex ratio, growth, size at maturity and spawning seasonality were assessed. Results indicate a relatively stable population with a slight male dominance and peak spawning activity occurring in late spring to early summer. Growth parameters were estimated using the von Bertalanffy growth model, revealing moderate growth rates and a maximum length slightly higher than previously recorded for this species in other Mediterranean regions. Stock assessment, conducted through yield-per-recruit analysis, suggests that the current exploitation levels are approaching sustainable limits. However, potential overfishing risks necessitate continuous monitoring and the implementation of adaptive management strategies. This study underscores the importance of integrative approaches combining biological and fisheries data to ensure the sustainable management of S. mantis populations in the Aegean Sea.
Keywords: Stomatopod; Benthic crustacean; Bottom trawler; Bycatch species; Unexploited fisheries resource; Eastern Mediterranean

1. Introduction

Mantis shrimps are crucial biological elements of temperate and tropical ecosystems [1], and due to their ability to control the abundance of other species and serve as a strong promoter of total species richness, they are vital to marine ecosystems. Two distinct groups of mantis shrimps can be distinguished by their exterior morphology, the “spearers” and the “smashers”, occurring in soft and hard substrata [2,3,4]. They hunt largely at night, mostly with long-range strikes. Being incredibly swift and lethal predators, they successfully feed on fish, tiny crabs or shrimp, clams, marine worms and other tiny invertebrates [5]. When hunting, they wait in their burrows and quickly seize their prey. Due to their behavior and preference for deeper, murkier environments, have not received much research attention. The spottail mantis shrimp, Squilla mantis, belongs to the spearers, named for their significantly larger second pair of limbs, resembling the grasping forelimbs of praying mantises. This species is easily recognized by its distinctive morphological characteristics, most notably the brown eye spots encircled in white, located anteriorly on each side of the telson’s medial longitudinal crest. Dull brown is the typical overall coloration of the species. It can grow up to 20 cm in total length (TL), with an average of 12–18 cm [5]. In the eastern Atlantic, the distributional range of Squilla mantis extends from the Gulf of Cadiz in the north, southward to the Madeira and Canary archipelagos [6,7], to Angola in the south [5,8,9]. It is found across the Mediterranean Sea, especially in marine areas enriched with run-offs from rivers [5,10,11,12,13,14], inhabiting a wide range of depths, from the sublittoral (>3 m) to over 150 m (maximum recorded depth 367 m) [5,15]. However, it is typically found in depths between 120 and 150 m [5,6,8,15]. The species’ burrowing behavior and dietary composition indicate that it is a benthic crustacean with a strong connection to soft sediments [8,16]. In fact, S. mantis prefers silty sand to sandy mud substrates [5,17] but also sandy [7] and muddy bottoms [9,10,18], with average temperatures of the overlaying waters between 13.2 °C and 24.0 °C [5] and salinities between 35–40 [5]. In addition to its burrowing behavior, other important ecological characteristics of the species include territoriality, nocturnal predatory opportunism, and exceptional eyesight [3,5,17,19,20,21,22]. In the Mediterranean, the majority of the spearers constitute a major bycatch of the prawn fishery, frequently caught over trawlable bottoms in coastal fisheries and according to various studies [5,6,10,14,15,16,18,23,24,25,26], Squilla mantis is the only mantis shrimp in the basin with considerable economic significance. Except for the trawlers, the primary method of capturing the species is by various fishing gear, including dredges, “rapido” and “rastell” trawl nets, trammel nets, gill nets, baited traps, and pots [5,7,9,13,16,23,24,25,26,27]. Up to 2015, more than 7000 t per year were captured within the basin, most of which were from the Italian coast of the Adriatic, the Ionian and Sardinia. It is regularly or occasionally sold fresh in the fish markets of Algeria, Cyprus, Egypt, France, Greece, Israel, Italy, Morocco, Spain, Tunisia and Turkey [5,9,10,13,14,28,29,30,31]. However, in Greece, as in other Mediterranean countries, the species is mostly a discarded [32,33], and there is a possible connection between the market demands and the fishers’ decision to discard the species [27]. Many aspects of the biology and ecology, including behavior, morphology, anatomy and population dynamics of the species have been studied in various Mediterranean countries [10,20,24,25,27,28,34,35,36,37,38,39,40,41,42,43,44,45,46,47,48,49,50]. In the Greek waters and the eastern Mediterranean Sea, S. mantis has only been the subject of a few studies [27,28,29,51], hence, there is still no comprehensive information on the biology, ecology and exploitation level [31,52], in order to develop managerial practices for targeted fisheries in the eastern basin. To address this data gap, this study employs length-based models and mortality estimates, which are suitable methods for data-limited stocks. Traditional stock assessment methods, such as age-structured models, often require extensive data and are not feasible for many fish and crustacean species, especially in data-limited regions. Data-limited approaches provide reliable alternatives that can inform management and conservation decisions, even in the absence of extensive historical data [53]. In fisheries science, length-based models and mortality estimates are widely accepted for assessing stock status when only length-frequency data and basic life-history parameters are available [54,55]. These methods are particularly relevant for S. mantis in the North Aegean, where traditional data-intensive models are infeasible due to limited data. Length-based models, including mortality estimates based on empirical relationships [56], are robust tools for assessing stock exploitation levels with limited data [57]. These methods have been extensively validated in data-limited fisheries worldwide. It is supported by the work of [58], who advocate for the utility of length-based and simple mortality models in providing management-relevant insights, even in data-limited contexts. While various studies have investigated the biology, ecology, and population dynamics of S. mantis in different Mediterranean regions, few have focused on the species in Greek waters, particularly the North Aegean Sea. This geographical gap is significant, as a comprehensive understanding of S. mantis’s life history and exploitation levels in the eastern Mediterranean is crucial for developing sustainable fisheries management practices. Given its role as a bycatch species in prawn fisheries, S. mantis is often subject to unregulated harvest, which could negatively impact local populations and biodiversity. The objective of this research is to enrich the existing knowledge of S. mantis in the North Aegean Sea by examining its growth, reproductive biology, mortality, and exploitation rates. The findings will provide essential information for the sustainable management and conservation of S. mantis, ensuring that this ecologically and economically valuable species remains a viable resource within Mediterranean fisheries.

2. Materials and Methods

2.1. Study Area The coastal region surrounding Thermaikos Gulf and its southern waters is characterized by a mosaic of uses, from highly urbanized extensive infrastructure, port facilities, and many hotel units to partially residential, highly to medium culturable land, and highly to medium touristic activities in the coastal waters during summer months. The study area is indicated in Figure 1. The seabed of the North Aegean region is predominantly composed of vast fine sandy, sandy mud and muddy plains at the sublittoral zone [59], with the mean annual water temperature fluctuating between 14 and 16 °C. Salinity levels are typically measured between 37 and 39 ppt, while pH values range from 8.40 to 8.46. Oxygen concentration varies between 5.3 and 5.9 mg/L, and turbidity levels have been recorded between 17.4 and 19.8 m.
Figure 1. Map of the investigated region of the north Aegean Sea, Greece, where experimental bottom trawling for the collection of the spottail mantis shrimp <i>Squilla mantis</i> was conducted (black outline). Color variation indicates depth.
2.2. Sampling Methodology All S. mantis individuals in the present study were caught with commercial bottom trawlers during normal commercial catches. All conducted hauls followed the same fishing protocol in terms of cod end mesh size of the fishing gear, duration, depth range and studied area limits. The hauls were conducted in straight lines over fine sand and sandy–muddy substrate. The incorporated vessels were two traditional Greek commercial bottom trawlers of the medium-scale artisanal fisheries registered in the north Aegean Sea fleet. The cod end had a square mesh with a stretched mesh size (bar length) of 28 mm. The trawling depth ranged from 64 to 100 meters, the trawling speed was between 3 and 3.1 nautical miles per hour, and each haul lasted five hours. Upon the release of the catch on the deck of each vessel, random S. mantis samples were collected, transported to the laboratory and for each individual, the total length (TL), carapace length (CL) and total weight (TW) were measured to the nearest 0.01 cm and 0.01 g, respectively. Samples were acquired monthly between April 2021 and May 2024, excluding the period from June to September when commercial trawling is prohibited (EU 1967/2006) [60]. 2.3. Sexual Dimorphism and Morphometric Relationships A total of 856 individuals (512 males and 344 females) collected between April 2021 and May 2024 were studied for TL, CL, TW and reproductive stage. The chi-square goodness-of-fit test was used to evaluate the null hypothesis of equal proportions in the male-to-female ratio and to compare our results with published literature [61]. The chi-square test for association was further employed to evaluate the null hypothesis of an equal proportion of seasonal sex ratio. Data were assessed for normal distribution with the Shapiro–Wilk test for normality and heteroscedasticity with variance ratio test. Welch’s test was employed to compare morphometric characteristics among sexes [62]. Pearson correlation coefficient (PCC) was employed to measure the strength of the linear association between all biometric characters measured [63]. Statistical analysis was performed with Jamovi (Ver. 2.3.8) [64] at an alpha level of 0.05. The R package TropFishR (version 1.6.4) [65] was used to estimate the growth and mortality parameters using R studio (ver. 4.4.1, R Foundation for Statistical Computing, Vienna, Austria. Accessed on 10 October 2024, from https://www.r-project.org/). 2.4. Length-Weight Relationship The length-weight relationship (LWR) was assessed by fitting the linear least squares regression separately for each sex. For the total population combined, where CL is the carapace length (mm), TW is the total weight (g), “a” (growth factor) is the intercept, and “b” is the slope (allometry coefficient) (Equation (1)). The standard Student t-test was employed to assess allometric relationships, isometry (b = 3) or allometry (b ≠ 3). The two-sample t-test was used to compare the linear regression equations among sexes.
```latex\mathrm{TW=a+b\times CL}```
2.5. Age Composition and Growth Pooled length frequency distributions (LFDs) calculated per 1 mm size class were divided into age groups using Bhattacharya’s approach [66] to identify the mean of length for each cohort [67,68], with the use of the FiSAT II program (FAO, Rome, Italy) (version 1.2.2) [69]. The separation index among different cohorts was employed to determine statistically acceptable cohorts. The Bhattacharya method is a statistical technique used to analyze length-frequency data by separating mixed distributions of lengths into distinct age or cohort classes. The Bhattacharya method converts length-frequency data into a series of normal distributions, assuming that each cohort (or age group) within the population follows its own normal distribution. It identifies and isolates these cohorts by detecting peaks in the frequency distribution, with each peak representing a separate cohort. Using Gaussian decomposition, successive normal distributions are fitted and subtracted to separate these peaks iteratively. The means and standard deviations of each cohort are then estimated using linear regression on the cumulative length-frequency data to enhance accuracy. This separation provides estimates of age classes, enabling analysis of growth patterns, as each peak represents an age group that allows calculation of growth increments across age classes. The ELEFAN system (Electronic LEngth Frequency ANalysis) on monthly LFDs was used to provide quantitative information [70] on the growth of S. mantis using a seasonally oscillating version of the von Bertalanffy Growth Formula (VBGF). The ELEFAN method allowed for parameter estimation from the von Bertalanffy growth function from the progression of LFQ modes (length-frequency modes) through time [56]. Following the “reconstruction” of length frequency data, Response Surface Analysis (RSA) was employed to estimate growth parameters (K and L∞) within the von Bertalanffy Growth Function (VBGF). This approach involved fitting the VBGF model to length-frequency data across a range of K and L∞ values, generating a response surface that visualizes the goodness-of-fit for each parameter combination. By identifying the peak of this response surface, the optimal estimates for K and L∞ could be determined. Bin length was chosen using the empirical equation (Equation (2)) according to [71].
```latex\mathrm{Bin~length~=~0.3\times Lmax}^{0.6}```
where Lmax is the maximum observed length. Growth was described by the Von Bertalanffy (1938) [72] growth equation (Equation (3))
```latex\mathrm{Lt~=~L_{inf}\times\left(1-~e^{-k\times(t-t_0)}\right)}```
where K (growth coefficient) is the rate at which the asymptotic length, Linf, is approached, t is the age in years and t0 is the hypothetical age at which the individual has zero length. The index of growth (in length) performance [73] was derived using the von Bertalanffy parameters (Equation (4))
2.6. Reproduction Sex and maturity stages were determined macroscopically according to [74]. The reproductive stages of S. mantis were categorized based on macroscopic observations of the ovaries and sternites (abdominal segments) as follows: Indeterminate: No discernible ovarian features or sternite coloration. Immature Virgin: Filamentous and hyaline ovaries, with hyaline 6th–8th sternites. Virgin individuals exhibit narrow, yellow ovaries, which may be filamentous, with brown chromatophores and hyaline 6th–8th sternites. Recovering individuals exhibit narrow, yellow ovaries, which may be filamentous, with prominent brown chromatophores and whitish 6th–8th sternites. Maturing: Yellow ovaries extending up to half the abdominal width, not visible through the cuticle, with white 6th–8th sternites. Mature: Yellow ovaries extending over half the abdominal width, visible through the cuticle on the ventral side of the telson, with milky white sternites. Resting: Filamentous and shrunken ovaries, sometimes still yellow or with few yellow dots, with hyaline or white 6th–8th sternites. The sex of individuals was determined by examining the morphology of the ovaries and the structure of the 6th–8th sternites, noting distinct differences between males and females. The length at which 50% of individuals in the population have reached sexual maturity (known as the onset of sexual maturity, L50) was estimated with the use of a binary logistic regression fitted to the data [75]. Data were transformed using the logit transformation into a probability ranging from 0 to 1, with individuals deemed immature assigned a 0 value and mature individuals assigned a value of 1. Annual recruitment pulses and their relative strength were determined using time series length–frequency data and growth parameters (Linf and K), utilizing backward projection of length frequencies onto the time axis based on growth parameters [76]. 2.7. Mortality, Exploitation Rate, Capture Probability and Eumetric Length Natural mortality was calculated using the updated Pauly nls-T estimator according to [77] (Equation (5)).
```latex\mathrm{M~=~4.118\times K^{0.73}\times L_{inf}^{-0.333}}```
Total mortality (Z) was calculated according to the length-converted catch curve [78]. Points along the descending limb of age-frequency data, where catch counts decrease logarithmically with age, were selected for linear regression. This range of points represents the segment where mortality is expected to follow a steady, exponential decline, thus minimizing potential biases from recruitment effects or small sample sizes at older ages. The slope of the regression line provided the total mortality estimate. The annual fishing mortality rate (F) was obtained by subtracting natural from total mortality according to [68] (Equation (6)).
```latex\text{F = Z} - \text{M}```
The exploitation rate (a measure of the number of fish that are caught from a population each year) was calculated as the ratio of fishing mortality to total mortality [78] (Equation (7)).
```latex\text{E = F/Z}```
A catch curve based on net selectivity was constructed by applying linear regression fitted to an ascending line of input points generated from a plot of the capture probability against the length group [79] to calculate the length at first capture (Lc) (50% capture probability) and values of the lengths at 25% (L25) and 75% (L75) capture probabilities respectively. The length class with the highest biomass (Le) (eumetric length) at which the fish population can achieve its maximum sustainable yield (MSY) was calculated according to [54,80,81] (Equation (8)):
```latex\mathrm{L_e~=~\frac{3\times L_{inf}}{3+\frac{M}{K}}}```
2.8. Relative Y/R and B/R Analysis: Knife-Edge Selection The relative yield per recruit (Y′/R) was estimated using the knife-edge method of Beverton and Holt’s model (Equation (9)) [68,82]. Biological reference points that were obtained from the model included the fishing mortality at the maximum sustainable yield (Fmax), the exploitation rate at the maximum sustainable yield (Emax), the exploitation rate at which the marginal increase in relative yield per recruit is 1/10th of its value at E = 0 (E0.1), the value of E under which the stock has been reduced to 50% of its unexploited biomass (E0.5) and the biomass per recruit at the maximum sustainable yield (BMSY).
```latex\frac{\mathrm{Y^{\prime}}}{\mathrm{R}}=\mathrm{~E}\times\mathrm{U}^{\mathrm{M/K}}\times(1-\frac{3\times\mathrm{U}}{(1+\mathrm{m})}+\frac{3\times\mathrm{U}^2}{(1+2\mathrm{m})}+\frac{\mathrm{U}^3}{(1+3\mathrm{m})})```
where: $$\mathrm{U}=1-(\frac{\mathrm{L_c}}{\mathrm{L_{inf}}})$$ $$\mathrm{m~}=\frac{1-\mathrm{E}}{\frac{\mathrm{M}}{\mathrm{K}}}=\mathrm{~K}/\mathrm{Z}$$ The optimum exploitation rate (Eopt) was further estimated according to [83] (Equation (10)).
```latex\mathrm{E_{opt}}=\frac{\mathrm{F_{opt}}}{\mathrm{Z}}```

3. Results

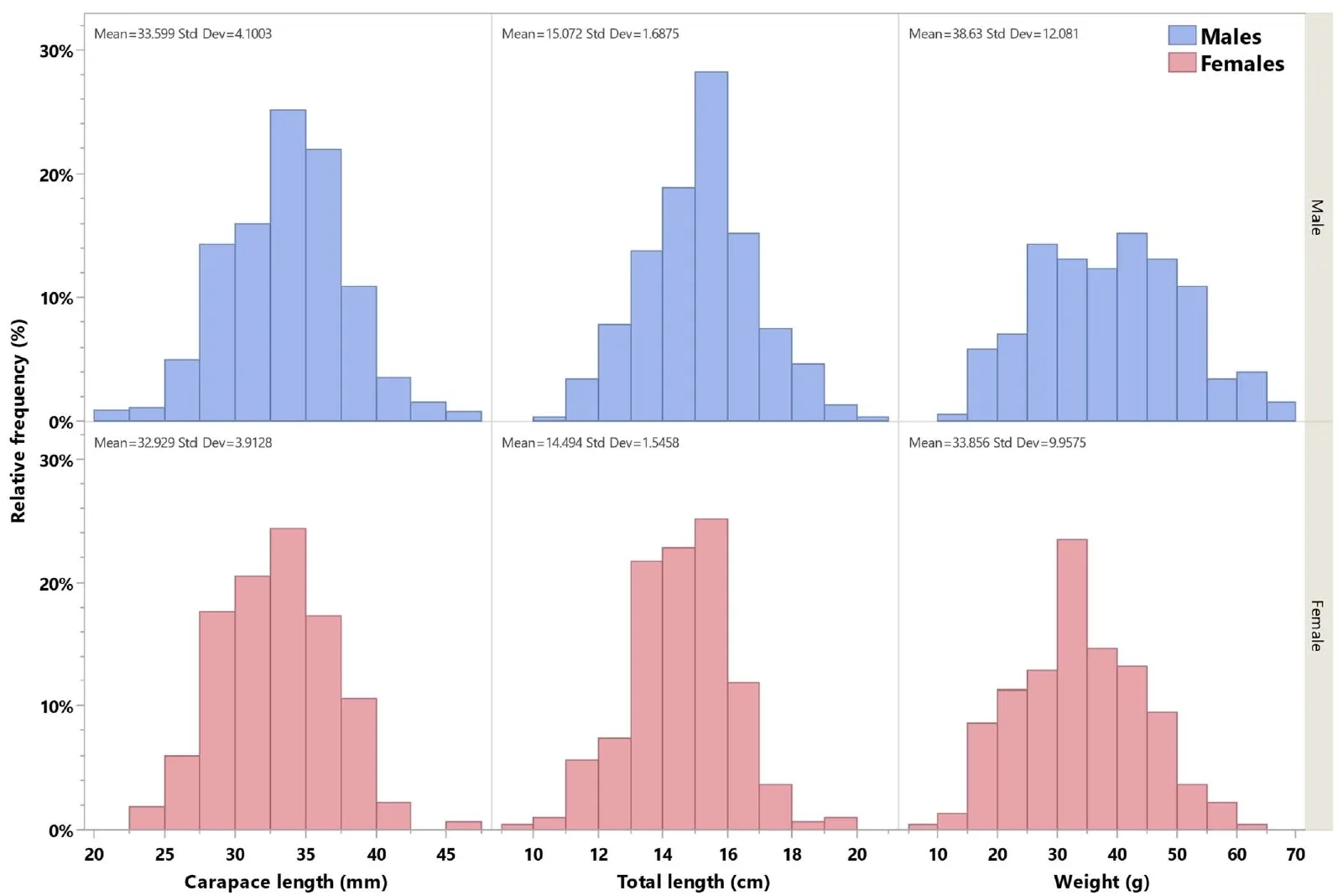
3.1. Sexual Dimorphism and Morphometric Relationships For the total population, males exhibited significantly larger CL (33.7 ± 4.38 mm, Welch T-test = −2.62, p < 0.01), TL (14.9 ± 1.96 cm, Welch T-test = −3.34, p < 0.001) and TW (38.5 ± 12.16 g, Welch T-test = −6.18, p < 0.001), compared to the females (32.9 ± 3.91 mm), (14.5 ± 1.56 cm) and (33.8 ± 9.95 g) respectively (Figure 2).
Figure 2. Carapace length, Total length and Total weight frequency distribution of the 856 sexed individuals of Squilla mantis from north Aegean Sea, Greece.
The sex ratio for the total population was in favor of males with M:F ratio 1.48:1 (X2 = 33.19, p < 0.001), with significant difference exhibited among seasons (X2 = 117.86, p < 0.001) (Figure 3). Sex ratio during spring (March–May) was significantly in favor of males (X2 = 136.78, p < 0.001) with M:F ratio 3.27:1. The opposite trend with sex ratio in favor of females was indicated during autumn (X2 = 4.88, p < 0.05) with M:F ratio 0.62:1 and winter (X2 = 9.38, p < 0.01) with M:F ratio 0.60:1 (Figure 3). Significant correlations (p < 0.05) were exhibited among all biometric characters with higher correlation between TL vs. TW (r = 0.80) and CL vs TW (r = 0.65). 3.2. Length-Weight Relationship Carapace length versus total weight relationship exhibited a significant negative allometric relationship for the total population and for each sex separately (slope b significantly lower than 3, p < 0.001) (Figure 3A). No significant difference in the relationship of the carapace length vs total weight was exhibited between sexes (slopes T = 1.72, p > 0.05, intercepts T = 0.94, p > 0.05). However, males tended to get heavier as they grew up compared to the females (Figure 3B).
Figure 3. Carapace length—total weight relationship of (<b>A</b>) both sexes and (<b>B</b>) each sex separately of <i>Squilla mantis</i> from north Aegean Sea, Greece.
3.3. Age Composition and Growth Asymptotic length (Linf) was estimated at 51.04 mm of carapace length and with growth coefficient (k) at 0.2. The index of growth Φ’ was estimated at 2.72, indicating a fast-growing population. Five age classes were identified. The dominant cohort was the third-year class, comprising 52.8% of the population, followed by the second (41.6% of the population) and the third (4.2% of the population) year classes, respectively (Figure 4).
Figure 4. Characteristics of the identified age groups for all 856 individuals of <i>Squilla mantis</i> from north Aegean Sea, Greece. Confidence intervals indicate the standard deviation.
The seasonally oscillating VBGF was fitted to monthly length-frequency data (Figure 5), indicating the seasonally oscillating growth curve of S. mantis carapace length based on monthly length-frequency data from the north Aegean Sea. The black-and-white bars and blue-red background represent peaks in length-frequency data, with black-and-white indicating positive peaks and blue-red indicating negative peaks. Restructuring was used to identify modal length classes, which correspond to different cohorts over time. The dotted diagonal lines overlaid on the length-frequency data represent growth curves, showing the progression of cohorts as they increase in length through time.
Figure 5. Length frequency data and growth curves from restructured data (MA = 7), obtained through the seasonally oscillating response surface analysis (RSA) of <i>S. mantis</i> individuals captured from north Aegean Sea, Greece. Bars represent restructured length frequency data, with black–white bars and blue–red background indicating positive and negative picks, respectively. The intensity of the blue and red shades reflects the magnitude of deviations, with darker shades indicating stronger positive (blue) or negative (red) peaks in the restructured data.
3.4. Reproduction Figure 6 illustrates the monthly occurrence of reproductive stages in S. mantis, with each dot representing an individual specimen. Clusters of dots indicate multiple specimens within the same reproductive stage, with the size of each cluster corresponding to the number of individuals found at that stage during a specific month. Reproductive stages are shown on the y-axis, ranging from immature virgin to resting adult. Seasonal patterns are highlighted by color: winter (green, December–February), spring (red, March–May), and autumn (blue, October). Figure 6 demonstrates seasonal trends in the reproductive cycle, with immature and developing stages predominant in winter months, maturation occurring in spring, and a new cohort of immature individuals appearing in autumn. S. mantis annual recruitment pattern (Figure 7) indicated that recruitment occurs in one prominent peak between March and June (66.7% of the annual recruitment). The L50 was estimated at 24.4 mm in CL (1.2 years and 13.9 g) for the total population, with CL at maturity occurring in smaller CL sizes for males (22.3 mm) compared to females (25.1) (Figure 8).
Figure 6. Monthly occurrence of <i>Squilla mantis</i> reproductive stages from the north Aegean Sea, Greece. Seasons are indicated by color.
Figure 7. Monthly recruitment pattern of <i>S. mantis</i> in north Aegean Sea (Greece). The histogram represents the percentage recruitment observed each month, with the superimposed red line indicating the smoothed trend of recruitment distribution throughout the year.
Figure 8. Binary logistic regression of the proportion of mature <i>S. mantis</i> from north Aegean Sea, Greece, relative to its carapace length (red line indicates model fit, green dashed line indicates 95% C.I., blue dashed line indicates L<sub>50</sub>).
3.5. Mortality, Exploitation Rate, Capture Probability and Eumetric Length A catch curve analysis was conducted to estimate S. mantis total mortality (Z). Points along the descending limb of the age-frequency data, where catch counts decrease logarithmically with age, were selected for regression analysis. (Figure 9). The chosen range of points reflects the segment where mortality is expected to follow a steady, exponential decline, minimizing potential biases from recruitment or low sample sizes at older ages. The resulting total mortality estimate (Z = 0.74 ± 0.13) provides a measure of mortality that integrates both natural and fishing mortality, crucial for assessing population dynamics and guiding sustainable management practices.
Figure 9. Length converted catch curve showing the descending limb used for estimating total mortality (Z). The blue points represent the data selected for the regression analysis, with the slope indicating the total mortality estimate.
Natural mortality (M) was estimated as 0.34, fishing mortality (F) as 0.4, and total mortality (Z) as 0.74. Exploitation rate (E) was estimated as 0.54. Capture probability was estimated at 25% (LC25), 50% (LC50), and 75% (LC75) levels as 28.55, 29.70, and 30.77 mm, respectively, with age at a 50% probability of capture (t50) estimated at 2.0 years. Eumetric length Le was estimated at 32.5 mm CL. 3.6. Relative Y/R and B/R Analysis: Knife-Edge Selection The yield per recruit (Y/R) against F and E are shown in Figure 10 and Figure 11, respectively. The model indicated that the current F of 0.4 is significantly lower than the FMSY of 2.641, suggesting that the current level of fishing pressure is below the threshold needed to achieve the MSY, indicating that the population is not being overfished at present. Furthermore, the current E of 0.54 is below both Emax (0.88) and Eopt (0.65), indicating that the exploitation level is within sustainable limits and optimal for the species’ long-term viability. It is advisable to maintain or slightly adjust the current level of exploitation to avoid overfishing while maximizing yield.
Figure 10. Yield per recruit (Y/R) and biomass per recruit (B/R) of <i>S. mantis</i> captured from north Aegean Sea (Greece), for different fishing mortalities. Biological reference points are indicated.
Figure 11. Yield per recruit (Y/R) and biomass per recruit (B/R) of <i>S. mantis</i> captured from north Aegean Sea (Greece), for different exploitation rates. Biological reference points are indicated.
Results of the yield-per-recruit model and biological reference points are shown in Table 1.
Table 1. Relative yield/recruit analysis (knife edge) and biological reference points of S. mantis population from north Aegean Sea, Greece.

4. Discussion

In the Mediterranean Sea, S. mantis exhibits high densities in areas where the substrates are suitable for burrowing. These considerable concentrations constitute the species important for fisheries. Indeed, S. mantis is the most economically important mantis shrimp among Mediterranean countries, such as Italy (Adriatic Sea and Sardinia) and Spain (Catalonia and Balearic Isl.) [10,16,23,24,25,28,84]. However, the species is still unexploited in many basin countries and remains mainly a bycatch [27,31,32,33]. A positive element for the potential economic benefit of the coastal small-scale fisheries, is that the spottail mantis shrimp displays maximum abundance in depths shallower than 50 m [5,16], where trawling is prohibited. Individuals can be caught mainly during night hours when they are out of their burrows. Seasonal variations in catches are strongly connected to the reproduction of the species (recruitment and disappearance of adults after spawning), with abundance lower during spring and early summer and higher during winter and late autumn [10,84,85,86]. Furthermore, catch variability is also related to depth, weather and prevailing sea conditions [5,16] and seawater temperature [5,48,87]. It is noteworthy that many coastal epibenthic species targeted by artisanal fisheries demonstrate a seasonality in catches, namely the caramote prawn Penaeus kerathurus (Forskål, 1775) and the horned octopus Eledone cirrhosa (Lamarck, 1798) [10,88]. In the prospective of S. mantis becoming a targeted fisheries resource, the present study provides important aspects of its biology in the Thermaikos Gulf and adjacent southern Aegean waters. Throughout our study, S. mantis was collected over soft substrates with bottom trawlers of similar length, GT and KW, cod end mess size, depth range (less than 100 m) and haul duration (five hours). Apparently, these were not specialized trawlers for catching S. mantis, on the contrary there are not such vessels. All trawlers working on suitable bottoms may catch this species, and thus, it is difficult to estimate the size of the fleet that exploits S. mantis because the species does not represent the main target of a specific métier. The investigated number of S. mantis individuals in the present study (n = 856) covers a significant range of CL, TL and TW of the population of the species in the study area. The range of values for these morphometric parameters were 1.49–4.97 cm, 7.45–20.01 cm and 11.88–69.94 g, respectively for males and 2.31–4.56 cm, 9.90–19.50 cm and 9.17–61.94 g respectively for females. These ranges seem very close to those recently obtained by [52] and our maximum TL agreed with the values previously observed for this species [5]. However, CL and TW ranges were narrower for both sexes than those obtained by [27] in Thermaikos Gulf. The minimum CL reported herein is smaller than that reported from Spain, roughly the same as in the north-central Adriatic and larger than from the western Italian seas and Algeria [5,10,31,37,89]. Males grow larger in the under-study area, and our results agree with those of [31,52] and [27], who collected specimens from the same region a few years prior to the present study. However, our findings contradict those presented by [51], who reported that females were larger and heavier. The differences could be the effect of the fishing gear used (static nets in depths less than 40 m) and/or the absence of winter specimens in their study. Mean male TL was higher than that reported from Sicily [25], Tunisia [16], Algeria [31] and Turkey [51,52]. Mean female TL was similar to those reported from Tunisia [16] and higher than that from Sicily [25], Algeria [31] and Turkey [51,52]. Mean male TW was similar to those reported from Thermaikos Gulf, Greece [27], and different from specimens collected in Maliakos Gulf, Greece [28], Algeria [31] and Turkey [51,52]. Mean female TW was similar to those reported from Thermaikos Gulf, Greece [27], and differs from specimens collected in Maliakos Gulf, Greece [28], Algeria [31] and Turkey [51,52]. In terms of the male to female sex ratio, our results indicated one of the lowest ratios in the studied literature. In fact, a great variability in the M:F ratio can be noticed throughout the latter by [10] at the Ebro delta, [13] in Tunisia, by [16,24,90] in three areas of Tunisia, by [25] in the southern coast of Sicily (specimens collected during autumn/winter), by [86] in the northern and central Adriatic Sea, was calculated by [51] in the eastern Aegean Sea, by [27] in Thermaikos Gulf, north Aegean, by [31] in Algeria and by [52] in the eastern Aegean Sea. Sex ratio alternations have also been reported for populations outside the Mediterranean [91] (and references herein). The variability in the M:F ratios, and especially the dominance of males in spring and in summer, is possibly related to the fact that during the reproduction season, the berried females remain within their burrows [13,37,84,86] and in a lesser degree to the relatively faster male growth [13,16,91]. Length-weight relationship is an important tool in fisheries biology. It is often used to study the population characteristics of many crustacean species [27,92], revealing how a population changes over time and space. The spottail mantis shrimp exhibited negative allometry in the under-study area, indicating a higher weight increase in proportion to length. The Coefficient of determination (R2) values of 0.53 and 0.54 indicated a weak correlation between the CL and TW of S. mantis in the present study. LWRs for S. mantis have been reported by various authors throughout the Mediterranean Sea and the European Atlantic waters (eastern central Atlantic) and several agree with our negative allometry [14,28,31,44,51,52,93]. However, there are others that report positive allometry, in contrast to our results [16,24,25,37,94]. The latter authors reported positive allometry only for their female individuals and attributed their positivity to the possible involvement of their sampling size or their sampling methodology. Positive allometry only for males has been presented by [95]. Negative allometric (b < 3) growth has also been reported from outside European waters [91]. Nevertheless, the growth patterns of marine species can be influenced by factors such as overfishing, biological competition, environmental conditions (temperature, salinity, nutrients), and/or predator-prey relationships [24,31]. The structure of the populations of any species must be studied well in order to design and apply management protocols. The growth rate of a species can be calculated by plotting size as a function of age. Our age estimation of S. mantis identified five age classes, resulting in the highest number of age classes found in Mediterranean literature on the species. Most studies in the Mediterranean have reported three to four age classes [25,31,51,52,84,85,96]. However, [13,16] reported two age classes for both sexes of the species in Tunisian waters, whereas [14] reported three from specimens collected from the European Atlantic waters. The differences could be attributed to the sampling areas themselves, the sampling methodology and the method for statistical analysis. There is no available data on the dominant cohorts in the studies except for that of [52], who reported that the dominant cohort was the fourth-year class. Asymptotic length (Linf) was calculated for all individuals (combined sexes) on the basis of CL (5.11 cm) and was found higher than in [10] (3.90–4.00 cm, males and females respectively), [37] (4.15 cm) and [51] (4.74 cm) and closer to that reported in [31] (4.81 cm). Nevertheless, other authors have used TL [16,25,52,93] to calculate Linf and the other growth parameters. The growth coefficient (K) was also calculated based on CL. The value of 0.20 obtained herein is smaller than that of [31] (0.34) and [37] (0.49). Linf and K values obtained are consistent with the relatively short longevity of the species [5,10,96]. Do Chi [97] and Badia and Do-Chi [96] suggested a maximum life span of 3.5 years for S. mantis, while other authors [10,93] have reported that the maximum age of the largest individuals caught in the fishery corresponds to the age of three. Similarly, the growth index Φ’ was estimated at 2.89 based on CL, indicating a fast-growing population in the under-study area. Our value is very close to that presented by [37] (Φ’ = 2.93) and almost identical to that of [31] (Φ’ = 2.90). Understanding and investigating reproductive biology is crucial for managing fisheries and assessing fish stocks. Although our sampling period did not include summer months, the monthly frequency of each maturity stage of the individuals collected indicated that annual reproduction occurs in a single spawning event, as also pointed out by [52]. The initiation of this event occurs in May. In Maliakos Gulf, Greece, females with mature ovaries have been reported in July, September and October [28] and this prolonged period was attributed to the different environmental conditions. Koç et al. [52] observed that the highest gonadosomatic index (GSI) values in the Northern Aegean Sea occurred in spring.In the eastern Aegean, [51] detected that S. mantis exhibits an intensive spawning period between April and July. Other authors from different Mediterranean areas have also concluded that reproduction falls within the same period. Chronologically, late spawners occur in the Gulf of Trieste in June [85]. In the Adriatic, the largest percentage of mature females has been recorded in February and March [37]. In the Ligurian Sea, females with ripe gonads have been recorded between January and June, peaking in April [5]. In Tunisia, ref. [24] studied the GSI of their specimens, which began to rise in December, peaked in February and dropped between April and June. Carbonara et al. [74] reported that in the Tyrrhenian, South Adriatic and western Ionian seas, the reproductive period extends from October to June, with a peak during winter-early spring. In the Tyrrhenian Sea, reproduction extends from winter to spring (January to June), according to [98]. Shortly after, ref. [99] concluded that maturation lasts from December to April and spawning from April to August. In the north-central Adriatic, reproduction lasts from winter to spring [86]. In the European coastal waters of the eastern Atlantic, maturity has been reported to initiate in the early winter [14]. Based on the literature, females incubate the eggs in their burrows during spring and early summer, for approximately 10 weeks. They do not feed and do not leave their burrows [5,97,100,101]. Larvae hatch between late spring and late summer [47,101] and settlement of post-larvae occurs at the end of summer and the beginning of autumn (CL 0.3–0.4 cm) [5,10,37]. Squilla mantis matures within 1 year after settlement and spawns within the second year of life [10,95,96]. The estimated L50 at CL 2.44 cm (1.2 years, 13.9 g) for combined sexes is close to that reported from [5,98], (CL 2.0–2.4 cm), [74] (CL 1.96 ± 0.10 cm, 2.11 ± 0.13 cm and 2.03 ± 0.16 cm in the central-southern Tyrrhenian, South Adriatic and western Ionian seas respectively) and [86] (CL 2.54 ± 0.21 cm) from north-central Adriatic. However, several authors have expressed the L50 in regards to TL instead of CL [10,13,44,99,100,102]. Comparing our values of S. mantis populations to other regions and seasons reveals significant variability, often linked to environmental parameters such as temperature, salinity, and habitat availability. For instance, changes in sea temperature can affect growth rates and reproductive success, as observed in [46], which highlighted the influence of climatic factors on crustacean populations. Such environmental fluctuations can lead to differences in population dynamics, affecting overall abundance and sustainability in various areas. The determination of exploitation indices provides useful information on the status of the species. Natural mortality, estimated as 0.34, is a lot lower from the value of [31] (0.95) and lower to that (0.47) defined by [52]. Fishing mortality (F) of 0.40 was higher than the 0.26 calculated in [84] and the 0.20 provided by [52] and lower than in [31] (0.95/year), and by [51] (1.16/year). Additionally, total mortality (Z) of 0.74 was higher than that (0.67) of [52], and lower than that (1.32 year−1) of [31], and that (0.98) of [25]. In the present study, the estimated exploitation rate (E) of 0.53 was higher than that (0.30) defined by [52] and that (0.39) of [51]. Since our yield-per-recruit model shows that the current F (0.40) is significantly lower than the Fmax (2.641) we can infer that the current fishing pressure is below the threshold of the MSY. The exploitation rate was found within sustainable limits, below the Emax (0.88) and the Eopt (0.65). It was indicated that the S. mantis population in the study area is not overfished, and a further increase in the catches can be sustainable if combined with sustainable management practices. Our recommendation is to potentially increase S. mantis landings, while establishing fishing quotas and regular population assessments. The opposite recommendation to reduce or to maintain fishing pressure and/or implement a recovery plan was proposed for the populations of S. mantis in the north Adriatic and the Tyrrhenian, South Adriatic and western Ionian seas, respectively [84,103]. The differing management implications for S. mantis populations across various regions arise from several key factors. In Italy, S. mantis is a targeted species with significant value in local fisheries, leading to more intensive management and better data on population dynamics [104]. In contrast, in Greek waters, it is primarily considered bycatch, leading to underreporting and a lack of targeted management. This may contribute to higher incidental mortality and inadequate population assessments. Additionally, fishing pressure in the northern Adriatic, Tyrrhenian, South Adriatic, and western Ionian seas may be more intense due to variations in fishing practices and gear types, which negatively impact population health. Biological factors, such as growth rates and reproductive strategies, also vary across regions, influencing each population’s resilience and recovery potential. Finally, socioeconomic factors play a role: in Italy, the economic importance of S. mantis justifies a more aggressive management approach, whereas in Greece, where it is of less economic concern, management strategies tend to be more conservative. These factors underscore the critical need for customized management strategies that account for each region’s unique ecological, biological, and socioeconomic contexts. Such tailored approaches are essential for ensuring the long-term sustainability of S. mantis fisheries across diverse marine environments. Although the study spans only three years, which may limit its ability to capture the complex population dynamics of S. mantis fully, the methodology employed is valid and commonly used for assessing data-limited stocks [59,105,106,107]. The absence of data from June to September is a noted limitation, as this period likely includes critical life stages, such as reproduction and recruitment, which are essential for understanding population trends. Additionally, the gear used for data collection may influence the demographic profile captured, potentially biasing the population representation. Despite these limitations, the simple methods applied provide valuable preliminary insights into stock status and are designed to be straightforward and accessible for fisheries assessments. Given constraints in time and resources, these methods offer a practical approach for initial evaluations and serve as a foundation for more detailed studies in the future. Ultimately, while the need for more comprehensive assessments is acknowledged, the chosen methodology remains a robust starting point for understanding S. mantis populations within the context of available data.

5. Conclusions

The present study provided valuable insights into the population dynamics and stock assessment of the spottail mantis shrimp Squilla mantis in the northern Aegean Sea. Findings indicated a relatively stable population, with males slightly dominating. Growth parameters were moderate, with the species exhibiting a larger maximum size than previously recorded in other Mediterranean regions. The peak of the spawning period was observed in late spring to early summer, aligning with the reproductive patterns seen in other Mediterranean populations. Current exploitation levels are sustainable, though they are nearing the upper limits. This underscores the importance of regular monitoring and adaptive management strategies to prevent overfishing. Despite being primarily a bycatch species, the spottail mantis shrimp holds potential for economic valorization, especially given its suitability for exploitation at depths where trawling is not permitted. Its inclusion as a targeted species could benefit small-scale fisheries, but this should be carefully managed to avoid overexploitation. The study emphasizes the need for continuous monitoring and suggests that any catch increase should be aligned with fisheries quotas and regular assessments. Furthermore, the lack of specialized trawlers targeting this species and the variability in sex ratios depending on season and gear type suggest that further studies are necessary to develop sustainable management strategies. This research, the first of its kind for S. mantis in the region, fills a critical knowledge gap and serves as a foundation for future studies to ensure the sustainable exploitation and management of this species in the eastern Mediterranean.

Acknowledgments

The authors would like to express their gratitude to the crews of the commercial trawlers FILLIPOS NB737 and IOANNIS-MARIA T. NΒ677 for their invaluable assistance in providing the samples used in this study.

Author Contributions

Conceptualization, D.K. and N.M.; Methodology, N.M., G.K.; Software, D.K.; Validation, D.P. and A.T.; Formal Analysis, D.K. and G.K.; Investigation, N.M. and A.T.; Resources, D.K., N.M. and D.P.; Data Curation, N.M. and A.T.; Writing—Original Draft Preparation, D.K., N.M., D.P., A.T. and G.K.; Writing—Review and Editing, D.K., N.M., D.P., A.T. and G.K.; Visualization, D.K.; Supervision, D.K. and G.K.; Project Administration, D.K.; Funding Acquisition, D.K. and N.M.

Ethics Statement

Not applicable.

Informed Consent Statement

Not applicable.

Funding

This research received no external funding.

Declaration of Competing Interest

The authors declare that they have no known competing financial interests or personal relationships that could have appeared to influence the work reported in this paper.

References

  1. 1.
    Antony PJ, Dhanya S, Lyla PS, Kurup BM, Khan SA. Ecological role of stomatopods (mantis shrimps) and potential impacts of trawling in a marine ecosystem of the southeast coast of India.  Ecol. Modell. 2010, 221, 2604–2614. doi:10.1016/j.ecolmodel.2010.07.017.[Google Scholar]
  2. 2.
    Ahyong ST. Phylogenetic Analysis of the Stomatopoda (Malacostraca).  J. Crustac. Biol. 1997, 17, 695–715. doi:10.1163/193724097X00134.[Google Scholar]
  3. 3.
    Caldwell RL, Dingle H. Ecology and evolution of agonistic behavior in stomatopods.  Naturwissenschaften 1975, 62, 214–222. doi:10.1007/BF00603166.[Google Scholar]
  4. 4.
    Ahyong ST. Revision of the Australian Stomatopod Crustacea; Australian Museum: Sydney, Australia, 2001; ISBN 0734723032.
  5. 5.
    Maynou F, Abelló P, Sartor P. A review of the fisheries biology of the mantis shrimp, Squilla mantis (L., 1758) (Stomatopoda, Squillidae) in the Mediterranean.  Crustaceana 2004, 77, 1081–1099. doi:10.1163/1568540042900295.[Google Scholar]
  6. 6.
    Manning RB.  Neotype selection for the stomatopod Squilla chiragra Fabricius, 1781.  Crustaceana 1981, 40, 217–219. [Google Scholar]
  7. 7.
    Biscoito M. An account on the stomatopod crustaceans of Madeira.  Bol. Mus. Mun. Funchal 1985, 37, 158–174. [Google Scholar]
  8. 8.
    Müller H-G. World Catalogue and Bibliography of the Recent Stomatopoda; Laboratory for Tropical Ecosystems, Research & Information Service: Wetzlar, Germany, 1994; ISBN 3930311119.
  9. 9.
    Lloris D, Rucabado J. Guide d’identification des Ressources Marines Vivantes du Maroc; Food & Agriculture Org.: Rome, Italy, 1998; ISBN 9252041621.
  10. 10.
    Abelló P, Martín P. Fishery dynamics of the mantis shrimp Squilla mantis (Crustacea: Stomatopoda) population off the Ebro delta (northwestern Mediterranean).  Fish. Res. 1993, 16, 131–145. doi:10.1016/0165-7836(93)90048-C.[Google Scholar]
  11. 11.
    Fischer W, Schneider M, Bauchot M-L. Fiches FAO d’identification des especes pour les besoins de la pêche. Méditerranée et Mer Noire (Zone De Pêche 37), Révision 1, Volume 2. 1987. Available online: https://openknowledge.fao.org/items/51d216da-0b06-4f3c-9129-d9159f3f50aa (accessed on 10 October 2024).
  12. 12.
    Schram FR, Muller H-G. Catalog and Bibliography of the Fossil and Recent Stomatopoda; Backhuys Publicaties: Leiden, The Netherlands, 2004.
  13. 13.
    Mili S. La squille (Squilla mantis) des eaux tunisiennes: Eco-biologie, pêche et opportunités de valorisation; Intitut National Agronomique de Tunis: Tunis, Tunisia, 2013.
  14. 14.
    Vila Y, Sobrino I, Jiménez MP. Fishery and life history of spot-tail mantis shrimp, Squilla mantis (Crustacea: Stomatopoda), in the Gulf of Cadiz (eastern central Atlantic).  Sci. Mar. 2013, 77, 137–148. doi:10.3989/scimar.03744.07B.[Google Scholar]
  15. 15.
    Abelló P, Carbonell A, Torres P. Biogeography of epibenthic crustaceans on the shelf and upper slope off the Iberian Peninsula Mediterranean coasts: Implications for the establishment of natural management areas.  Sci. Mar. 2002, 66, 183–198. doi:10.3989/scimar.2002.66s2183.[Google Scholar]
  16. 16.
    Mili S, Bouriga N, Ennouri R, Jarboui O, Missaoui H.  Food and biochemical composition of the spot-tail mantis shrimp Squilla mantis caught in three Tunisian Gulfs: Tunis, Hammamet and Gabes.  Cah. Biol. Mar. 2013, 54, 271–280. [Google Scholar]
  17. 17.
    Atkinson RJA, Froglia C, Arneri E, Antolini B.  Observations on the burrows and burrowing behaviour of: Squilla mantis L. Crustacea: Stomatopoda.  Mar. Ecol. 1997, 18, 337–359. doi:10.1111/j.1439-0485.1997.tb00446.x.[Google Scholar]
  18. 18.
    Abello P, Pretus JL, Corbera J. Occurrence and distribution of some stomatopod crustaceans in the western Mediterranean.  Oceanogr. Lit. Rev. 1996, 1, 64. [Google Scholar]
  19. 19.
    Dore B, Schiff H, Boido M. Photomechanical adaptation in the eyes of Squilla mantis (Crustacea, Stomatopoda).  Ital. J. Zool. 2005, 72, 189–199. doi:10.1080/11250000509356671.[Google Scholar]
  20. 20.
    Schiff H, Abbott BC, Manning RB. Optics, Range-Finding, and Neuroanatomy of the Eye of a Mantis Shrimp, Squilla mantis Linnaeus. 1986. Available online: https://repository.si.edu/bitstream/handle/10088/5702/SCtZ-0440-Lo_res.pdf (accessed on 10 October 2024).
  21. 21.
    Piccinetti-Manfrin G.  Synthesis of the knowledge on bottom fishery resources in central mediterranean (Italy and Corsica).  Biol. Mar. Medit. 1999, 6, 276–291. [Google Scholar]
  22. 22.
    Catalán IA, Jiménez MT, Alconchel JI, Prieto L, Muñoz JL.  Spatial and temporal changes of coastal demersal assemblages in the Gulf of Cadiz (SW Spain) in relation to environmental conditions.  Deep Sea Res. Part II Top. Stud. Oceanogr. 2006, 53, 1402–1419. doi:10.1016/j.dsr2.2006.04.005.[Google Scholar]
  23. 23.
    Rossetti I, Sartor P, Francesconi B, Belcari P. Fishery and biology of mantis shrimp Squilla mantis (L., 1758), exploited with “rapido” trawl in the eastern Ligurian sea.  Biol. Mar. Mediterr. 2004, 12, 585–588. [Google Scholar]
  24. 24.
    Mili S, Bouriga N, Missaoui H, Jarboui O. Morphometric, reproductive parameters and seasonal variations in fatty acid composition of the mantis shrimp Squilla mantis (Crustacea: Stomatopoda) in the Gulf of Gabes (Tunisia).  J. Life Sci. 2011, 5, 1058–1071. [Google Scholar]
  25. 25.
    Ragonese S, Morara U, Canali E, Pagliarino E, Bianchini ML.  Abundance and biological traits of the spottail mantis shrimp, Squilla mantis (L., 1758)(Crustacea: Stomatopoda), off the southern coast of Sicily.  CBM-Cah. Biol. Mar. 2012, 53, 485. [Google Scholar]
  26. 26.
    Lorenzon S, Martinis M, Borme D, Ferrero EA.  Hemolymph parameters as physiological biomarkers for monitoring the effects of fishing and commercial maintenance methods in Squilla mantis (Crustacea, Stomatopoda).  Fish. Res. 2013, 137, 9–17. doi:10.1016/j.fishres.2014.08.013.[Google Scholar]
  27. 27.
    Kampouris TE, Kouroupakis E, Lazaridou M, Batjakas IE.  Length-weight relationships of Squilla mantis (Linnaeus, 1758)(Crustacea, Stomatopoda, Squillidae) from Thermaikos Gulf, North-West Aegean Sea, Greece.  Int. J. Fish. Aquat. Stud 2018, 6, 241–246. [Google Scholar]
  28. 28.
    Kapiris Κ, Tsionki I, Borbar L, Κavadas S. Preliminary biological data of Squilla mantis (Linnaeus, 1758) (Crustaceans, Stomatopoda) in Maliakos Gulf. In Proceedings of the 11th Panhellenic Symposium of Oceanography & Fisheries, Mytilene, Greece, 1317 May 2015; pp. 58.
  29. 29.
    Kapiris K, Mytilineou C, Politou CY, Kavadas S, Conides A. Research on shrimps’resources and fishery in Hellenic waters.  State Hell. Fish. 2007, 7, 421. [Google Scholar]
  30. 30.
    Mannini P, Massa F. Brief Overview of Adriatic Fisheries Landing Trends (197297). Report of the First Meeting of the Adriamed Coordination Committee. 2000. Available online: https://www.faoadriamed.org/pdf/publications/web-td-1-MM.pdf (accessed on 9 September 2024).
  31. 31.
    Kennouche H, Kacimi A.  Growth Estimation and LengthWeight Relationships of Spottail Mantis Shrimp (Squilla mantis, Linneaus 1758) in the Algiers Region (Southwest of Mediterranean Sea).  Appl. Ecol. Environ. Res. 2021, 19, 5083–5101. doi:10.15666/aeer/1906_50835101.[Google Scholar]
  32. 32.
    Tzanatos E, Somarakis S, Tserpes G, Koutsikopoulos C.  Discarding practices in a Mediterranean small-scale fishing fleet (Patraikos Gulf, Greece).  Fish. Manag. Ecol. 2007, 14, 277–285. doi:10.1111/j.1365-2400.2007.00556.x.[Google Scholar]
  33. 33.
    Barragán-Méndez C, González-Duarte MM, Sobrino I, Vila Y, Mancera JM, Ruiz-Jarabo I. Physiological recovery after bottom trawling as a method to manage discards: The case study of Nephrops norvegicus and Squilla mantis.  Mar. Policy 2020, 116, 103895. doi:10.1016/j.marpol.2020.103895.[Google Scholar]
  34. 34.
    Wales W, Ferrero EA. Proprioceptors of the thoracic limbs of Squilla mantis (Crustacea, Stomatopoda).  Zoomorphology 1987, 107, 133–144. doi:10.1007/BF00312307.[Google Scholar]
  35. 35.
    De Biasi M, Ferrero EA. Analysis of interindividual behaviour in Squilla mantis (Crustacea, Stomatopoda). In Biology of Stomatopods; Ferrero EA, ed.; Mucchi: Modena, Italy, 1989; pp. 87–97.
  36. 36.
    Froglia C. Field observations on diel rhythms in catchability and feeding of Squilla mantis (L.)(Crustacea, Stomatopoda) in the Adriatic Sea. In Biology of Stomatopods; Ferrero EA, Ed.; Mucchi: Modena, Italy, 1989; pp. 221228.
  37. 37.
    Froglia C. Growth and behaviour of Squilla mantis (mantis shrimp) in the Adriatic Sea; EU Study DG XIV/MED/93/016, Final Report; 1996. Available online: https://www.sealifebase.se/references/FBRefSummary.php?id=80209 (accessed on 20 August 2024).
  38. 38.
    Heitler WJ, Fraser K, Ferrero EA. Escape Behaviour in the Stomatopod Crustacean Squilla mantis, and the Evolution of the Caridoid Escape Reaction.  J. Exp. Biol. 2000, 203, 183–192. doi:10.1242/jeb.203.2.183.[Google Scholar]
  39. 39.
    Wortham-Neal JL. Reproductive morphology and biology of male and female mantis shrimp (stomatopoda: Squillidae).  J. Crustac. Biol. 2002, 22, 728–741. doi:10.1163/20021975-99990287.[Google Scholar]
  40. 40.
    Lorenzon S, Brezovec S, Ferrero EA. Species-specific effects on hemolymph glucose control by serotonin, dopamine, and L-enkephalin and their inhibitors in Squilla mantis and Astacus leptodactylus (crustacea).  J. Exp. Zool. Part A Comp. Exp. Biol. 2004, 301A, 727–736. doi:10.1002/jez.a.59.[Google Scholar]
  41. 41.
    Shrinivas Rao M, Aye Nyein K, Si Trung T, Stevens WF. Optimum parameters for production of chitin and chitosan from squilla ( S. empusa ).  J. Appl. Polym. Sci. 2007, 103, 3694–3700. doi:10.1002/app.24840.[Google Scholar]
  42. 42.
    García-Pacheco M, Bruzón MA. Aquaculture Europe’ 08 Gametogenic Cycle in Female of Mantis Shrimp, Squilla mantis (Crustacea: Stomatopoda) in the Gulf of Cadiz,(sw, Spain). 2008. Available online: https://core.ac.uk/reader/48517470 (accessed on 29 August 2024).
  43. 43.
    Petihakis G, Triantafyllou G, Korres G, Pollani A, Theodorou A, Grandcourt E, et al. Assessing the status of demersal elasmobranchs in UK waters: A review.  Fish. Res. 2006, 53, 17–31. doi:10.1016/j.fishres.2021.106089.[Google Scholar]
  44. 44.
    Abelló P, Sardà F. Some observations on the biology and fishery of Squilla mantis L. in the Catalan area (NW Mediterranean Sea). In Biology of Stomatopods; Ferrero EA, Ed.; Mucchi Editore: Modena, Italy, 1989; pp. 229239.
  45. 45.
    Sbrana M, Voliani A, Reale B, Ria M, De Ranieri S. Pattern di sfruttamento della pannocchia, Squilla mantis (l., 1758), nel mar Ligure e nel Tirreno centro-settentrionale (fao gsa 9)/exploitation pattern of mantis shrimp, Squilla mantis (l., 1758), in the Ligurian and northern-central Tyrrhenian sea.  Biol. Mar. Mediterr. 2012, 19, 222. [Google Scholar]
  46. 46.
    Nasef A. Ecological State in The Relationship Between Environmental Factors and Proximate Composition of Squilla mantis (Stomatopoda-Squillidae): As an Expected Indicator of The Impact of Climate Change.  Egypt. Acad. J. Biol. Sci. B. Zool. 2021, 13, 245–258. doi:10.21608/eajbsz.2021.207564.[Google Scholar]
  47. 47.
    Piccinetti C, Piccinetti Manfrin G. Prime osservazioni sull’alimentazione di Squilla mantis L.  Note del Laboratorio di Biologia Marina e Pesca Fano 1970, 3, 249–263. [Google Scholar]
  48. 48.
    Do Chi T, Do Chi-Bernard C, Baleux B. Étude de la maturation ovarienne chez Squilla mantis (L.)(Crustacea: Stomatopoda). Analyse des données expérimentales par la méthode factorielle en composantes principales.  J. Exp. Mar. Bio. Ecol. 1976, 21, 159–168. [Google Scholar]
  49. 49.
    Schonenberger N. The fine structure of the compound eye of Squilla mantis (crustacea, stomatopoda).  Cell Tissue Res. 1977, 176, 205–233. doi:10.1007/BF00229463.[Google Scholar]
  50. 50.
    Myers AC. Summer and winter burrows of a mantis shrimp, Squilla empusa, in Narragansett Bay, Rhode Island (U.S.A.).  Estuar. Coast. Mar. Sci. 1979, 8, 87–98. doi:10.1016/0302-3524(79)90107-5.[Google Scholar]
  51. 51.
    Erdoğan Sağlam N, Demir Sağlam Y, Sağlam C.  A study on some population parameters of mantis shrimp ( Squilla mantis L., 1758) in Izmir Bay (Aegean Sea).  J. Mar. Biol. Assoc. United Kingd. 2018, 98, 721–726. doi:10.1017/S0025315416001983.[Google Scholar]
  52. 52.
    Koç HT, Erdoğan Z, Sarigöl C. A study on some population parameters of spot-tail mantis shrimp (Squilla mantis L.; Crustacea: Stomatopoda) in Edremit Bay (Northern Aegean Sea).  Acta Biol. Turc. 2023, 36, 4-1-9. [Google Scholar]
  53. 53.
    Prince J, Hordyk A, Valencia SR, Loneragan N, Sainsbury K. Revisiting the concept of BevertonHolt life-history invariants with the aim of informing data-poor fisheries assessment.  ICES J. Mar. Sci. 2015, 72, 194–203. doi:10.1093/icesjms/fsu011.[Google Scholar]
  54. 54.
    Froese R, Binohlan C.  Empirical relationships to estimate asymptotic length, length at first maturity and length at maximum yield per recruit in fishes, with a simple method to evaluate length frequency data.  J. Fish Biol. 2000, 56, 758–773. doi:10.1006/jfbi.1999.1194.[Google Scholar]
  55. 55.
    Honey KT, Moxley JH, Fujita RM.  From rags to fishes: Data-poor methods for fishery managers.  Manag. Data-Poor Fish. Case Stud. Model. Solut. 2010, 1, 159–184. [Google Scholar]
  56. 56.
    Pauly D. On the interrelationships between natural mortality, growth parameters, and mean environmental temperature in 175 fish stocks.  ICES J. Mar. Sci. 1980, 39, 175–192. [Google Scholar]
  57. 57.
    Tsikliras AC, Dimarchopoulou D, Scarcella G, Probst WN, Dureuil M, Pauly D, et al. A new approach for estimating stock status from length frequency data.  ICES J. Mar. Sci. 2018, 75, 2004–2015. doi:10.1093/icesjms/fsy078.[Google Scholar]
  58. 58.
    Gulland JA, Rosenberg AA. A Review of Length-Based Approaches to Assessing Fish Stocks. 1992. Available online: https://www.fao.org/4/t0535e/t0535e00.htm (accessed on 24 August 2024).
  59. 59.
    Theocharis A, Vlachou M, Conides A, Klaoudatos D. Population biology of European hake (Merluccius merluccius, Linnaeus, 1758) in Greece.  Acad. Biol. 2023, 1, 1–10. doi:10.20935/AcadBiol6140.[Google Scholar]
  60. 60.
    Council EU.  EU Council Regulation (EC) No 1967/2006 of 21 December 2006 concerning management measures for the sustainable exploitation of fishery resources in the Mediterranean Sea, amending Regulation (EEC) No 2847/93 and repealing Regulation (EC) No 1626/94.  Off. J. Eur. Union 2006, L 409, 11–85. CELEX number (32006R1967).[Google Scholar]
  61. 61.
    Rolke W, Gongora CG. A chi-square goodness-of-fit test for continuous distributions against a known alternative.  Comput. Stat. 2021, 36, 1885–1900. doi:10.1007/s00180-020-00997-x.[Google Scholar]
  62. 62.
    Krishnamoorthy K, Lu F, Mathew T.  A parametric bootstrap approach for ANOVA with unequal variances: Fixed and random models. Comput. Stat. Data Anal. 2007, 51, 5731–5742. doi:10.1016/j.csda.2006.09.039.[Google Scholar]
  63. 63.
    Hampton RE, Havel JE. Introductory Biological Statistics; Waveland Press: Grove, IL, USA, 2006; ISBN 1577663802.
  64. 64.
    Şahin M, Aybek E. Jamovi: An Easy to Use Statistical Software for the Social Scientists. Int. J. Assess. Tools Educ. 2019, 6, 670–692. doi:10.21449/ijate.661803.[Google Scholar]
  65. 65.
    Mildenberger T, Taylor MH, Wolff AM. TropFishR: An R package for fisheries analysis with length-frequency data.  Methods Ecol. Evol. 2017, 8, 1520–1527. doi:10.1111/2041-210X.12791.[Google Scholar]
  66. 66.
    Bhattacharya CG. A simple method of resolution of a distribution into Gaussian components.  Biometrics 1967, 23, 115–135. [Google Scholar]
  67. 67.
    Pauly D, Caddy JF. A Modification of Bhattacharya’s Method for the Analysis of Mixtures of Normal Distributions; FAO: Rome, Italy, 1985; Volume 781.
  68. 68.
    Sparre P, Ursin A, Venema SC. Introduction to Tropical Fish Stock Assessment, Manual. Part 1, Manual. FAO Fish. Technical Pap. 306; FAO: Rome, Italy; 1989; p. 218.
  69. 69.
    Gayanilo F, Sparre P, Pauly D. FAO-ICLARM Stock Assessment Tools II (FiSAT II) User’s Guide; FAO: Rome, Italy, 2005.
  70. 70.
    Brey T, Pauly D. Electronic length frequency analysis: A revised and expanded user’s guide to ELEFAN 0, 1 and 2. 1986. Available online: https://oceanrep.geomar.de/id/eprint/32101/1/IFM-BER_149.pdf (accessed on 20 August 2024).
  71. 71.
    Wang B, Fan S, Jiang P, Xing T, Fang Z, Wen Q. Research on predicting the productivity of cutter suction dredgers based on data mining with model stacked generalization.  Ocean Eng. 2020, 217, 108001. doi:10.1016/j.oceaneng.2020.108001.[Google Scholar]
  72. 72.
    Von Bertalanffy L. A quantitative theory of organic growth (inquiries on growth laws. II).  Hum. Biol. 1938, 10, 181–213. [Google Scholar]
  73. 73.
    Munro JL, Pauly D. A simple method for comparing the growth of fishes and invertebrates.  Fishbyte 1983, 1, 5–6. [Google Scholar]
  74. 74.
    Carbonara P, Casciaro L, Gaudio P, Palmisano M, Zupa W, Spedicato MT.  Reproductive cycle and length at first maturity of Squilla mantis in the Central-Western Mediterranean.  Biol. Mar. Mediterr. 2013, 20, 172–173. [Google Scholar]
  75. 75.
    Chen Y, Paloheimo JE.  Estimating fish length and age at 50% maturity using a logistic type model.  Aquat. Sci. 1994, 56, 206–219. [Google Scholar]
  76. 76.
    Moreau J, Cuende FX. On improving the resolution of the recruitment patterns of fishes.  Fishbyte 1991, 9, 45–46. [Google Scholar]
  77. 77.
    Then AY, Hoenig JM, Hall NG, Hewitt DA, Jardim E. Evaluating the predictive performance of empirical estimators of natural mortality rate using information on over 200 fish species. ICES J. Mar. Sci. 2015, 72, 82–92. doi:10.1093/icesjms/fsx199.[Google Scholar]
  78. 78.
    Pauly D. Some Simple Methods for the Assessment of Tropical Fish Stocks; FAO: Rome, Italy, 1983; ISBN 9251013330.
  79. 79.
    Pauly D. Theory and management of tropical multispecies stocks: A review, with emphasis on the Southeast Asian demersal fisheries.  ICLARM Stud. Rev. 1979, 1, 35. [Google Scholar]
  80. 80.
    Beverton RJH. Spatial limitation of population size; the concentration hypothesis. Neth. J. Sea Res. 1995, 34, 1–6. [Google Scholar]
  81. 81.
    Hoggarth DD. Stock Assessment for Fishery Management: A Framework Guide to the Stock Assessment Tools of the Fisheries Management and Science Programme; Food & Agriculture Org.: Rome, Italy, 2006; ISBN 9251055033.
  82. 82.
    Beverton RJH, Holt SJ. On the dynamics of exploited fish populations, fishery investigations series II volume XIX, Ministry of Agriculture.  Fish. Food 1957, 22, 533. [Google Scholar]
  83. 83.
    Gulland JA. Manual of methods for fish stock assessment. Part 1: Fish population analysis.  FAO Man Fish. Sci. 1969, 4, 154. [Google Scholar]
  84. 84.
    Iglesias M, Ventero A, Giráldez A, Torres-Cutillas P, González-Aguilar M. Scientific Advisory Committee on Fisheries (SAC) _Working Group on Stock Assessment of Small Pelagic Species (WGSASP); Centro Oceanográfico de Baleares: Palma, Spain, 2021.
  85. 85.
    Ferrero EA, Marzari R, Mosco A, Riggio D. Dynamics of morphometric and biochemical parameters of the reproductive condition of Squilla mantis fished by creels.  Boll. Della Soc. Adriat. Dia Sci. 1988, 70, 47–59. [Google Scholar]
  86. 86.
    Colella S, Donato F, Panfili M, Santojanni A. Reproductive parameters and sexual maturity of Squilla mantis L., 1758 (Crustacea: Stomatopoda) in the north-Central Adriatic Sea (Gsa 17).  Biol. Mar. Mediterr. 2016, 23, 258. [Google Scholar]
  87. 87.
    Lewinsohn C, Manning RB. Stomatopod Crustacea from the eastern Mediterranean.  Smithson. Contrib. to Zool. 1980, 305, 1–22. doi:10.5479/si.00810282.305.[Google Scholar]
  88. 88.
    Demestre M, Lleonart J, Martín P, Recasens L, Sánchez Zalacaín P. Evaluacion de las capturas mensuales de peces, moluscos y crustaceos y de algunas especies de interes comercial en el periodo 19791985. Available online: https://digital.csic.es/handle/10261/82366 (accessed on 20 August 2024).
  89. 89.
    Fabi G, Sartor P. Study on the Mixed-species of the Rapido Trawl Fishery along the Italian Coasts. EU Contract 2002, 124.
  90. 90.
    Sami M, Ennouri R, Jarboui O, Missaoui H.  Première approche de la croissance de la squille Squilla mantis (L., 1758), dans les eaux Tunisiennes.  INSTM Bull. Mar. Freshw. Sci. 2013, 40, 27–42. [Google Scholar]
  91. 91.
    Akinwunmi MF, Bello-Olusoji OA, Egwu HE.  Bionomics of Squilla mantis (Linnaeus, 1758) from Makoko area of the Lagos Lagoon, Nigeria.  Adv. Food Sci. 2021, 43, 81–91. [Google Scholar]
  92. 92.
    Stergiou KI, Moutopoulos DK. A review of length-weight relationships of fishes from Greek marine waters.  Fishbyte 2001, 24, 23–39. [Google Scholar]
  93. 93.
    Righini P, Baino R. Parametri popolazionistici della pannocchia (Squilla mantis, Crustacea, Stomatopoda).  Biol. Mar. Medit 1996, 3, 565–566. [Google Scholar]
  94. 94.
    Sami M, Jarboui O, Missaoui H.  Caractères biométriques de la squille Squilla mantis dans les eaux tunisiennes. INSTM Bull. Mar. Freshw. Sci. 2008, 35, 1–14. [Google Scholar]
  95. 95.
    Giovanardi C, Piccinetti-Manfrin G.  Summary of biological parameters of Squilla mantis L. in the Adriatic Sea.  FAO Fish. Rep. 1984, 290, 131–134. [Google Scholar]
  96. 96.
    Badia J, Do-Chi T. Simulation de la structure d’age et definition des cohortes chez Squilla mantis (L.) (Crustacea, Stomatopoda).  ICES J. Mar. Sci. 1978, 38, 105–115. doi:10.1093/icesjms/38.1.105.[Google Scholar]
  97. 97.
    Do Chi T.  Analyse biometrique de la structure d’age et donnees preliminaires sur le cycle biologique benthique de Squilla mantis (Crustacea Stomatopoda) dans le Nord du Golfe du Lion.  Comptes Rendus Hebd. des Seances l’Academie des Sci. Ser. D 1975, 280, 1729–1732. [Google Scholar]
  98. 98.
    Busonero A. Biologia e dinamica di popolazione di Squilla mantis (Linneo, 1758) (Crustacea, Stomatopoda) nel Mar Ligure e Mar Tirreno centro-settentrionale; Università di Pisa: Pisa, Italy, 2013.
  99. 99.
    Mili S, Ennouri R, Jarboui O, Missaoui H. Reproductive biology of the Spot-Tail Mantis shrimp, Squilla mantis, in three Tunisian gulfs: Tunis, Hammamet and Gabes.  Bull. la Société Zool. Fr. 2014, 139, 217–234. [Google Scholar]
  100. 100.
    Piccinetti C, Piccinetti Manfrin G. Osservazioni su alcuni aspetti della biologia di Squilla mantis L.  Pubbl. della Stn. Zool. di Napoli 1970, 38, 119–124. [Google Scholar]
  101. 101.
    Do Chi T. Modeles Cinetiques et Structuraux en Dynamique des Populations Exploitees: Application aux squilles, Squilla mantis(L.)(Crustace Stomatopode) du Golfe du Lion 1978. Available online: https://pascal-francis.inist.fr/vibad/index.php?action=getRecordDetail&idt=PASCAL7850359923 (accessed on 19 October 2024).
  102. 102.
    Do Chi T. Biometrie de la reproduction de Squilla mantis (L.)(Crustace Stomatopode) dans le golfe d’Aigues-Mortes (Mediterranee nord-occidentale).  Pubbl. della Stn. Zool. Napoli 1975, 39, 114–139. [Google Scholar]
  103. 103.
    FAO. General Fisheries Commission for the MediterraneanReport of the Twenty-Fourth Session of the Scientific Advisory Committee on Fisheries, FAO Headquarters, Rome, Italy, 2023 June 2023. FAO Fisheries and Aquaculture Report, No. 1421. Rome; FAO: Rome, Italy, 2024.
  104. 104.
    GFCM. Stock Assessment Form Demersal species. 2018. Available online: https://gfcmsitestorage.blob.core.windows.net/documents/SAC/SAFs/DemersalSpecies/2017/MTS_GSA_17_2017_ITA_SVN.pdf (accessed on 10 October 2024).
  105. 105.
    Kondylatos G, Theocharis A, Mandalakis M, Avgoustinaki M, Karagyaurova T, Koulocheri Z, et al.  The Devil Firefish Pterois miles (Bennett, 1828): Life History Traits of a Potential Fishing Resource in Rhodes (Eastern Mediterranean).  Hydrobiology 2024, 3, 31–50. [Google Scholar]
  106. 106.
    Kondylatos G, Theocharis A, Charokopou M, Perakis E, Mavrouleas D, Kalaentzis K, et al.  Life-History Traits of the Bluespotted Cornetfish Fistularia commersonii Rüppell, 1838 in Rhodes, Greece, with Notes on the Red Cornetfish Fistularia petimba Lacepède, 1803.  Hydrobiology 2024, 3, 183–208. [Google Scholar]
  107. 107.
    Pafras D, Theocharis A, Kondylatos G, Conides A, Klaoudatos D. Population Biology of the Non-Indigenous Rayed Pearl Oyster (Pinctada radiata) in the South Evoikos Gulf, Greece.  Diversity 2024, 16, 460. [Google Scholar]
TOP